Учебное пособие: Маркетинг
Учебное пособие: Маркетинг
СОДЕРЖАНИЕ
1. СУЩНОСТЬ, ЦЕЛИ И ЗАДАЧИ МАРКЕТИНГА
1.1. Сущность маркетинга и его роль в
экономике
1.2. Состояния спроса и задачи
маркетинга
1.3. Концепции управления
маркетингом. Цели и задачи маркетинга
1.4. Особенности маркетинга в
российской экономике
2. ПРОЦЕСС УПРАВЛЕНИЯ МАРКЕТИНГОМ
2.1. Постановка задачи
2.2. Анализ рыночных возможностей
2.3. Отбор целевых рынков
2.4. Разработка комплекса маркетинга
2.5. Претворение в жизнь
маркетинговых мероприятий
2.6. Краткие выводы по разделу 2
3. СИСТЕМА МАРКЕТИНГОВЫХ ИССЛЕДОВАНИЙ
И МАРКЕТИНГОВОЙ ИНФОРМАЦИИ
3.1. Концепция системы маркетинговой
информации
3.2. Система внутренней отчетности
3.3. Система сбора внешней текущей
маркетинговой информации
3.4. Система маркетинговых
исследований
3.5. Система анализа маркетинговой
информации
3.6. Краткие выводы по разделу 3
4. МАРКЕТИНГОВАЯ СРЕДА
4.1. Маркетинговая среда фирмы
4.2. Основные факторы внешней
микросреды функционирования фирмы
4.3. Основные факторы макросреды
функционирования фирмы
4.4. Краткие выводы по разделу 4
5. ПОТРЕБИТЕЛЬСКИЕ РЫНКИ
5.1. Модель покупательского поведения
5.2. Поиск информации и принятие
решений о покупке
5.3. Краткие выводы по разделу 5
6. РЫНОК ПРЕДПРИЯТИЙ
6.1. Особенности рынка предприятий
6.2. Рынок товаров промышленного
назначения
6.3. Рынок промежуточных продавцов
6.4. Рынок государственных учреждений
6.5. Краткие выводы по разделу 6
7. CЕГМЕНТИРОВАНИЕ РЫНКА
7.1. Критерии и признаки сегментирования
рынка
7.2. Сегментирование рынка по группам
потребителей
7.3. Сегментирование рынка по группам
продуктов
7.4. Сегментирование рынка по
конкурентам
7.5. Краткие выводы по разделу 7
8. ТОВАР КАК ОБЪЕКТ МАРКЕТИНГА
8.1. Определение товара и его характеристики
8.2. Основные виды классификации
товаров
8.3. Марка товара
8.4. Упаковка товара
8.5. Решения относительно услуг для
клиентов
8.6. Товарный ассортимент и
номенклатура
8.7. Краткие выводы по разделу 8
9. РАЗРАБОТКА ТОВАРА
9.1. Стратегия разработки новых
товаров
9.2. Процесс выработки новых идей для
разработки новых товаров
9.3. Методы выработки новых идей и
творческого решения проблем
9.4. Психологические модели
9.5. Жизненный цикл товара
9.6. Краткие выводы по разделу 9
10. ЦЕНООБРАЗОВАНИЕ В МАРКЕТИНГЕ
10.1. Роль цены в теории и практике
конкуренции
10.2. Ценообразование,
ориентированное на затраты
10.3. Ценообразование,
ориентированное на потребителей
10.4. Ценообразование,
ориентированное на конкурентов
10.5. Основная проблема калькуляционного
выравнивания
10.6. Задачи и политика
ценообразования
10.7. Краткие выводы по разделу 10
11. МЕТОДЫ РАСПРОСТРАНЕНИЯ ТОВАРОВ
11.1. Задачи распределения
11.2. Выбор мест деятельности
11.3. Каналы распределения
11.4. Физическое распределение
(товародвижение)
11.5. Оптовая торговля
11.6. Розничная торговля
11.7. Краткие выводы по разделу 11
12. ПРОДВИЖЕНИЕ ТОВАРОВ. СТРАТЕГИЯ
КОММУНИКАЦИЙ И СТИМУЛИРОВАНИЯ
12.1. Комплекс маркетинговых
коммуникаций(комплекс стимулирования)
12.2. Этапы разработки эффективной
коммуникации
12.3. Разработка комплексного бюджета
стимулирования и отбора элементов комплекса стимулирования
12.4. Факторы, определяющие структуру
комплекса стимулирования
12.5. Краткие выводы по разделу 12
13. ФОРМЫ КОММУНИКАЦИИ В МАРКЕТИНГЕ
13.1. Теоретические основы науки о
рекламе
13.2. Теоретические модели
13.3. Реклама
13.4. Стимулирование сбыта
13.5. Работа с общественностью
13.6. Краткие выводы по разделу 13
14. СТРАТЕГИЯ МАРКЕТИНГА,
ПЛАНИРОВАНИЕ И КОНТРОЛЬ
14.1. Понятие стратегии и тактики
маркетинга
14.2. Стратегическое планирование
маркетинга
14.3. Текущее планирование маркетинга
14.4. Схема разработки бюджета
маркетинга
14.5. Контроль за выполнением планов
14.6. Краткие выводы по разделу 14
1.
СУЩНОСТЬ, ЦЕЛИ И ЗАДАЧИ МАРКЕТИНГА
1.1.
Сущность маркетинга и его роль в экономике
Маркетинг -
одна из основополагающих дисциплин для профессиональных деятелей рынка, таких,
как розничные торговцы, работники рекламы, исследователи маркетинга, заведующие
производством новых и марочных товаров и т.п. Им необходимо знать, как описать
рынок и разбить его на сегменты; как оценить нужды, запросы и предпочтения
потребителей в рамках целевого рынка; как сконструировать и испытать товар с
нужными для этого рынка потребительскими свойствами; как посредством цены
донести до потребителя идею ценности товара; как выбрать умелых посредников,
чтобы товар оказался широкодоступным, хорошо представленным; как рекламировать
и продавать товар, чтобы потребители знали его и хотели приобрести.
Цель курса: освоение
основ этой дисциплины студентами для подготовки к принятию квалифицированных
решений в сфере маркетинга. Взаимосвязь курса “Маркетинга” с другими
дисциплинами представлена на рис.1.1.
По
определению основоположника теории маркетинга американского ученого Ф Котлера маркетинг
- вид человеческой деятельности, направленный на удовлетворение нужд и
потребностей посредством обмена[12]. Для пояснения этого определения рассмотрим
понятия: нужда, потребность, запрос, товар, обмен, сделка, рынок.

Рис.1.1. Основные взаимосвязи курса
“Маркетинг” с другими дисциплинами.
Исходной
идеей, лежащей в основе маркетинга, является идея человеческих нужд, где под
термином "нужда" - понимается ощущение нехватки
человеком чего-либо. Нужды людей многообразны и сложны. Это и физические нужды
в пище, одежде, тепле, безопасности, и социальные нужды в духовной близости,
влиянии и привязанности; и личные нужды в знаниях и самовыражении. Они являются
исходными составляющими природы человека.
Вторая
исходная идея маркетинга - потребность.
Потребность - нужда, принявшая специфическую
форму в соответствии с культурным уровнем и личностью индивида.
Для
удовлетворения потребностей производители предпринимают целенаправленные
действия для стимулирования желания обладать товарами. Деятель маркетинга не
создает нужду, она уже существует. Так, например, производитель информационных
систем может считать, что потребителю нужна его информационная система, в то
время как на самом деле потребителю нужна информация. Потребности людей
безграничны, а вот ресурсы для их удовлетворения ограничены. Так что человек
будет выбирать те товары, которые доставляют ему наибольшее удовлетворение в
рамках его финансовых возможностей.
Спрос - это потребность, подкрепленная
покупательской способностью. Нетрудно перечислить спрос конкретного общества в
конкретный момент времени. Однако спрос - показатель недостаточно надежный, так
как он меняется. На смену выбора влияют и изменения цен, и уровень доходов.
Человек выбирает товар, совокупность свойств которого обеспечивает ему
наибольшее удовлетворение за данную цену, с учетом своих специфических
потребностей и ресурсов.
Человеческие
нужды, потребности и запросы удовлетворяются товарами. Под товаром
мы будем понимать то, что может удовлетворить потребность или нужду и
предлагается рынку с целью привлечения внимания, приобретения, использования
или потребления.
Производитель
товара должен отыскивать потребителей, которым они хотят продавать товар,
выяснить их потребности, а затем создавать товар, как можно полнее
удовлетворяющий их потребности.
Обмен - это основное понятие маркетинга как научной
дисциплины. Маркетинг только тогда имеет место, когда люди решают удовлетворить
свои нужды и запросы посредством обмена. Обмен - это акт получения от кого-либо
желаемого объекта с предложением чего-либо взамен.
Для
совершения добровольного обмена необходимо соблюдение пяти условий:
1. Сторон
должно быть как минимум две.
2. Каждая
сторона должна располагать чем-либо, что могло бы представить ценность для
другой стороны.
3. Каждая
сторона должна быть способна осуществлять коммуникацию и доставку своего
товара.
4. Каждая
сторона должна быть совершенно свободной в принятии или отклонении предложения
другой стороны.
5. Каждая
сторона должна быть уверена в целесообразности или желательности иметь дело с
другой стороной.
Сделка - это основная единица измерения в сфере маркетинга.
Сделка - это коммерческий обмен ценностями
между двумя сторонами, она предполагает наличие нескольких условий:
1. Наличие
двух ценностно-значимых объектов;
2.
Согласованных условий ее осуществления;
3.
Согласованного времени совершения;
4.
Согласованного места проведения.
Рынок - это совокупность существующих и
потенциальных покупателей товара. В развитом обществе рынок - это не
обязательно какое-то физическое место для осуществления сделок. При наличии
современных средств связи и транспорта обмен осуществляется через рекламу,
телевидение, систему интернет и т.п. без вступления в физический контакт с
покупателями.
Маркетинг - это завершающее понятие цикла рынка, это работа с
рынком для осуществления обменов, цель которых удовлетворение человеческих нужд
и потребностей.
Процесс
обмена требует работы: это поиск покупателей, выявления их нужды,
проектирование соответствующих товаров, продвижение их на рынок, складирование,
перевозка, ценообразование, организация сервиса, рекламирование.
Роль
маркетинга в экономике - повышение ее торгово-операционной эффективности. На современном этапе
маркетинг понимается как выражение ориентированного на рынок управленческого
стиля мышления, способного не только реагировать на развитие рыночной
обстановки, но и самому изменять параметры окружающей среды, обеспечивая выход
на рынок, расширение рынка, обеспечение безопасности рынка.
1.2.
Состояния спроса и задачи маркетинга
Спрос бывает:
отрицательный, отсутствующий, скрытый, падающий, нерегулярный, полноценный,
чрезмерный, нерациональный.
1. Отрицательный
спрос вызван негативным отношением покупателей к товару или услугам.
Задача маркетинга в этих условиях проанализировать, почему рынок испытывает
неприязнь к товару, и может ли программа маркетинга изменить негативное
отношение к товару посредством его переделки, снижения цен и более активного
стимулирования.
2. Отсутствие
спроса. Целевые потребители могут быть не заинтересованы в товаре или
безразличными к нему. Задача маркетинга - отыскать способы увязки присущих
товару выгод с естественными потребностями и интересами человека.
3. Скрытый
спрос - это когда многие потребители не могут удовлетворить свои
желания с помощью предлагаемых на рынке товаров и услуг, (безвредные сигареты,
более экономичные автомобили). Задача маркетинга - оценить величину
потенциального рынка и создать эффективные товары и услуги, способные
удовлетворить спрос.
4. Падающий
спрос. Задача маркетинга проанализировать причины падения спроса и
определить, можно ли снова стимулировать сбыт путем отыскания новых целевых
рынков, изменения характеристик товара и т.п.
5. Нерегулярный
спрос (колебания на сезонной, ежедневной и даже почасовой основе): -
часы пик на транспорте, перегрузка музеев в выходные дни. Задача маркетинга -
изыскать способы сгладить колебания в распределении спроса по времени с помощью
гибких цен, мер стимулирования и других приемов побуждения.
6. Полноценный
спрос. Такой спрос обычно имеет место тогда, когда организация
удовлетворена своим торговым оборотом.
Задача
маркетинга - поддержать существующий уровень спроса, несмотря на меняющиеся
потребительские предпочтения и усиливающуюся конкуренцию.
7. Чрезмерный
спрос - это, когда уровень спроса выше, чем возможность его
удовлетворить. Задача маркетинга, именуемого в данном случае
"демаркетингом", - изыскать способы временного или постоянного
снижения спроса, а не его ликвидации.
8. Нерациональный
спрос, т.е. спрос на вредные для здоровья товары и услуги; сигареты,
алкогольные напитки, наркотики и т.п. Задача маркетинга - убедить таких
любителей отказаться от таких привычек.
1.3.
Концепции управления маркетингом. Цели и задачи маркетинга
Маркетинг
требует управления. Под управлением маркетингом понимают анализ, планирование,
претворение в жизнь и контроль за проведением мероприятий, рассчитанных на
установление и поддержание обменов с целевыми покупателями ради достижения
определенных задач организации, таких как получение прибыли, рост объемов
сбыта, увеличение доли рынка. Задача управления маркетингом заключается в
воздействии на уровень, время и характер спроса таким образом, чтобы это
помогало организации в достижении стоящих перед ней целей, т.е. управление
маркетингом - это управление спросом.
Управляющие
маркетинга - это
должностные лица фирмы, занимающиеся исследованием маркетинговой ситуации,
претворением в жизнь намеченных планов и осуществляющие контрольные функции.
Сюда относятся управляющие по сбыту и сотрудники службы сбыта, руководящие
работники службы рекламы и стимулирования сбыта, исследователи маркетинга,
управляющие по товарам и специалисты по проблемам ценообразования.
Существует
пять разных подходов в управлении маркетингом:
1. Концепция
совершенствования производства, которая утверждает, что потребители
предпочитают товары с низкими ценами, следовательно, надо снижать затраты в
производстве.
2. Концепция
совершенствования товара исходит из того, что потребители предпочитают
качественные товары и в этом случае стимулирование сбыта не требуется.
3. Концепция
интенсификации коммерческих усилий базируется на том, что товары не
будут покупать без значительных усилий в сфере сбыта и стимулирования.
4. Концепция
маркетинга строится на утверждении, что фирма должна выявить с помощью
исследований запросы и нужды точно очерченного рынка и обеспечить их желаемое
удовлетворение.
5. Концепция
социально-этического маркетинга провозглашает своим принципом
достижение целей организации и ее способность обеспечить потребительскую
удовлетворенность и долговременное благополучие и потребителя и общества в
целом.
Практически
деятельность маркетинга оказывает большое влияние на людей и в качестве
покупателей, и в качестве продавцов, и в качестве рядовых граждан.
Цели
маркетинга:
максимально
высокое потребление, достижение максимальной потребительской удовлетворенности,
предоставление максимально широкого выбора, максимальное повышение качества
жизни.
Эти цели
решает маркетинговый цикл, который включает: маркетинговые
исследования, маркетинговый синтез, стратегическое планирование,
оперативное планирование и реализацию планов, контроль и информационное
обеспечение.
Задачи
маркетинга::
1.
Исследование, анализ и оценка нужд реальных и потенциальных потребителей
продукции фирмы в областях, интересующих фирму.
2.
Маркетинговое обеспечение разработки новых товаров и услуг фирмы.
3. Анализ,
оценка и прогнозирование состояния и развития рынков, на которых оперирует или
будет оперировать фирма, включая исследование деятельности конкурентов.
4.
Формирование ассортиментной политики фирмы.
5. Разработка
ценовой политики фирмы.
6.Участие в
формировании стратегии и тактики рыночного поведения фирмы, включая разработку
ценовой политики.
7. Сбыт
продукции и услуг фирмы.
8.
Коммуникации маркетинга.
9. Сервисное
обслуживание.
1.4.
Особенности маркетинга в российской экономике
Возникнув в
США на рубеже XIX и XX вв. как одно из направлений экономических исследований и
управленческой практики, маркетинг рассматривался в тесной связи с рыночной
капиталистической экономикой в качестве одного из важнейших элементов. Между
тем, инструменты маркетинга позволяют ему в любой экономической ситуации выполнять
функцию социального ориентирования сферы производства, услуг. В этом смысле
маркетинг соответствовал природе социалистической экономики. Это подтверждается
тем, что методы и приемы, похожие на применяемые в маркетинге, использовались и
в нашей стране при управлении экономикой (при аттестации качества продукции,
дифференциации и пересмотрах цен, разработке планов и схем размещения и
развития отрасли и предприятий, составлении производственных программ,
обосновании проектирования капитального строительства, в научно-технических
разработках и т.п.). Но отсутствовала целостная и гибкая система с методической
проработкой и согласованием всех ее элементов. Такую систему и соответствующий
инструментарий дал хозяйственной практике западный маркетинг.
Часто считают,
что маркетинг может функционировать лишь при насыщенном рынке. Это справедливо,
если видеть в маркетинге только орудие конкурентной борьбы. Однако,
маркетинговая деятельность при любой степени насыщения рынка способна
корректировать поведение потребителей и производителей к их взаимной выгоде.
Направленность, структура и большая часть методов маркетинга имеют более общий
характер и вполне приемлемы для российской экономики.
Адаптацию
западного маркетинга к российским условиям можно выполнить более успешно, если
в полной мере овладеть уже достигнутым высоким уровнем развития этой области
знаний и рассматривать маркетинг не только как тщательно продуманную
специфическую деятельность, но и как философию руководства.
2. ПРОЦЕСС
УПРАВЛЕНИЯ МАРКЕТИНГОМ
2.1.
Постановка задачи
Каждая фирма
заинтересована в эффективном управлении своей маркетинговой деятельности. Ей
нужно знать, как анализировать рыночные возможности, отбирать подходящие
целевые рынки, разрабатывать эффективный комплекс маркетинга и успешно
управлять претворением в жизнь маркетинговых задач. Все это и составляет
процесс управления маркетингом, элементы которого представлены на рис. 2.1.[12]
| 1 |
Анализ рыночных возможностей:
Системы маркетинговых исследований и маркетинговой информации
Маркетинговая среда
Потребительские рынки
Рынки предприятий
|
|
|

|
| 2 |
Отбор целевых рынков:
Замеры объемов спроса
Сегментирование рынка, выбор целевых сегментов и позиционирование
товара на рынке
|
|
|

|
| 3 |
Разработка комплекса маркетинга:
Разработка товаров
Установление цен на товары
Методы распространения товаров
Стимулирование сбыта товаров
|
|
|

|
| 4 |
Претворение в жизнь маркетинговых мероприятий
Стратегия, планирование и контроль
|
Рис.2.1.
Процесс управления маркетингом
2.2.
Анализ рыночных возможностей
Фирме может
показаться, что ее рыночные возможности ограничены, но это лишь подтверждает
неумение мысленно увидеть будущее и осознать свои сильные стороны. Фирма может
заняться выявлением новых рынков, используя, в частности, сетки развития
товаров и рынка (рис. 2.2).
|
|
Существующие товары |
Новые товары |
| Существующие рынки |
1. Более
глубокое проникновение на рынок |
3. Разработка
товара |
| Новые рынки |
2. Расширение границ рынка |
4.
Диверсификация рынка |
Рис. 2.2.
Выявление новых рынков с помощью сетки развития товара и рынка
С помощью
данной сетки возможны следующие варианты:
1. Более глубокое
внедрение на рынок, т.е. рост продаж имеющихся товаров уже существующей группе
покупателей без внесения изменений в сам товар. Используются подходы: снижения
цен, увеличения расходов на рекламу, расширение сети торговых точек, более
заметная раскладка товаров и т.д.
2. Расширение границ
рынка за счет изучения и завоевания новых сегментов рынка.
3. Разработка товаров,
предусматривающая предложение нового товара взамен существующего.
4. Диверсификация
- одна из стратегий маркетинга, проявляющаяся в отказе от ориентации на
единственный продукт или одну форму распределения и переходе на широкую
номенклатуру товаров и множественность форм распределения.
2.3.
Отбор целевых рынков
Отбор целевых
рынков состоит из четырех этапов:
- замеры и
прогнозирование спроса;
-
сегментирование рынка;
- отбор
целевых сегментов;
- позиционирование
товара на рынке.
Замеры и прогнозирование спроса
предполагают выявление всех аналогичных товаров, продающихся на рынке, оценку
объема их продаж и оценку будущего размера рынка.
Сегментирование
рынка - это
процесс разбивки потребителей на группы на основе различий в нуждах и
поведении.
Сегмент
рынка состоит из
потребителей, одинаково реагирующих на один и тот же набор побудительных
стимулов маркетинга.
При отборе
целевых рынков можно использовать 5 возможных путей выхода на этот рынок,
представленных на рис.2.4., где И - интенсивность покупательской потребности, Г
- возрастная группа потребителей.
Японский опыт
выхода на рынок предполагает освоение одного, обойденного всеми рынка,
завоевание имени, а затем освоение новых сегментов и захват доминирующего
положения.
Крупные
компании стремятся к полному охвату рынка.
Оценить
причины, почему покупатели приобретают один вид товара, а не другой (например
аспирин - быстродействующий или медленнодействующий) помогает схема сравнения
их свойств, с точки зрения покупателей, или схемы позиционирования товара.
Позиция
товара соответствует восприятию покупателей, а не их действительности. Чем
ближе расположены друг к другу марки товара, тем по мнению покупателей, они
выглядят как удовлетворяющие одну и ту же нужду. Деятель рынка объединяет
товары и потребительские предпочтения в сводную схему, которая показывает, что
хотели бы приобрести покупатели.
2.4. Разработка комплекса маркетинга
Комплекс
маркетинга включает 4 составляющих:
- товар;
- цена;
- методы
распределения;
- методы
стимулирования.
Иначе
комплекс маркетинга - это набор поддающихся контролю переменных факторов
маркетинга, совокупность которых фирма использует в стремлении вызвать
желательную ответную реакцию со стороны целевого рынка.
2.5.
Претворение в жизнь маркетинговых мероприятий
Претворение в
жизнь маркетинговых мероприятий требует системы управления маркетингом, которая
включает планирование маркетинга, состоящего из стратегического и тактического
(текущего) планирования, организацию управления и контроль.
Цель системы
стратегического планирования - удостовериться, что фирма находит и развивает
сильные производства и сокращает или вообще сворачивает слабые.
Под
планированием маркетинга понимается разработка планов для каждого отдельного
производства и рынка после того, как фирма приняла стратегическое решение
относительно того, как поступать с каждым из своих производств. Фактически
компания будет разрабатывать два плана: перспективный и годовой.
Для
реализации планов маркетинга создается на предприятии служба маркетинга по
одной из ниже приведенных схем.
Самой
распространенной схемой является функциональная организация службы маркетинга
(рис. 2.6.).

Рис. 2.6. Функциональная организация
Эта схема
обладает простотой управления, однако по мере роста товарного ассортимента и
рынков затрудняется составление планов по каждому товару и рынку и координация
маркетинга фирмы в целом.
Для компаний,
торгующих по всей территории страны, используется другой подход: координация по
географическому принципу (рис. 2.7.).

Рис. 2.7. Организация по географическому принципу
Преимущество
этой схемы в том, что торговые агенты могут жить в пределах обслуживаемых ими
территорий, могут лучше узнавать клиентов и эффективно работать с минимальными
издержками времени и средств на разъезды.
Фирмы с
широкой товарной номенклатурой используют организацию по товарному или
товарно-марочному производству. Организация по товарному производству не
заменяет функциональной организации, а является еще одним уровнем управления
(рис.2.8).

Рис. 2.8. Организация по товарному принципу
Преимущества этой организационной структуры в
том, что управляющие по товару, в том числе по второстепенным товарам,
координируют весь комплекс маркетинга по своему товару, быстро реагируют на
возникающие на рынке проблемы, и это хорошая школа для молодых руководителей.
Недостатки в том, что часто возникают конфликты
из-за недостаточности прав у управляющих по товарам и система обходится дороже,
чем предполагается вначале.
Суть
оргструктуры по рыночному типу в том, что вместо товара, управление
организовано по рынкам сбыта (отраслям), как показано на рис. 2.9.

Рис. 2.9. Организация по рыночному
типу
Достоинство
этой системы в ориентации фирмы на нужды потребителей, составляющих конкретные
сегменты рынка.
Организация
по товарно-рыночному типу или матричному принципу представлена на рис. 2.10.

Рис. 2.10.
Организация по матричному принципу
Система обладает
преимуществами товарной и рыночной структур, однако основными ее недостатками
являются большие затраты и частые конфликты. Однако большинство управляющих
считают, что достоинства матричной системы перевешивают ее недостатки.
Для того,
чтобы быть уверенным в эффективности деятельности фирмы, осуществляется
маркетинговый контроль. Выделяют три типа маркетингового контроля:
- контроль за
выполнением планов;
- контроль
прибыльности;
-
стратегический контроль;
2.6.
Краткие выводы по разделу 2
1.
Отправная точка
маркетинговой деятельности – анализ рыночных возможностей, целью которого
является выявление привлекательности открывающейся на рынке возможности для
фирмы.
2.
При положительном
результате рыночных возможностей производят сегментирование рынка для выявления
групп потребителей и нужд. Фирма принимает решение о выборе сегмента рынка,
изучает позиционирование товаров конкурентов, оценивает объем спроса и
принимает решение о позиции своего товара.
3.
Приняв решение о
рыночном позиционировании, фирма разрабатывает для его поддержания комплекс
маркетинга, включающий четыре составляющих: товар, цена, методы распространения
и методы стимулирования, и сумму затрат на маркетинг и ее распределение по
каждой составляющей.
4.
Для выполнения
всей этой маркетинговой работы фирме необходимо создать четыре системы:
маркетинговой информации, планирования маркетинга, организации службы
маркетинга и маркетингового контроля.
3. СИСТЕМА МАРКЕТИНГОВЫХ ИССЛЕДОВАНИЙ
И МАРКЕТИНГОВОЙ ИНФОРМАЦИИ
3.1.
Концепция системы маркетинговой информации
В процессе
анализа, планирования, реализации и контроля за ходом выполнения плана маркетинга
требуется информация о потребителях, конкурентах, возможностях предприятия,
дилерах и других силах действующих на рынке.
Концепция
системы маркетинговой информации представлена на рис. 3.1.

Рис.3.1.
Система маркетинговой информации
Система
маркетинговой информации - постоянно действующая система взаимосвязи людей,
оборудования и методических приёмов, предназначенная для сбора, классификации,
анализа, оценки и распространения актуальной, своевременной и точной информации
для использования её распорядителями сферы маркетинга с целью совершенствования
планирования, претворения в жизнь и контроля за использованием маркетинговых
мероприятий.
3.2.
Система внутренней отчетности
У любой фирмы
существует внутренняя отчётность, к ней относятся показатели: текущего сбыта,
суммы издержек, объёмы материальных запасов, движения денежной наличности,
данные о кредиторской и дебиторской задолженности. Применение ЭВМ позволяет
создать эффективные системы внутренней отчётности. Так при наличии такой
системы торговый агент может из любой точки по телефону запросить необходимые
ему сведения, например о наличии товара на складе и получить ответ не только о
наличии бумаги на складе, но и при её отсутствии, ответ на вопрос, когда и
каким комбинатом она будет произведена. Это даёт ему большие преимущества перед
конкурентами.
3.3.
Система сбора внешней текущей маркетинговой информации
Система сбора
внешней текущей маркетинговой информации обеспечивает руководителей информацией
о самых последних событиях и представляет набор источников и методических
приёмов, посредством которых руководители получают повседневную информацию о
событиях, происходящих в коммерческой среде. Руководители фирм применяют
следующие методы сбора такой информации: чтение газет, книг, специальных
изданий, беседы с поставщиками и другими лицами, не являющимися штатными
работниками фирмы; обмен сведениями с другими управляющими и сотрудниками
фирмы; обучение продавцов фиксировать события и сообщать о них (это "глаза
и уши" фирмы); назначение специалистов по сбору внешней маркетинговой
информации (особенно о конкурентах); покупка сведений у сторонних поставщиков
внешней текущей информации (существуют специальные фирмы по сбору информации о
ценах на товар, доле рынка, подборе рекламы конкурентов), организация
специальных отделов по сбору и распространению текущей маркетинговой
информации, в которых сотрудники просматривают наиболее важные издания в
поисках новостей, составляют обзоры и рассылают их управляющим по маркетингу. В
этих отделах ведут досье интересующих фирму сведений. Это резко повышает
качество информации, поступающей к управляющим по маркетингу.
3.4.
Система маркетинговых исследований
Маркетинговые
исследования -
систематическое определение круга данных, необходимых в связи со стоящей перед
фирмой маркетинговой ситуацией, их сбор, анализ и отчёт о результатах. Фирма
проводит маркетинговые исследования или собственными силами - отделом маркетинга,
или специализированными организациями. Наиболее типичными задачами
исследователей маркетинга являются: изучение характеристик рынка, замеры
потенциальных возможностей рынка, анализ распределения долей рынка между
фирмами, анализ сбыта, изучение тенденций деловой активности, изучение товаров
конкурентов, краткосрочное прогнозирование, изучение реакции на новый товар и
его объём, долгосрочное прогнозирование, изучение политики цен.
Управляющие,
прибегающие к маркетинговым исследованиям, должны быть знакомы с их спецификой
и знать технологию исследования, чтобы не допустить ошибки в принятии решения
на основе недостоверной информации.
Схема
маркетинговых исследований представлена на рис.3.2.
|
Выявление проблем и формулировка целей
|
|
Отбор источников информации:
выбор места исследования; подготовка орудий
исследования; составление плана выборки; выбор способа связи с аудиторией
|
|
Сбор информации:
опрос, наблюдение, панель, эксперимент
|
|
Анализ собранной информации:
Составление таблиц, графиков; определение
средних уровней распределения частотности, дисперсии; обработка информации с
помощью статистических методов и моделей принятия решения
|
|
Представление собранной информации
|
Рис.3.2.
Схема маркетингового исследования
Для получения
информации в маркетинге используются следующие методы: опрос, наблюдение и
автоматическая регистрация данных (эксперимент представляет только
специфический план исследований), панель. Выбор конкретного метода зависит от
цели исследуемого признака (человек, предмет). Перечень способов получения
информации и некоторые их характеристики приведены в табл. 3.1.[8].
Таблица 3.1
| Метод |
Определение |
Формы |
Экономический пример |
Преимущества и проблемы |
| 1. Первичные исследования |
Сбор данных при их возникновении |
|
|
|
| Наблюдение |
Планомерный охват воспринимаемых органами чувств
обстоятельств без воздействия на объект наблюдения |
Полевое и лабораторное, личное, с участием
наблюдающего и без него |
Наблюдение за поведением потребителей в магазине или
перед витринами |
Часто объективней и точнее, чем опрос. Многие факты
не поддаются объяснению. Высоки расходы. |
| Интервью |
Опрос участников рынка и экспертов |
Письменное, устное, телефонное, свободное, стандартизированное |
Сбор данных о привычках потребителей, исследования имиджа марок и
фирм, исследование мотивации |
Исследование не воспринимаемых обстоятельств (мотивы, например)
Надежность интервью, влияние интервьюера, проблемы репрезентативности выборки |
| Панель |
Повторяющийся сбор данных у одной группы через
равные промежутки времени |
Торговая, потребительская, специальная |
Постоянное отслеживание торговых запасов в группе
магазинов |
Выявление развития во времени. Смертность панели,
эффект панели |
| Эксперимент |
Исследование влияния одного фактора на другой при
одновременном контроле посторонних факторов |
Полевые, лабораторные |
Тест рынка, исследование продукта, исследование
рекламы |
Возможность раздельного наблюдения за влиянием
переменных. Контроль ситуации, реалистичность условий. Расход времени и денег |
| 2. Вторичные исследования |
Обработка уже имеющихся данных |
|
Анализ доли рынка с помощью данных учета и внешней
статистики |
Низкие затраты, быстрота. Неполные и устаревшие
данные, несоответствие методик получения данных |
Под опросом
понимается выяснение позиций людей или получение от них справки по
какому-либо вопросу. Опрос - самая распространенная и важнейшая форма сбора
данных в маркетинге. Приблизительно в 90% исследований используется этот метод.
Опрос может последовать в устной или письменной форме. Устные и телефонные
опросы называют обычно интервью. Опросы разделяются:
- по кругу
опрашиваемых (частные лица, эксперты, предприниматели и др.);
- по
количеству одновременно опрашиваемых (единичное или групповое интервью);
- по
количеству тем, входящих в опрос (одна или несколько (омнибус));
- по уровню
стандартизации (свободная схема или структурированная, полностью
стандартизованная);
- по частоте
опроса (одно- или многоразовый опрос).
При
письменном опросе участники получают опросные листы, которые они должны
заполнить и отослать по назначению.
Наблюдение как способ получения информации
используется в исследовании рынка гораздо реже, чем опрос. Научное наблюдение
понимается при этом как процесс, который:
·
служит
определенной исследовательской цели;
·
проходит
планомерно и систематически;
·
служит для
обобщающих суждений, не представляет только собирание интересных фактов;
·
подвержен
постоянному контролю, с точки зрения надежности и точности.
Преимуществами
этого метода, по сравнению с опросом, являются следующие:
независимость от желания
объекта к сотрудничеству, от способности исследуемых к словесному выражению
сути дела;
возможность обеспечить
более высокую объективность;
возможность восприятия
неосознанного поведения (выбор товара на полках в магазине);
возможность учета
окружающей ситуации, особенно при наблюдении с помощью приборов.
Наблюдение
имеет наряду с этим и недостатки:
·
трудно обеспечить
репрезентативность;
·
субъективность
восприятия наблюдающего;
·
поведение
объектов может отличаться от естественного, если наблюдение открыто (эффект
наблюдения).
Можно
выделить следующие формы наблюдения:
- по
характеру окружающей обстановки наблюдение может быть полевым - это
означает, что процессы проходят в естественной обстановке (магазин, у витрины)
или лабораторным, то есть проводящимся в искусственно созданной
ситуации. Преимущество первой формы заключается в естественности наблюдаемого
поведения. Вторая форма позволяет поддерживать более стабильные условия
наблюдения и делает возможным применение ряда технических средств;
- по месту
наблюдающего различают процесс с непосредственным участием исследователя и
наблюдением со стороны;
- по форме
восприятия объекта можно выделить персональное наблюдение
(непосредственно наблюдающим) и не персональное - через приборы или с помощью
регистрации следов поведения;
- по степени
стандартизации различают стандартизованное и свободное наблюдение.
Стандартизация
подразумевает здесь задание определенных категорий поведения схем поступков.
Например, для наблюдения действенности рекламы в витрине можно выделить
следующие варианты поведения прохожих: человек вошел в магазин, не взглянув на
рекламу; человек вошел в магазин, взглянув предварительно на рекламу; взглянул
на витрину, не вошел в магазин; прошел, не взглянув на витрину.
Экспериментом
называют
исследование, при котором должно быть установлено, как изменения одной или
нескольких независимых переменных влияют на одну (или многие) зависимую
переменную. Существенные признаки эксперимента:
- изолируемые
изменения (отдельные величины варьируются исследователем, другие должны быть,
насколько возможно, постоянными);
-
исследователь активно вмешивается в процесс возникновения данных;
проверяются
причинно-следственные связи (например, влияние цвета упаковки на сбыт
продукта).
Панель имеет следующие основные признаки:
- предмет и
тема исследования постоянны;
- сбор данных
повторяется через равные промежутки времени;
- постоянная
совокупность объектов исследования – домашние хозяйки, предприятия торговли,
производственные потребители.
На практике
образовался целый ряд видов панели (рис.3.3.)

Рис.3.3. Виды
панели
3.5.
Система анализа маркетинговой информации
Система
анализа маркетинговой информации представляет набор совершенных методов
анализа. В основу любой системы анализа маркетинговой информации положен
статистический банк и банк моделей.
Статистический
банк – совокупность современных методик статистической обработки информации,
позволяющих наиболее полно вскрыть взаимозависимости данных и установить
степень их статистической надежности.
Банк моделей
– набор математических моделей, способствующих принятию более оптимальных
маркетинговых решений по деятельности рынка.
Каждая модель
состоит из совокупности взаимосвязанных переменных, представляющих некую
реально существующую систему, процесс или результат. Эти модели могут дать
ответы на вопросы типа:
- что лучше?
(например, снизить цены на действующем рынке или освоить новый?)
- какое
месторасположение лучше?
Система
анализа маркетинговой информации представлена в виде схемы (рис.3.4.)

Рис. 3.4.
Система анализа маркетинговой информации.
Типичная
постановка вопроса при использовании различных методов анализа приведена в
табл. 3.2.[8].
Таблица 3.2
| Метод |
Типичная постановка вопроса |
| Регрессионный анализ |
Как изменится объем сбыта, если расходы на рекламу сократятся на 10%?
Какова будет цена на продукт в следующем году?
Как влияет объем инвестиций в автомобильной промышленности на спрос на сталь?
|
| Вариационный анализ |
Влияет ли упаковка на размеры сбыта?
Влияет ли цвет рекламного объявления на количество людей, вспомнивших
рекламу?
Влияет ли выбор пути сбыта на величину продаж?
|
| Дискриминантный анализ |
По каким признакам курящие отличаются от некурящих?
Какие признаки работников службы сбыта наиболее существенны для их деления на
преуспевающих и неудачников?
Можно ли определенного человека, учитывая его возраст, доход, образование,
считать достаточно надежным для выдачи кредита?
|
| Факторный анализ |
Можно ли агрегировать множество факторов, которые покупатели
автомобилей считают важными?
Как можно описать различные марки автомобилей, с точки зрения этих факторов?
|
| Кластер-анализ |
Можно ли клиентов разделить на группы по их потребностям?
Имеет ли газета различные типы читателей?
Как можно классифицировать избирателей по тому, как они интересуются
политикой?
|
| Многомерное шкалирование |
На сколько продукт соответствует "идеалу" потребителей?
Какой имидж имеет предприниматель?
Как изменилось отношение потребителей к продукту в течение ряда лет?
|
3.6.
Краткие выводы по разделу 3
1. Система
маркетинговой информации состоит из четырех вспомогательных систем:
·
Система
внутренней отчетности.
·
Система сбора
внешней текущей маркетинговой информации.
·
Система
маркетинговых исследований.
·
Система анализа
маркетинговой информации.
2.
Маркетинговое исследование – процесс, состоящий из пяти этапов:
·
Определения
проблем и постановка целей исследования.
·
Разработка плана
сбора информации (первичной и вторичной).
·
Сбор информации с
помощью полевых и лабораторных (кабинетных) исследований.
·
Анализ собранной
информации и формулирование результатов.
·
Представление
результатов руководству фирмы для принятия решения.
3. Основные
методы исследования: опрос (интервью), наблюдение, эксперимент, панель.
4. Орудия
исследования: анкета, механические устройства.
5. Способы
связи с аудиторией: телефон, почта, личный контакт.
4.
МАРКЕТИНГОВАЯ СРЕДА
4.1.Маркетинговая
среда фирмы
Маркетинговая
среда фирмы -
это совокупность активных субъектов и сил, действующих за пределами фирмы и
влияющих на возможности руководства службой маркетинга устанавливать и
поддерживать с целевыми клиентами отношения успешного сотрудничества.
Маркетинговая
среда слагается из микросреды и макросреды (рис.4.1.)

Рис. 4.1.
Макро-, микросреда
Микросреда
представлена силами, имеющими непосредственное отношение к самой фирме и ее
возможностям по обслуживанию клиентуры, т.е. поставщиками, маркетинговыми
посредниками, клиентами, конкурентами и контактными аудиториями.
Макросреда
представлена силами более широкого социального плана, которые оказывают влияние
на микросреду такими, как факторы демографического, экономического,
технического, политического, культурного характера.
4.2. Основные факторы внешней
микросреды функционирования фирмы
Основная
цель любой фирмы - получение прибыли.
Основная
задача системы управления маркетингом - обеспечить производство товаров,
привлекательных с точки зрения целевых рынков. Успех зависит также и от
действия посредников, конкурентов и различных контактных аудиторий,
представленных на рис.4.2.

Рис.4.2. Основные факторы внешней
микросреды функционирования фирмы
Поставщики
- это деловые
фирмы и отдельные лица, обеспечивающие компанию и ее конкурентов материальными
ресурсами, необходимыми для производства конкретных товаров или услуг. События
в среде поставщиков могут серьезно повлиять на маркетинговую деятельность фирмы
(цены на товары поставщиков, забастовки у поставщиков и др. факторы).
Маркетинговые
посредники - это
фирмы, помогающие компании в продвижении, сбыте и распространении ее товаров
среди клиентуры. Это торговые посредники, фирмы -
специализирующиеся по организации товародвижения, агентства по оказанию
маркетинговых услуг и кредитно-финансовые учреждения.
Торговые
посредники подыскивают клиентов и непосредственно продают товар фирмы. Для
фирмы более разумно использовать посредника с развитой сетью торговли, чем
создать аналогичную сеть для своей фирмы.
Выбор
торговых посредников - сложная задача, т.к. в развитом рынке обычно торговый
посредник это мощная фирма, которая диктует свои условия, и вообще может не
допустить проникновения производителя на некоторые рынки большой емкости.
Фирмы -
специалисты по
организации товародвижения помогают компании создавать запасы своих изделий и
продвигать их от места производства до места назначения.
Склады - это предприятия, обеспечивающие
накопление и сохранность товаров на пути к их очередному месту назначения.
Железные дороги, организации автотранспортных перевозок, авиалинии, грузовой,
водный транспорт и другие грузообработчики, перемещающие товары из одного места
в другое.
Фирме надо
выбрать самые экономичные методы отгрузки, сбалансировав такие факторы, как
стоимость, объем и скорость поставки, сохранность груза.
Агентства
по оказанию маркетинговых услуг -
это фирмы маркетинговых исследований, рекламные агентства, организации средств
рекламы и консультационные фирмы по маркетингу - помогают фирме точнее
нацеливать и продвигать товары на подходящие рынки. Фирма должна предварительно
изучить услуги, качество их и расценки агентств, чтобы не пришлось затем менять
его.
Кредитно-финансовые
учреждения -
банки, кредитные компании, страховые компании и прочие организации, помогающие
фирме финансировать сделки и страховать себя от риска.
Клиентура. Основными типами клиентурных рынков являются
(рис.4.3.):

Рис. 4.3.
Основные типы клиентурных рынков
Контактные
аудитории
средств информации. Аудитории средств информации - организации,
распространяющие новости, статьи, комментарии (газеты, журналы, радио- и теле-
центры).
Контактные
аудитории государственных учреждений. Руководство фирмы должно откликаться и учитывать то,
что происходит в государственной сфере (проблемы безопасности, истины в
рекламе, прав дилеров и т.п.).
Гражданские
группы действий
- это группы по защите окружающей среды, по борьбе за качество продукции и т.п.
Местные
контактные аудитории - это окрестные жители и общинные организации. Для работы с местным
населением крупные фирмы обычно назначают специального ответственного за связи
с общиной, который присутствует на собраниях членов общины, отвечает на
вопросы.
Широкая
публика. Фирма
должна придирчиво следить за отношением публики к своим товарам и своей
деятельности. На публику действует образ фирмы. Она должна реагировать на
претензии потребителей.
Внутренние
контактные аудитории. Это собственные рабочие и служащие фирмы, добровольные помощники,
управляющие, члены совета директоров. Фирма издает информационные бюллетени и
прибегает к другим формам коммуникаций (связей) с целью создания хорошего
настроения по отношению к собственной фирме, т.к. их положительное отношение
распространяется на другие контактные аудитории.
Внутреннюю
микросреду фирмы можно представить в виде схемы (рис.4.4.).

Рис.4.4.
Внутренняя микросреда фирмы
4.3.Основные
факторы макросреды функционирования фирмы
Макросреда
слагается из шести основных сил, представленных на рис.4.5.

Рис.4.5.Основные силы макросреды
Демография - наука, изучающая население, с
точки зрения его численности, плотности и т.п. Для маркетинга демографическая
среда представляет большой интерес, поскольку рынки состоят из людей.
Составляется таблица рынков в различных районах и определяется приблизительная
численность населения и его структура.
Экономические
факторы. Деятели
рынка должны обращать внимание на характер распределения доходов с учетом
географического местоположения.
Природные
факторы включают:
- дефицит
некоторых видов сырья (разрушение озонового слоя, вырубки, истощение
невосполняемых ресурсов - нефти и т.д.);
- рост
загрязнения среды;
- решительное
вмешательство государства в регулирование природных ресурсов.
Научно
– технические факторы включают:
- ускорение
научно - технического прогресса;
- появление
безграничных возможностей в создании новых товаров, биотехнологий,
робототехники и т.п.;
- рост
ассигнований на НИОКР;
- ужесточение
госконтроля за качеством и безопасностью товара.
Политико-правовые
факторы представлены:
-
законодательством по регулированию предпринимательской деятельности;
- повышением
требований со стороны государства к государственным. учреждениям, следящим за
соблюдением законов;
- ростом
числа групп по защите интересов общественности.
Культурные
факторы определяются:
-
приверженностью к культурным традициям;
-
субкультурой в рамках единой культуры;
- временными
изменениями вторичных культурных ценностей (прически, мода);
- отношением
людей к самим себе - приверженностью к определенным товарам;
- отношением
людей к обществу, природе, к мирозданию (культовые интересы).
При
проведении маркетинговых исследований все факторы микро и макросреды необходимо
учитывать.
4.4.
Краткие выводы по разделу 4
1.
Маркетинговая
среда включает в себя все силы, оказывающие влияние на способности фирмы
устанавливать и поддерживать эффективные связи с целевым рынком. Она состоит из
микро и макросреды.
2.
В микросреде
действуют: внутренние силы, представленные ее подразделениями, влияющими своей
деятельностью на принятие решений руководством фирмы; внешние силы,
представленные поставщиками, маркетинговыми посредниками, клиентами,
конкурентами и контактными аудиторами.
3.
Макросреда
включает в себя основные факторы, влияющие на интересы фирмы: экономические,
демографические, научно-технические, природные, политико-правовые, культурные.
5.
ПОТРЕБИТЕЛЬСКИЕ РЫНКИ
5.1.Модель
покупательского поведения
Потребительский
рынок -
отдельные лица и домохозяйства, покупающие или приобретающие иным способом
товары и услуги для личного потребления.
Развернутая
модель покупательского поведения представлена на рис.5.1.
| Побудительные факторы маркетинга |
Прочие раздражители |
"Черный ящик" сознания покупателя |
Ответные реакции покупателя |
| Товар, цена, методы распространения, стимулирования сбыта |
Экономические, научно-технические политические и культурные |
Характеристики покупателя |
Процесс принятия решения покупателем |
Выбор товара, выбор марки, выбор дилера, выбор времени покупки, выбор
объекта покупки |
|
|
|
|
|
|
Рис.5.1.
Развернутая модель покупательского поведения
Характеристики
покупателя представим в виде схемы (рис.5.2.)

Рис. 5.2.
Характеристики покупателя
Рассмотрим
более подробно некоторые из факторов.
Жизненный
цикл человека включает следующие этапы:
1. Этап
холостой жизни (молодые одиночки, живущие отдельно от родителей).
2. Юные
молодожены без детей.
3.
"Полное гнездо" первая стадия (младшему ребенку меньше шести лет).
4.
"Полное гнездо" вторая стадия (младшему ребенку шесть лет и более).
5.
"Полное гнездо" третья стадия (пожилые супруги с детьми, находящимися
на их попечении).
6.
"Пустое гнездо" первая стадия (пожилые супруги, дети которых уже
живут отдельно, глава семьи работает).
7.
"Пустое гнездо" вторая стадия (пожилые супруги, дети которых живут
отдельно, глава семьи на пенсии).
8.
Вдовствующее лицо работает.
9.
Вдовствующее лицо на пенсии.
Тип личности,
характеризующий собственное "Я", обычно описывают на основании таких
присущих индивиду черт, как влиятельность, независимость, непостоянство,
почтительность, властолюбие, общительность, настороженность, привязанность,
агрессивность, выдержанность, стремление к успеху, любовь к порядку,
приспособляемость.
Деятель рынка
должен стремиться создать образ марки, соответствующий собственному
"Я" членов целевого рынка.
Из
психологических факторов остановимся на понятии мотива. Мотив нужда, ставшая
столь настоятельной, что заставляет человека искать пути и способы ее удовлетворения.
Существует несколько теорий мотивация поведения.
1. Теория
мотивации Фрейда, в которой он утверждает, что люди в основном не осознают тех
реальных психологических сил, которые формируют их поведение, подавляя
множество влечений. Однако никогда нельзя полностью подавить влечения человека,
т.к. подавление обязательно проявляется в невротическом поведении, навязчивых
состояниях, психозах.
2. Теория
мотивации Маслоу пытается объяснить, почему одни люди тратят массу времени на
самосохранение, а другие на завоевание уважения окружающих? Он разработал
иерархию потребностей (рис. 5.3.), в которой человеческие потребности
располагаются в порядке значимости от наиболее до наименее настоятельных. Как
только человеку удается удовлетворить какую-то важную потребность, она на время
перестает быть движущим мотивом и появляется побуждение к удовлетворению
следующей по важности потребности.

Рис. 5.3. Иерархия потребностей по Маслоу
Перечисленные
на схеме (рис. 5.2.) факторы дают представление о том, как эффективнее привлечь
и обслужить покупателя.
5. 2.
Поиск информации и принятие решений о покупке
В результате
сбора информации повышается осведомленность потребителей об имеющихся на рынке
марках товаров и их свойствах. В практическом смысле фирма должна разработать
такой комплекс маркетинга, который вводил бы ее марку и в комплект
осведомленности, и в комплект выбора потребителя. Если товару не удается
проникнуть в эти комплекты, фирма упустит возможность продажи своего товара.
Последовательность
комплектов, задействованных в процессе принятия решений о покупке, представлена
на рис.5.4.

Рис.5.4. Последовательность
комплектов при принятии решения о покупке
Решение о
покупке может быть сдержано отношением других людей или непредвиденными
обстоятельствами.
Как
воспринимается новинка различными категориями потребителей рассмотрим на схеме
(рис.5.5.)

Рис.5.5.
Типичная функция адаптации покупателей по времени
Прежде чем
разрабатывать маркетинговые планы, необходимо разобраться в рынках. На
потребительском рынке покупают товары и услуги личного потребления. Этот рынок
состоит из множества субрынков таких, как рынок молодежи, пожилых людей и т.п.
На поведение
покупателя оказывают влияние четыре основных группы факторов: факторы
культурного уровня (культура, субкультура и социальное положение), социальные
факторы (референтные группы, семья, роли, статусы), факторы личного порядка
(возраст, этап жизненного цикла семьи, род занятий, образ жизни, тип личности и
представление о самом себе) и факторы психологического порядка (мотивация,
восприятие, убеждение и отношение). Все они дают представление о том, как
эффективно обслужить и охватить покупателя.
Задача
деятеля рынка - понять различных участников процесса покупки и разобраться в
основных факторах влияния на покупательское поведение для создания эффективной
программы маркетинга.
5.3.
Краткие выводы по разделу 5
1.
Потребительский
рынок – отдельные лица и домохозяйства, покупающие или приобретающие иным способом
товары и услуги для личного потребления. Этот рынок состоит из множества
субрынков.
2.
На поведение
покупателей оказывают влияние четыре основные группы факторов:
·
Культурного
порядка (культура, субкультура и социальное положение).
·
Социального
порядка (референтные группы, семья, роли и статусы).
·
Личного порядка
(возраст и этап жизненного цикла семьи, род занятий, экономическое положение,
образ жизни, представления о самом себе).
·
Психологического
порядка (мотивация, восприятие, усвоение, убеждения и отношения).
3.
До начала
планирования своего маркетинга фирме необходимо выявить всех условных
потребителей, определить, как у них протекает процесс принятия решения о
покупке, понять различных участников потребительского рынка и установить основные
факторы влияния на покупательское поведение.
6. РЫНОК
ПРЕДПРИЯТИЙ
6.1.
Особенности рынка предприятий
Предприятия -
это огромный рынок сырья, комплектующих изделий, устройств, вспомогательного
оборудования, предметов снабжения и деловых услуг.
Закупки для
нужд предприятия - это процесс принятия решения, посредством которого
официальная организация констатирует наличие нужды в закупаемых со стороны
товарах и услугах, а также выявляет, оценивает и отбирает конкретные марки
товаров и конкретных поставщиков, имеющихся на рынке.
Фирмы,
продающие другим организациям (производителям, оптовикам, розничным торговцам и
госучреждениям), должны приложить максимум усилий, чтобы разобраться в нуждах
своих покупателей, их ресурсах, политических установках и процедурах совершения
закупок.
Необходимо
учитывать также ряд особенностей, не встречающихся в практике потребительского
маркетинга, перечисленных ниже:
1)
Организации приобретают товары и услуги с целью извлечения прибыли, сокращения
издержек, удовлетворения нужд своей внутренней клиентуры, выполнение каких-либо
общественных или правовых обязательств.
2) В процессе
принятия решения о закупках для нужд организации формально принимают участие большее
число лиц, чем когда речь идет о потребительских покупках. Как правило,
участники принятия решения выполняют разные обязанности в рамках организации и
подходят к решению о закупке с различными критериями.
3) Агенты по
закупкам должны следовать официальным установкам, лимитам и другим требованиям
своих организаций.
4) Необходимо
запрашивание предложений, составление договоров купли-продажи.
6.2.
Рынок товаров промышленного назначения
Рынок товаров
промышленного назначения - совокупность лиц и организаций, закупающих товары и
услуги, которые используются при производстве других товаров и услуг,
продаваемых, сдаваемых в аренду или поставляемых другим потребителям. К ним относятся
отрасли: сельское хозяйство, рыбное хозяйство, горнодобывающая промышленность,
обрабатывающая промышленность, строительство, транспорт, связь, коммунальное
хозяйство, банковское, финансовое и страховое дело, сфера услуг.
Основные
характеристики рынка товаров промышленного назначения:
- на нем
меньше покупателей;
- но эти
немногочисленные покупатели крупнее;
- они
сконцентрированы географически;
- спрос на
эти товары определяется спросом на товары широкого потребления, он не
эластичен;
- спрос на
эти товары резко меняется (например, спрос на потребительские товары может
привести к росту спроса на оборудование для их производства);
- покупатели
этих товаров - профессионалы (технические эксперты по товарам).
Основные
факторы, оказывающие влияние на поведение покупателей товаров промышленного
назначения, представлены на рис.6.1.
Существует
три основных вида ситуаций совершения закупок:
- Повторная
закупка без изменений;
- Повторная
закупка с изменениями;
- Закупки для
решения новых задач.
Наименьшее
число решений приходится на долю покупателя, совершающего повторную закупку без
изменения, наибольшее – в ситуациях закупок для решения новых задач. При
совершении закупок для решения новых задач покупателю предстоит определить для
себя: технические характеристики товара, пределы цен, время и условия поставки,
условия технического обслуживания, условия платежа, размер заказа, приемлемых
поставщиков, "избранного" поставщика.
Многие
покупатели предпочитают совершать комплектные закупки (например, когда
продается группа взаимосвязанных товаров или предлагается система производства,
управления запасами и т.п.).

Рис.6.1. Основные факторы, влияющие
на поведение покупателей товаров промышленного назначения
Продавцам
товаров промышленного назначения необходимо строго следить за этими факторами,
приспосабливая свою тактику к конкретным факторам окружающей обстановки,
особенностей организации, межличностных отношений и индивидуальных особенностей
личности, которые оказывают влияние на совершение покупки.
Покупатели
этих товаров принимают окончательное решение, преодолев несколько этапов:
- осознание
проблемы;
- обобщенное
описание нужды;
- оценка
характеристик товара;
- поиск
поставщиков;
-
запрашивание предложений;
- выбор
поставщика;
- разработка
процедуры;
- выдача
заказа;
- оценка
работы поставщика.
Эти этапы
преодолеваются в ситуации производства закупок для решения новых задач. В
ситуациях повторных закупок с изменениями или повторных закупок без изменений
некоторые из перечисленных этапов сокращаются. В ряде ситуаций могут быть
включены дополнительные этапы. Таким образом, промышленный маркетинг
- сфера испытания способностей продавца, где главным является знание нужд своих
клиентов и особенностей процедуры совершения ими закупок для разработки
эффективного маркетингового плана продаж.
6.3.
Рынок промежуточных продавцов
Второй
разновидностью рынка предприятий выступает рынок промежуточных продавцов.
Рынок
промежуточных продавцов - совокупность лиц и организаций, приобретающих товары
для перепродажи или сдачи их в аренду другим потребителям с выгодой для себя.
Товары
приобретаются промежуточными продавцами как для перепродажи, так и для
обеспечения бесперебойного функционирования их собственных предприятий. Закупки
для себя осуществляются промежуточными продавцами в их роли производителей.
Среди
товаров, не попадающих в руки промежуточных продавцов, выступают изделия
тяжелого машиностроения, сложное оборудование, изделия, выполненные по
индивидуальным заказам, а также товары, продаваемые по системе прямой почтовой
рассылки или по принципу торговли вразнос.
Промежуточный
продавец должен сделать выбор поставщиков, цен, ассортимента. Ассортимент может
быть замкнутый (один товар одной фирмы), насыщенный (товары разных марок),
широкий (разнообразие товаров) или смешанный (совокупность различных товаров).
В принятии
решения о закупках товаров для перепродажи в мелких семейных фирмах занимается
сам владелец, в крупных фирмах - специальные работники.
Универмаги,
универсамы, оптовые продавцы и т.п. осуществляют закупку по-разному. В
отношении новых товаров окончательное решение за промежуточными продавцами о
закупке - аналогично процедуре покупки товаров промышленного назначения.
Решение по
стандартным товарам принимается по мере истощения запаса на них методом
очередного повторного заказа.
6.4.
Рынок государственных учреждений
Рынок
государственных учреждений составляет федеральное правительство, региональные
органы власти, закупающие или арендующие товары, необходимые для выполнения
своих основных функций по производству власти.
Закупки от
имени государственных учреждений включают в себя самые разнообразные товары и
услуги, которые по мнению избирателей, необходимы для достижения стоящих перед
страной целей (вооружение, мебель, погрузочно-разгрузочное оборудование,
горючее и т.п.). То есть государство представляет огромный рынок для любого
производителя или промежуточного торговца.
Особенностью
государственных закупок является сокращение расходов налогоплательщиков, т.е.
приобретение товаров по самым низким ценам.
От имени
государства в принятии решений о закупках участвуют государственные закупочные
органы федерации, правительство регионов (республик, областей) и местные
власти.
Существуют
закупочные организации по закупкам отдельно для гражданских и для военных
целей.
Особенностью
осуществления государственных закупок является необходимость оформления
большого числа документов ( больше подписей) в результате чего затягивается
процесс выдачи заказа.
6.5.
Краткие выводы по разделу 6
1. Рынок
предприятий – это совокупность лиц и организаций, закупающих товары для
использования их в дальнейшем производстве, для перепродажи или
перераспределения. Он имеет три разновидности:
- рынок
товаров промышленного назначения;
- рынок
промежуточных продавцов;
- рынок
государственных учреждений.
2. Рынок
товаров промышленного назначения – это совокупность лиц и организаций,
закупающих товары и услуги, которые используются при производстве других
товаров и услуг, продаваемых, сдаваемых в аренду или поставляемых другим
потребителям.
3. Рынок
промежуточных продавцов состоит из лиц и организаций, приобретающих и продающих
товары, произведенные другими.
4. Рынок
государственных учреждений составляют органы власти всех уровней, закупающие
или арендующие товары, необходимые для выполнения своих функций по производству
власти.
7.
CЕГМЕНТИРОВАНИЕ РЫНКА
7.1. Критерии и признаки сегментирования
рынка
Основой всей
системы планирования в условиях рынка является прогнозирование сбыта. Поэтому
первой задачей руководства фирмы является определение объема продаж в
соответствии со спросом и только на основе оценки рынка сбыта можно приступать
к планированию производственной и финансовой деятельности фирмы [15].
Оценка
рынка сбыта -
комплекс мероприятий, направленный на исследование торгово-сбытовой
деятельности предприятия , и изучение всех факторов, влияющих на процесс
производства и продвижения товара от производителя к потребителю. Каждое
предприятие осознает, что его товары не могут нравиться всем покупателям сразу,
поэтому с помощью маркетинга руководство предприятия на основе информации о
потенциальных потребителях, регионах, в которых имеется спрос, ценах, которые
потребители готовы заплатить за товар, о каналах сбыта, о конкуренции
определяет сегмент рынка сбыта.
Сегмент
рынка - это его
часть, определенная особым образом, которая может быть эффективно обслужена
предприятием.
Объектами
сегментации рынка сбыта являются:
- группы
потребителей;
- группы
продуктов (товаров, услуг);
- предприятия
(конкуренты).
Сегментация
рынка по группам потребителей- это группировка потребителей по каким-либо признакам, в той
или иной степени определяющим мотивы их поведения на рынке.
Сегментация
рынка по группам продуктов - это производная от сегментации рынка по группам
потребителей, учитывает запросы и предпочтения потребителей по качественным
характеристикам продукта (товара, услуг).
Сегментация
по предприятиям (конкурентам) - это группировка конкурентов по факторам
конкурентоспособности в продвижении на рынок.
Сегментация
рынка производится по критериям и признакам.
Критерий- способ оценки выбора того или иного
сегмента рынка для продуктов или предприятия (конкурента).
Признак- это способ выделения данного
сегмента на рынке.
Наиболее
распространенными критериями сегментации являются:
- емкость
сегмента, по которой определятся число потенциальных потребителей и,
соответственно, необходимые производственные мощности;
- каналы
распространения и сбыта продукции, позволяющие решить вопросы о формировании
сети сбыта;
-
устойчивость рынка, позволяющая сделать выбор о целесообразности загрузки
мощностей предприятия;
-
прибыльность, показывающая уровень рентабельности предприятия на данном
сегменте рынка;
-
совместимость сегмента рынка с рынком основных конкурентов, позволяющая оценить
силу или слабость конкурентов и принять решение о целесообразности и готовности
внесения дополнительных затрат при ориентации на таком сегменте;
- оценка
опыта работы конкретного персонала предприятия (инженерного, производственного
или сбытового) на выбранном сегменте рынка и принятие соответствующих мер;
-
защищенность выбранного сегмента от конкуренции.
Основными
признаками сегментации рынка по группам потребителей являются географические,
демографические, психографические, поведенческие. Сегмент рынка по группам
потребителей определяется по совпадению у определенных групп потребителей
нескольких признаков.
Основными
признаками сегментации рынка по группам продуктов являются функциональные и
технические параметры, цена и т.п.
Основными
признаками сегментации рынка по предприятиям (конкурентам) являются
качественные показатели продукта (НТ), цена, каналы сбыта, продвижение продукта
на рынке.
Сегментация
рынка по потребителям, сегментация по продуктам и конкурентам взаимно дополняют
друг друга и все полученные результаты рассматриваются в комплексе, что
позволяет правильно выбрать наиболее эффективный сегмент рынка.
7.2.
Сегментирование рынка по группам потребителей
Сегментация
рынка по группам потребителей производится в соответствии с факторами
(признаками), приведенными в табл. 7.1 .
Таблица 7.1.
Основные
факторы сегментации рынка по группам потребителей
| Факторы (переменные) |
Наиболее распространенные значения переменных |
|
Географические
|
|
| Регион |
Район Крайнего Севера, Центрально-Черноземный район, Северный Кавказ
, Урал, Сибирь, Дальний Восток и т.п. |
| Административное деление |
Республика, Край, Область, Район, город. |
| Численность населения (для городов) |
5-20 тыс. чел., 20-100 тыс. чел., 100-250 тыс. чел., 250-500
тыс. чел., 500-1000 тыс. чел. 1-4 млн. чел. свыше 4 млн. чел. |
| Плотность населения |
Город, пригород, сельская местность |
| Климат |
Умеренно-континентальный, континентальный, субтропический и т.д. |
|
Демографические
|
|
| Возраст |
До 3 лет, 3-6 лет, 6-12 лет, 13-19 лет, 20-34 лет, 35-49 лет, 50-65
лет, 65 лет и более. |
| Пол |
Мужской, женский |
| Размер семьи |
1-2 чел., 3-4 чел., 5 и более |
| Этап жизненного цикла семьи |
Молодежь - одинокие, молодежь- семейные без детей, молодежь -
семейные с детьми, семейные, с детьми, пожилые, имеющие детей, пожилые -
семейные, не имеющие детей, пожилые - одинокие... |
| Уровень доходов |
До минимального размера заработной платы; минимальный размер
зарплаты; от 2 до 5 минимальных размером зарплаты и т.д. |
| Род занятий |
Научные работники, инженерно-технические работники, служащие,
бизнесмены, рабочие государственных предприятий, фермеры, преподаватели,
учителя, студенты, домохозяйки... |
| Уровень образования |
Без образования, начальное образование, среднее специальное, высшее,
ученая степень, звание... |
| Национальность |
Русские, украинцы, белорусы, грузины, армяне, азербайджанцы, евреи,
татары ... |
| Религия |
Православная, католическая, ислам... |
| Раса |
Европеидная, монголоидная ... |
|
Психографические
|
|
| Социальный слой |
Неимущие, среднего достатка, высокого достатка, очень высокого
достатка |
| Стиль жизни |
Элитарный, богемный, молодежный, спортивный, городской, сельский... |
| Личные качества |
Амбициозность, авторитарность, импульсивность, стадный инстинкт,
новаторство, стремление к лидерству, уравновешенность, флегматичность ... |
|
Поведенческие
|
|
| Степень случайности покупки |
Обычно случайный характер приобретения. Иногда случайный характер
приобретения и т.п. |
| Поиск выгод |
Поиск изделий высокого качества, хорошего обслуживания, более низких
цен и т.п. |
| Степень нуждаемости в продукте |
Нужен постоянно, нужен иногда... |
| Степень готовности купить изделие |
Не желает покупать, не готов купить сейчас, недостаточно
информирован, чтобы купить, стремится купить, обязательно купит ... |
| Повод для совершения покупки |
Обыденная покупка, особый случай |
По совпадению
у определенных групп потребителей нескольких значений переменных можно сделать
вывод о наличии определенного сегмента рынка, как это показано на рис. 7.1 .

Рис.7.1
Разновидности сегментирования рынка
7.3.
Сегментирование рынка по группам продуктов
Для повышения
конкурентоспособности и правильного определения емкости рынка, помимо
сегментации рынка по группам потребителей, производится сегментация рынка по
продукту, то есть по наиболее важным для его продвижения на рынке параметрам,
при этом используется метод составления функциональных карт (метод двойной
сегментации).
Сущность
метода заключается в том, что на основе выделенных сегментов рынка по группам
потребителей и сопоставления их с различными значениями факторов
(функциональных и технических параметров изделия), выбранных для анализа, определяется,
какие из параметров более всего подходят для выделенной группы потребителей.
Наиболее
распространенными для оценки рынка по продукту являются параметры: цена, каналы
сбыта, технические характеристики. Результаты анализа методом двойной сегментации
оформляются в виде матрицы, по строкам которой откладывается значение фактора,
а по столбцам - сегменты рынка по потребителям.
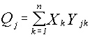
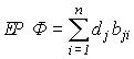
Емкость рынка
фирмы по каждому изделию может быть рассчитана по формуле:
,
где i =
1,2,...n - индекс сегмента рынка по продукту( модели изделия), выделенного по
какому-либо признаку,
j = 1,2,...,
m - индекс географического сегмента рынка,
dj
- общее число изделий, проданных на j-ом географическом сегменте,
bji
- доля i-го сегмента рынка по продукту на j-м географическом сегменте рынка.
Сегментация
рынка по продукту предполагает, что на стадии разработки новой продукции для
каждой модели товара:
- учитываются
все факторы, отражающие систему потребительских предпочтений и одновременно
технические параметры нового изделия, удовлетворяющие запросы потребителей
(выделение сегмента рынка по параметру изделия);
-
определяются группы потребителей, каждая со своим набором запросов и
предпочтений (психографическая сегментация);
- все
выбранные факторы ранжируются по степени значимости для каждой группы
потребителей (сегментов рынка).
Все эти
переменные включаются в многофакторную модель сегментирования рынка по
продукту, представленную в табл.7.2.
Таблица 7.2
| Факторы выделения сегментов рынка (технические и функциональные
параметры изделия или виды запросов потребителей) |
Сегменты рынка по основным группам потребителей |
|
|
Сегмент А |
Сегмент В |
|
|
Исследуемые |
модели |
|
|
С |
Д |
Е |
С |
Д |
Е |
|
|
|
|
|
|
|
Многофакторная
модель позволяет определить узкие места при разработке товара и воздействовать
на них через стимулы общей заинтересованности всех служб предприятия в
завоевании доли рынка.
7.4.
Сегментирование рынка по конкурентам
Сегментирование
рынка по основным конкурентам осуществляется на основе оценки
конкурентоспособности вашего предприятия относительно конкурентов, приведенной
в рекомендуемой табл. 7.3.
Таблица 7.3
| Факторы конкурентоспособности |
Ваше предприятие |
Конкуренты |
|
|
|
А |
В |
|
Продукт
Качество
Технические параметры
Право замены изделия
Престиж торговой марки
Упаковка
Габариты
Уровень ремонтного обслуживания
Гарантийный срок
Многовариантность в использовании
Уникальность (отсутствие аналогов)
Универсализм
Надежность
Срок службы
Защищенность патентами
|
|
|
|
|
Цена
Прейскурантная
Договорная
Свободная
Срок платежа
Условия кредита
Условия финансирования в случае покупки
|
|
|
|
|
Каналы сбыта
Форма сбыта:
прямая доставка
торговые представители
предприятия-производители
оптовые посредники
комиссионеры и маклеры
дилеры
Степень охвата рынка
Размещение складских помещений
Система контроля запасов
Система транспортировки
|
|
|
|
|
Продвижение продуктов на рынке
Реклама:
для потребителей
для торговых посредников
Индивидуальная продажа:
стимулы для потребителей
демонстрационная торговля
показ образцов изделий
Обучение и подготовка персонала сбытовых служб
Продвижение продуктов по каналам торговли:
демонстрация продуктов
продажа на конкурсной основе
премии торговым посредникам
купоны
руководства по использованию
телевизионный маркетинг
интернет-торговля
упоминание об изделиях в средствах
массовой информации
|
|
|
|
| Общее количество баллов: |
|
|
|
Данные,
необходимые для такого рода анализа, должны быть предоставлены экономическими
службами аппарата управления предприятия, а выставленные оценки - согласованы с
мнением специалистов этих служб. Для этого лучше всего сформировать группу из
наиболее квалифицированных работников, которые, вместе с руководством
предприятия, смогут провести такого рода анализ. В случае, если члены группы
расходятся в оценках, в таблицу вносится среднее значение переменной, определяемое
с учетом мнения каждого.
В процессе
анализа важно дать развернутое смысловое описание или объяснение, почему той
или иной переменной в таблице присвоена данная оценка. Только в этом случае
общий итог таблицы (сумма баллов) покажет истинное положение предприятия по
отношению к основным конкурентам на рынке. Можно, также, просуммировать
значения оценок по основным факторам и сопоставить эти данные с общим итогом,
что позволит руководству предприятия выяснить, за счет каких именно факторов
нужно повышать конкурентоспособность.
Оценка
конкурентоспособности предприятия должна дополняться анализом его слабых и
сильных сторон. Руководство предприятия должно получить ответы на следующие
вопросы:
- Какие планы
существуют у конкурентов в отношение их доли рынка, повышения рентабельности
производства и увеличения объема продаж?
- Какой
рыночной стратегии придерживаются ваши конкуренты в настоящее время? С помощью
каких средств они обеспечивают ее реализацию?
- Каковы их
сильные и слабые стороны?
- Каких
действий можно ожидать в будущем от нынешних и возможных конкурентов?
Для
систематизации ответов на такого рода вопросы используется в контрольном листе
анализа силы и слабости предприятия в конкурентной борьбе табл. 7.4.
Таблица 7.4
| Основные категории |
Лидер в отрасли |
Выше среднего уровня |
Средний уровень |
Ухудшение показателей хозяйственной деятельности |
Предприятие в кризисной ситуации |
|
Финансы
Производство
Менеджмент
Маркетинг
Кадры
Технология
|
|
|
|
|
|
Метод
сегментации конкурентов по хозяйственному профилю позволяет предприятию быстрее
перейти от стадии внедрения на рынок к рыночной экспансии, повысить
эффективность продвижения своих изделий на рынке.
В табл.7.5
приведен пример систематизации соответствующих данных.
Таблица 7.5
Форма анализа
хозяйственного профиля основных конкурентов
| Группа показателей |
Конкуренты |
|
|
А |
В |
|
Рынок
Размеры рынка
Особенности внедрения на рынок
Степень втягивания в рынок
Рыночный спрос
Рыночная диверсификация
Продукт
Освоение производства изделия
Жизненный цикл изделия
Конкуренция изделий
Ассортимент продукции
Конструкция и дизайн продуктов
Новые изделия
Пересмотр ассортимента выпускаемой продукции
Цены
Новые изделия
Выпускаемые (освоенные) продукты
Продвижение продуктов на рынке
Реклама
Сбытовые службы
Содействие сбытовым организациям
Организация сбыта и распределение продукции
на рынке
Структура каналов сбыта
Размеры каналов сбыта
Преумножение каналов сбыта (формы развития сбытовой сети)
Контроль за каналами сбыта
|
|
|
Таблица может
содержать как краткую цифровую информацию, так и развернутые и достаточно
детализированные примечания. Сегментация рынка по конкурентам производится
аналогично тому, как это осуществляется в отношении потребителей. Анализ данных
и обобщение полученных результатов помогут лучше понять логику ведения бизнеса
конкурентами и определить, какие ответные меры следует предпринять и какие из
них будут наиболее действенными. Поэтому сегментация рынка по конкурентам
является неотъемлемой частью деятельности любого предприятия, решившего всерьез
повысить свою конкурентоспособность на рынке.
Сегментация
рынка и по конкурентам, и по потребителям, и по продуктам взаимодополняют друг
друга, и все полученные результаты рассматриваются и оцениваются в комплексе.
Только в этом случае руководство предприятия сумеет правильно выбрать именно
тот сегмент рынка, где предприятие сможет наилучшим образом использовать свои
сравнительные преимущества.
Итак,
предприятие может воспользоваться тремя подходами к рынку:
1. Массовый
(не дифференцированный) маркетинг с целью привлечения к одному товару
предприятия внимания покупателей всех типов.
2.
Товаpно-диффеpенциpованный маркетинг с целью предложения рынку разнообразия и
различия товаров предприятия от товаров конкурентов.
3.
Концентрированный (целевой маркетинг), предлагающий для каждого целевого рынка
(сегмента) соответствующие товары и комплексы маркетинга.
После
выделения сегментов отбирается один или несколько самых выгодных для
предприятия.
Решив, на
каком сегменте выступать, предприятие должно разработать стратегию
проникновения в этот сегмент. Для этого определяются позиции всех имеющихся
конкурентов и принимается решение о собственном позиционировании. У предприятия
есть два пути. Первый - позиционировать себя рядом с одним из существующих
конкурентов и начать борьбу за долю рынка, второй - разработать товар, которого
еще нет на рынке. Однако перед тем, как принять такое решение, руководство
предприятия должно удостовериться в наличии технических, экономических
возможностей и в достаточности числа потенциальных покупателей предлагаемого
товара. Если все ответы окажутся положительными, значит предприятие отыскало
свое место на рынке, а это позволяет ему приступить к следующему шагу -
планированию комплекса маркетинга.
7.5 Краткие выводы по разделу 7
1.
Сегментирование
рынка - это разделение его на четкие группы покупателей, для каждой из которых
могут потребоваться отдельные товары или комплексы маркетинга.
2.
Сегментирование
рынка производится:
·
по группам
потребителей;
·
по группам
продуктов (товаров, услуг);
·
по предприятиям –
конкурентам.
3.
Фирма (продавец)
может пренебречь различиями в сегментах и применить не дифференцированный
(массовый) маркетинг, может разработать разные рыночные предложения для разных
сегментов (дифференцированный маркетинг) или сосредоточить свои усилия на одном
или нескольких сегментах (концентрированный маркетинг).
4.
Конкуренты фирмы
влияют на выбор конкретного рынка. Изучив позиции конкурентов, фирма принимает решение
о позиционировании своего товара и приступает к детальному планированию
комплекса маркетинга.
8. ТОВАР
КАК ОБЪЕКТ МАРКЕТИНГА
8.1.
Определение товара и его характеристики
Товар - все, что может удовлетворить нужду
или потребность и предлагается рынку с целью привлечения внимания,
приобретения, использования или потребления (физические объекты, услуги, лица,
организации, идеи).
Товарная
единица -
обособленная целостность, характеризуемая показателями величины, цены, внешнего
вида и прочими атрибутами (например, губная помада - товар, а тюбик - единица
товара).
Товар можно
рассматривать с позиции трех уровней (рис.8.1.):
1.Товар по
замыслу.
2.Товар в
реальном исполнении.
3.Товар с
подкреплением.

Рис.8.1. Три
уровня товара
Товар по
замыслу превращается в товар в реальном исполнении. Товар в реальном исполнении
имеет пять характеристик:
- уровень
качества;
- набор
свойств;
-
специфическое оформление;
- марочное
название;
-
специфическая упаковка.
Товар с
подкреплением означает личное внимание к покупателю, доставку на дом, гарантию
возврата денег и т.д.
Идея
подкрепления товара заставляет деятеля рынка присмотреться к существующей у
клиента системе потребления в целом, к тому как покупатель товара комплексно
подходит к проблеме.
Сервисное
обслуживание включает:
1. Абонемент.
2. Бесплатный
ремонт.
3. Свобода
выбора.
Конкуренция
по-новому - это
не конкуренция между товарами, а того, чем фирма дополнительно снабдила свой
товар (упаковка, особенности поставки и т.п.).
8.2.Основные
виды классификации товаров
Товары
классифицируются на:
1. Товары
длительного пользования, т.е. товары, выдерживающие многократное использование.
2. Товары
кратковременного использования - материальные изделия, потребляемые за один или
несколько циклов использования.
Классификация
товаров широкого потребления представляет:
- товары
повседневного спроса (основные товары постоянного спроса, товары импульсной
покупки, товары для экстренных случаев);
- товары
предварительного выбора (схожие и несхожие товары);
- товары
особого спроса (товары с уникальными характеристиками);
- товары
пассивного спроса - товары, которых потребитель не знает или знает, но не
задумывается об их покупке, пока реклама не донесет до потребителя;
- товары промышленного
назначения классифицируются на: материалы и детали, полуфабрикаты;
- товары,
полностью используемые производителем.
Капитальное
имущество -
товары, частично присутствующие в готовом изделии. Это стационарные сооружения
и оборудование, транспорт и т.п.
Вспомогательные
материалы и услуги - объекты, вообще не присутствующие в готовом виде (смазка, бумага).
Деловые
услуги - по
техническому обслуживанию и ремонту (мытье, ремонт) и консультативного
характера (правовые консультации, реклама).
8.3.
Марка товара
Марка - это имя, термин, знак, рисунок или
их сочетание, предназначенное для идентификации товаров и услуг одного продавца
или их группы и дифференциации их от товаров и услуг конкурентов. Атрибуты
марки: марочные названия, марочный знак, товарный знак, авторское право.
Решение
относительно марочных обозначений появляются, чтобы обозначить принадлежность
товара производителю.
В последнее
время появилась тенденция к ликвидации марочных обозначений для снижения цены.
Решение
хозяина марки может иметь три пути перевода своего товара на рынок:
- под маркой
самого производителя;
- под маркой
посредника, продающего этот товар;
- как под
своей, так и под маркой посредника.
Существует
четыре подхода к проблеме присвоения марочных названий:
-
Индивидуальное марочное название (не связанное с именем фирмы).
- Единое
марочное название для всех товаров.
-
Коллективное марочное название для товарных семейств.
- Торговое
название фирмы в сочетании с индивидуальными марками товаров.
Существует
многомарочный подход двух и более марок в одной товарной категории.
Товарный
знак - марка или
ее часть, обеспеченные правовой защитой. Он защищает исключительные права
продавца на пользование марочным названием или марочным знаком.
Авторское
право -
исключительное право на воспроизведение, публикацию и продажу содержания и
формы литературного, музыкального или художественного произведения.
Качество - это расчетная способность
марочного товара выполнять свои функции: долговечность, ремонтопригодность,
надежность, точность, простота эксплуатации и т.п. В маркетинге качество
рассматривается с точки зрения покупательских представлений.
8.4.
Упаковка товара
Упаковка - разработка и производство вместилища или оболочки
товара - одно из действенных орудий маркетинга, ему способствуют факторы:
- самообслуживание в торговле;
- рост
достатка потребителей;
- образ фирмы
и образ марки;
- возможность
для новаторства - новые упаковки, обеспечивающие сохранность.
Функции
упаковки :
- сохранить
товар;
- установить
метод раздачи, розлива;
- донести
определенную информацию до покупателя (функции, пригодность, срок хранения).
Продавцы
товаров создают средства маркировки. Средством маркировки являются этикетки и
ярлыки, которые имеют или одно марочное название товара, или больший объем
информации о нем.
Этикетка:
- идентифицирует
товар или марку;
- указывает
сорт;
- описывает
товар, размер;
-
пропагандирует товар.
Принимая
решение относительно упаковки, деятели рынка должны учитывать следующие
обстоятельства, отражающие мнение общественности и государственной политики:
1. Отражать
истину на упаковке и в маркировке.
2. Учитывать,
что стоимость товара возрастает в зависимости от стоимости упаковки.
3. Снижать
использование дефицитных ресурсов.
4. Не
загрязнять окружающую среду.
8.5.Решения
относительно услуг для клиентов
Одним из
элементов товарной политики является создание службы сервиса для клиентов. При
налаживании службы сервиса деятелю рынка предстоит принять три решения:
- какие
услуги включать в рамки сервиса;
- какой
уровень сервиса предложить;
- в какой
форме предложить услуги клиентам.
Обычно услуги
сервиса включаются в список после изучения мнения покупателей и состоят из
обеспечения: надёжности поставок, оперативности предоставления предложений по
ценам, возможности получения технической консультации, предоставления скидок,
послепродажное обслуживание, масштабы торговой сети, гарантии замены и др.
Решение об
уровне сервиса принимаются фирмой после изучения мнения клиентов.
Решение о
форме сервисного обслуживания будет зависеть от предпочтений клиентов и от
подходов, применяемых конкурентами.
Сервисное
обслуживание рассматривается как орудие против конкуренции. В связи с этим
многие фирмы создают отделы, которые изучают замечания и жалобы клиентов,
занимаются вопросами технического обслуживания и информации.
Совокупность
всех продуктов предпринимателя называется программой. В промышленности
используется термин - производственная программа, в торговле - ассортимент.
8.6.
Товарный ассортимент и номенклатура
Товарный
ассортимент -
группа товаров, тесно связанных между собой либо в силу схожести их
функционирования, либо в силу того, что их продают одним и тем же клиентам, или
через одни и те же типы торговых заведений, или в рамках одного и того же
диапазона цен (ассортимент автомобилей, ассортимент косметики и т.п.). Каждый
ассортимент требует собственной стратегии и работу с ним поручают отдельному
лицу, принимающему решения относительно широты товарного ассортимента:
- наращивание
вниз (от верхнего эшелона рынка к охвату нижележащих эшелонов) с целью
сдерживания конкурентов;
- наращивание
вверх, т.е. проникновение из низших эшелонов в верхние, однако это связано с
риском и противодействием конкурентов;
-
двустороннее наращивание для фирм, работающих в среднем эшелоне рынка.
Фирма может
принять решение о насыщении товарного ассортимента в стремлении получить
дополнительную прибыль, задействовать неиспользуемые мощности и т.п. Однако
перенасыщение ассортимента ведет к уменьшению общих прибылей.
Товарная
номенклатура -
совокупность всех ассортиментных групп товаров и товарных единиц, предлагаемых
покупателям конкретным продавцом.
Товарная
номенклатура описывается с точки зрения ее широты (количества ассортиментных
групп), насыщенности (количества отдельных товаров), глубины (варианты
предложений товара), гармоничности (степени близости между товарами различных
ассортиментных групп).
8.7.
Краткие выводы по разделу 8
1.
Товар – первый и
самый важный элемент комплекса маркетинга. Товарную единицу можно рассматривать
с точки зрения трех уровней:
·
товар по замыслу;
·
товар в реальном
исполнении;
·
товар с
подкреплением.
2.
Товары можно
классифицировать:
·
по долговечности
(длительного или кратковременного спроса);
·
на основе
покупательских привычек потребителей (повседневного спроса, предварительного
выбора, особого спроса, пассивного выбора);
·
по степени
участия их в процессе производства (материалы и детали, капитальное имущество,
вспомогательные материалы и услуги).
3.
Фирма должна
разработать товарно-марочную политику, включающую решение о марках, качестве
упаковки, маркировки, комплексе услуг.
4.
Фирма должна
принять решение о товарном ассортименте, о товарной номенклатуре, являющимися
орудиями в процессе разработки товарной политики.
9. РАЗРАБОТКА
ТОВАРА
9.1.
Стратегия разработки новых товаров
В связи с
быстро изменяющимися потребностями и запросами потребителей, фирма в условиях
конкуренции должна иметь свою программу разработки новых товаров. Фирма может
заполучить новинки двумя способами:
-
приобретением со стороны, например, купив патент, лицензию или другую фирму;
- созданием у
себя отдела исследований и разработок.
Перед фирмой,
занимающейся разработкой новых товаров, стоит дилемма: с одной стороны, надо
разрабатывать новые товары, а с другой, не так уже и много шансов на успех.
Основными причинами неудач являются:
-
“проталкивание” своих идей высокопоставленными руководителями;
- переоценка
объема рынка для нового товара;
- неудачная
конструкция нового товара;
-
неправильное позиционирование и рекламирование.
Перед
создателями новых товаров стоит задача тщательно проработать каждый этап
разработки (рис.9.1.).

Рис. 9.1. Основные этапы разработки
товара-новинки.
9.2. Процесс выработки новых идей для
разработки новых товаров
Процесс от
идеи до готового продукта (рис.9.1) включает в себя пять основных этапов:
выработка идеи; концептуальная проработка; опытно-конструкторская разработка,
включая создание опытного образца; пробный выход на рынок; коммерциализация.
На первом
этапе производится первичная оценка предложений по разработке новых товаров и
услуг с целью выбрать из них более эффективные.
Идеи,
прошедшие первоначальную оценку, подвергаются концептуальной проработке, где
они уточняются с учетом запросов потенциальных потребителей. На этой стадии
составляется первый(рабочий) вариант бизнес- плана, в котором описываются
основные характеристики товара и предполагаемая стратегия его сбыта с учетом,
по возможности , мнения потенциальных покупателей.
После
одобрения концепции начинается этап опытно-конструкторской проработки, на
котором решаются все схемно-конструкторские, технологические,
производственно-технические и инженерные вопросы.
Этап
разработки завершается созданием опытного образца для отработки конструкторской
документации, отладки всего технологического процесса производства, проведения
испытаний и презентации покупателям для изучения их мнения о
конкурентоспособности.
Перед
окончанием ОКР должна быть собрана вся информация, необходимая для составления
окончательного варианта плана маркетинга.
Этап пробного
выхода на рынок предусматривает изготовление пробной партии, ее реализацию, по
результатам которой можно судить о том, примет ли рынок новый товар.
Если
реализация пробной партии пройдет успешно, то вероятность конкурентоспособности
товара велика.
9.3. Методы выработки новых идей и
творческого решения проблем
На этапе
выработки идеи изучаются источники новых идей с использованием специальных
методов выработки идеи и методов творческого решения проблем, вырабатывается
идея(сущность) проекта.
Источниками
новых идей являются:
-
потребители;
- товары
конкурентов;
- мнение
торговых работников;
- публикации
правительства;
-
научно-исследовательские и опытно-конструкторские работы.
Методами
выработки идей являются:
- целевые
обсуждения;
- “мозговая
атака”;
-
инвентаризация “слабых мест”.
Методами
творческого решения проблем являются:
- метод
“мозговой атаки”;
- метод
“мозговой атаки наоборот”;
- метод
Гордона;
- метод
вопросника;
- метод
вмененных связей;
- метод
записной книжки;
-
эвристический метод;
- научный
метод;
- метод
стоимостного анализа;
- метод
матричных структур;
-
параметрический анализ и др.
Методы
творческого решения проблем стимулируют творческую инициативу и позволяют
направить ее на выработку новых, нестандартных идей к решению проблем.
Метод
“мозговой атаки” представляет спонтанное генерирование участниками множества
идей по поставленной проблеме. Участниками могут быть люди разных профессий, не
допускаются к обсуждению признанные авторитеты, запрещается критиковать или
высказывать отрицательные оценки.
Метод
“мозговой атаки наоборот” отличается от предыдущего метода тем, что все участники
группы должны выявлять недостатки предлагаемых идей и предлагать пути их
устранения.
Метод Гордона
предусматривает изложение ведущим концепции к решению проблемы и высказывание
участниками своих идей по этому вопросу. Затем ведущий после уточнения исходной
концепции вскрывает искомую проблему, а участники высказывают конкретные
предложения и излагают свои идеи о том, как их реализовать.
Метод
вопросника основан на составлении в произвольной форме перечня вопросов,
направленных на выявление возможностей улучшить конструкцию, дизайн,
использование товара по другому назначению, его перекомпоновка, уменьшение и
т.п. с целью выработки принципиально новых решений и поиска новых идей в
заранее предусмотренной области.
Метод
вмененных связей включает несколько шагов по выявлению всех входящих в проблему
элементов, установлению всех взаимосвязей между этими элементами, описанию этих
взаимосвязей в структурированном виде, анализу взаимосвязей с целью
установления закономерностей и выявление новых идей, вытекающих из этих
закономерностей.
Метод
записной книжки основан на фиксировании в специальной записной книжке, блокноте
или тетради всех известных фактов, имеющих отношение к решению исследуемой
проблемы и результатов обдумывания проблемы и возможных путей ее решения. На
основе анализа к концу месяца составляется список самых лучших идей. При
коллективном методе выработки идей все участники сдают свои собственные записи
координатору, который сводит всю информацию воедино и составляет общий список
идей, по которому проводится общее обсуждение.
Эвристический
метод основан на умении строить догадки, используя логические рассуждения,
интуицию и прошлый опыт и предполагает выявление всех концепций, которые имеют
отношение к изучаемому товару и выработки на их основе всех возможных
комбинаций и идей.
Научный метод
предполагает сбор данных в ходе наблюдений или экспериментов и проверку на
основании этих данных различных гипотез с целью выбора наилучшего из всех
допустимых решений.
Стоимостной
анализ предполагает максимизацию выгоды для предпринимателя и предприятия.
Метод
матричных структур представляет собой метод систематизации поиска новых идей
путем построения матрицы, столбцы которой соответствуют обсуждаемым вариантам
товаров, а строки - рыночным показателям этих товаров (на какой круг
потребителей рассчитан товар, где можно использовать, кто может использовать и
т.п.).
Параметрический
анализ предполагает два этапа: первый - идентификация параметров, второй -
творческий синтез.
Можно просто
опросить потребителей о том , как они оценивают качество продукта. Для этого
пригодны простые методы: рейтинг шкалы типа “хорошо - плохо” или выстраивание
продуктов в ряд в зависимости от их качества. Метод имеет много недостатков,
однако широко используется на практике.
9.4.
Психологические модели
Психологические
модели, разлагающие целое на компоненты, делят на компенсационные и не
компенсационные. Первые предполагают, что плохая оценка одной характеристики
может быть уравновешена хорошей оценкой другой характеристики. Методы второго
вида отвергают это допущение. Большинство исследований восприятия основывается
на линейно-компенсационном правиле. При этом исходят от двух компонентов -
информации ( автомобиль 1989г.) и оценки этой информации ( это хорошо или плохо
). Общая оценка получается в результате связи этих компонентов и суммирования
результатов по всем характеристикам.
Рассмотрим
наиболее известные модели этого вида: модель Розенберга, модель с идеальной
точкой, модель продукт – рынок [8].
Модель
Розенберга исходит из того, что потребители оценивают продукты с точки зрения
пригодности для удовлетворения своих потребностей. Она выражается формулой
,
где Аj
- субъективная пригодность продукта ( отношение к продукту );
Vi
- важность мотива для потребителя ;
Iij
- объективная оценка пригодности продукта j для удовлетворения мотива i;
n –
количество мотивов.
С точки
зрения работы с продуктом использование модели связано с множеством проблем.
Мотивы, важные для продукта, часто бывает трудно определить. Высказывания
опрашиваемых не дают указаний на то, какие характеристики продукта должны быть
изменены.
Существует
еще одна модель, схожая с моделью Розенберга, однако имеющая более практический
характер. Значение отдельных мотивов определяется опосредованно, через
конкретные характеристики продукта
,
где Qj
- оценка потребителями марки j;
Xk
- важность характеристики k ( k = 1 , ... , n ) марки j с точки зрения
потребителей;
Yjk
- оценка характеристики k марки j с точки зрения потребителей.
Собрав таким
способом данные о многих продуктах, можно получить:
- общие
оценки продуктов, которые могут служить индикаторами предпочтений потребителей;
- информацию
о том, как воспринимаются потребителями отдельные продукты;
- информацию
о важности различных характеристик для общей оценки.
Различные
требования к продуктам дают идеальные предпосылки для сегментирования рынка.
Модели,
изложенные выше, основывались на предпосылке, что каждая характеристика желаема
и одновременно чем выше оценка, тем лучше. Критика этого пункта привела к
созданию так называемых моделей с идеальной точкой, в которые был введен
добавочный компонент - идеальная величина характеристики продукта:
,
где Qj
- оценка потребителями марки j;
Wk
- важность характеристики k ( k = 1, ... , n);
Bjk
- оценка характеристики k марки j с точки зрения потребителей;
Ik
- идеальное значение характеристики k с точки зрения потребителей;
r - параметр,
определяющий при r = 1 постоянную , а при r = 2 убывающую граничную пользу.
Другой
вариант этого метода - измерение степени удовлетворения потребности. При этом
выясняется, какая величина характеристики ожидается потребителями и какая
величина была воспринята в реальности. По этим данным строятся два профиля,
представленные на рис.9.2. Степень удовлетворения покупателей продуктом можно
определить по степени соответствия профиля требований и реального профиля.

Изложенные
выше многомерные методы опирались как на когнитивную (восприятие характеристик
продукта ), так и на мотивационную ( пригодность продукта для удовлетворения
потребностей ) компоненты оценки продукта. Рассмотрим модели, основанные на
когнитивной компоненте процесса восприятия. Будем исходить из следующих соображений:
имеется множество продуктов, каждый из которых может быть описан через
определенное число атрибутов; каждый атрибут может быть представлен как ось,
проходящая через психическое пространство восприятия. Эти оси образуют
пространство, измерение которого зависит от количества атрибутов; можно
получить суждение потребителей о том, насколько выражен тот или иной атрибут у
того или иного продукта; на основании этого можно определить место продукта в
описанном выше пространстве.
С помощью
статистических методов часто можно уменьшить число осей без большой потери
информации и выяснить главные факторы, влияющие на восприятие продукта. Затем
можно определить позицию продукта, с точки зрения этих центральных
характеристик. Наконец, нас может интересовать позиция продуктов по отношению
друг к другу, из чего можно сделать вывод о похожести, заменяемости и
интенсивности конкуренции.
Первый шаг
при построении пространства восприятия потребителей заключается в определении
продуктов, образующих конкретный рынок; для этого можно прибегнуть к услугам
экспертов или опросить потребителей, какие марки или продукты они учитывают при
принятии решения о покупке. В дальнейшем возможны два варианта:
1. Модели
“продукт-рынок” с предварительно заданными характеристиками. В этом случае
выясняется оценка продукта по характеристикам, заданным заранее. Наиболее
сложной фазой можно считать выбор характеристик. Они должны отвечать следующим
условиям: быть по возможности независимыми друг от друга; восприниматься без
осложнений; четко разделять интересующие нас объекты; оказывать влияние на
принятие решений о покупке;
Производитель
должен иметь возможность изменять и контролировать эти характеристики.
Потребители
должны определить место продукта на шкале ( чаще всего семиступенчатый рейтинг
), отражающий определенную характеристику. Затем с помощью статистических
методов эти шкалы можно уплотнить до небольшого числа. В итоге получается
наглядная модель рынка, в которой каждый продукт занимает свое место.
2. Модели
“продукт – рынок” без задания характеристик.
Недостатка
первого метода ( трудность определения важности характеристик ) можно избежать,
применяя, например, многомерное шкалирование на основе схожести продуктов.
Возможности
метода показаны на рис.9.3. На нем представлена рыночная модель для 14
автомобилей, полученная из сравнения 91 пары [n(n-1)/2]. Расстояние между ними
в пространстве непосредственно отражает воспринятое потребителем сходство[8].

Кроме
отношения позиций нас интересуют и характеристики, которые привели к такому
расположению. Координаты модели нуждаются в интерпретации. Интерпретировать
можно с помощью экспертизы или статистических методов. Если на этой модели
расположить идеальные предпочтения индивидумов (J1,J2), то продукт, имеющий
наименьшее удаление от этих точек, будет выбран потребителями.
9.5.
Жизненный цикл товара
Каждый товар,
запущенный в коммерческое производство, имеет жизненный цикл, однако характер и
протяженность его предугадать нелегко.
Типичный
жизненный цикл товара (ЖЦТ) и характер сбыта и прибыли на протяжении (ЖЦТ)
представлен кривой на рис.9.4.

Рис. 9.4. Жизненный цикл товара
В нем
выделяются следующие этапы:
- разработки
товара;
- выведения
на рынок;
- роста спроса;
- насыщения
рынка (зрелости);
- упадка
(спада спроса);
- реанимации.
Одним из
часто встречающихся вариантов является кривая с повторным циклом (рис.9.5.),
вызванным мероприятиями по стимулированию сбыта, модернизации товара и т.п.
Гребешковая
разновидность (рис.9.6) состоит из последовательного ряда циклов, порожденных
открытием новых характеристик товара, новых способов его использования,
появлением новых пользователей(нейлон и использование его: парашюты, чулки и
белье, рубашки, ковровые покрытия и т.д.).

Различные
этапы жизненного цикла товара требуют использования разных стратегий
маркетинга.
Основные
характеристики каждого этапа жизненного цикла товара и ответные типичные
маркетинговые реакции фирмы на каждом из этапов приведены в табл. 9.1.
Таблица 9.1
Жизненный
цикл товара: основные характеристики и типичные ответные реакции
производителей.
|
|
Этап выведения на рынок |
Этап роста |
Этап зрелости |
Этап упадка |
|
Характеристика
|
| Сбыт |
Слабый |
Быстрорастущий |
Медленнорастущий |
Падающий |
| Прибыль |
Ничтожная |
Максимальная |
Падающая |
Низкая (0) |
| Потребители |
Любители нового |
Массовый рынок |
Массовый рынок |
Отстающие |
| Число конкурентов |
Небольшое |
Постоянно растущее |
Большое |
Убывающее |
|
Ответная реакция производителей
|
| Основные стратегические усилия |
Расширение рынка |
Проникновение вглубь рынка |
Отстаивание своей доли рынка |
Повышение рентабельности производства |
| Затраты на маркетинг |
Высокие |
Высокие, но несколько ниже в процентном отношении |
Сокращающиеся |
Низкие |
| Основные усилия маркетинга |
Создание осведомленности о товаре |
Создание предпочтения к марке |
Создание приверженности к марке |
Селективное воздействие |
| Распределение товара |
Неравномерное |
Интенсивное |
Интенсивное |
Селективное |
| Цена |
Высокая |
Несколько ниже |
Самая низкая |
Возрастающая |
| Товар |
Основной вариант |
Усовершенствованный |
Дифференцированный |
Повышенной рентабельности |
9.6.Краткие
выводы по разделу 9
1.Процесс
создания нового товара включает составляющие:
-
технологическую (формирование и отбор идей, техническую проверку замысла,
опытно-конструкторские разработки, опытное производство);
-
экономическую (обоснование инвестиций, калькуляция расходов, расчеты
себестоимости, цены и прибыли);
-
маркетинговую (анализ рынка, пробный маркетинг, коммерциализация).
2.На этапе
выработки идеи используется ряд методов:
- творческого
решения проблем (метод “мозговой атаки”, научный метод, параметрический анализ
и т.д.);
-
психологические модели исследования рынка: (модель Розенберга, модель с идеальной
точкой, модель продукт - рынка).
3. Каждый
товар, запущенный в коммерческое производство, имеет свои потенциальные циклы,
состоящие из нескольких этапов:
- выведение
на рынок;
- роста
спроса;
- зрелости
(насыщения);
- спада
спроса;
- реанимации.
10.
ЦЕНООБРАЗОВАНИЕ В МАРКЕТИНГЕ
10.1.
Роль цены в теории и практике конкуренции
Политика цен
рассматривается как решающий инструмент маркетинга. Уровень цен считается
надежным индикатором функционирования конкуренции. Ценовая конкуренция
возникает не только между товаропроизводителями, но и между производителями и
торговлей. Производитель хотел бы контролировать две цены: оптовую цену
предприятия и розничную цену, т.к. выручка его зависит от первой цены, а вторая
влияет на позиционирование товара. Однако законодательство многих государств
закрепляет право формирования розничной цены за предприятиями розничной
торговли. Это ограничивает возможности производителя, т.к. ему остается только
предполагать, какую цену назначит торговля при его оптовой цене и обычной
торговой наценке.
Под ценой в
широком смысле понимаются все субъективные и объективные затраты, связанные с
приобретением продукта - носителя качества [8].
К
субъективным относятся такие невещественные затраты, как потеря времени,
комфорта или появление ощущения упущенной выгоды.
Объективные
затраты - это собственно цена товара и любое дополнительное отчуждение денежных
или иных материальных средств покупателя данного товара, т.е. это базисная цена
и цена дополнительных услуг (транспортных, скидок, затрат на ремонт и т.д.).
Выделяют два
способа образования базисной цены: свободное установление цен и применение
прейскуранта.
С учетом цен
других звеньев сбытовой цепи или других экономических ступеней, различают
системы нетто- и брутто-ценообразования.
Система
нетто-ценообразования означает, что продавец фиксирует цену по отношению только
к непосредственному покупателю.
Система
брутто-ценообразования основывается на “мысленном перескакивании” через
промежуточные звенья установления цен, например, производитель может определить
розничную цену, которую он считает наиболее соответствующей потребностям рынка,
и настоять на том, чтобы рыночный торговец продавал товар по этой цене. Конкретные
формы этой системы - вертикальное установление цен и не обязывающие
рекомендации по ценам.
Вертикальное
ценообразование должно учитывать прибыль торговых предприятий, работающих с
наибольшей себестоимостью. Расчет цены для непосредственного покупателя
происходит в этой системе в форме торговых скидок (выраженных чаще всего в
процентах) к конечной цене. При определении размера скидок производитель должен
разделить общую дистрибуционную скидку между отдельными звеньями системы сбыта
в соответствии с их вкладом.
Конечные
потребители слабо сознают побочные затраты, которые они должны нести наряду с
базовой ценой (дорожные расходы, психические затраты, затраты времени и т.п.),
плохо знают цены на сравнимые продукты, а ломаные цены (неокругленные) воспринимаются
ими как более "честные" и производят на них впечатление также
выставление цен с помощью плакатов или знаков, или языковые обозначения типа
“отпускная цена”.
Под
"честной" или приемлемой ценой следует понимать не конкретную
величину, а область терпимости, т.е. готовность заплатить по цене. Сверху эта
область ограничена ценой, которую потребитель готов заплатить за определенный
продукт, нижняя определяется ценой, которая ими воспринимается еще как
нормальная. Все, что находится ниже, неприемлемо для него, с точки зрения
качества.
Под
стандартной понимается цена, относимая к совокупности сравнимых
взаимозаменяемых продуктов.
Для каждого
уровня качества и для каждой категории продуктов имеется своя "стандартная
цена" (рис.10.1)[8]. Она возникает в результате субъективной переработки
информации о ценах и может не соответствовать ни одной реальной цене.
Предположим, что товары А,В и С (рис.10.1) воспринимаются как одинаковые, с
точки зрения качества, но цены продуктов различны. Тогда, исходя из принципа рациональности,
будет выбран продукт с наиболее низкой ценой (функция "цена-сбыт" в
микроэкономической теории). Правда, тщеславие заставляет людей покупать более
дорогие продукты (Veblen - эффект).

Ценообразование
на практике основано не на оптимизационных методах, а на постепенном, с
использованием неполноценной информации, поиске более или менее приемлемой
цены.
Проблема
определения цен в реальности решается исходя из трех подходов:
1) каждое
предприятие должно экономически обеспечить свое существование. Это означает,
что цена должна покрывать затраты, связанные с деятельностью предприятия
(краткосрочно или долгосрочно);
2) наряду с
покрытием затрат предприятие нацелено на получение максимальной или достаточной
прибыли. Поэтому необходимо проверить, какую цену готовы принять отдельные
сегменты рынка;
3) в рыночной
экономике продавцы, как правило, конкурируют между собой. По этой причине
величина цены, которую потребитель готов платить, существенно зависит от
предложения конкурентов.
Для принятия
решения о ценах при постановке задач ценообразования определяющими величинами
являются затраты, поведение потребителей и влияние конкурентов. Ценообразование
на предприятии может быть ориентированно на одну из этих величин.
10.2.Ценообразование,
ориентированное на затраты
Политика цен,
ориентированная на затраты, исходит из принципа покрытия всех или, по крайней
мере, значительной части затрат. Необходимая информация берется из данных
производственного учета (расчета себестоимости). Калькуляция является
методическим средством, связывающим расчеты себестоимости с ценообразованием.
По цели и методам различают два вида калькуляции:
1)
прогрессивная калькуляция, т.е. на основе производственных затрат
рассчитывается цена, полностью или частично покрывающая затраты. Недостатком
метода можно назвать недоучет влияния рынка. Рассчитанная таким образом цена не
гарантирует того, что она будет принята рынком;
2) метод
обратной калькуляции основан на расчете, исходящем из продажной цены, и
предназначен для контроля рыночной цены, с точки зрения затрат. Речь идет о
проверке цен, ожидаемых потребителями или устанавливаемых конкурентами.
Чисто
затратно ориентированное ценообразование не проблематично лишь в случае, если
цена не играет большой роли для потребителей. Для предприятий со сравнительно
невыгодной структурой затрат, обусловленной технологическими или
организационными недостатками, такой способ определения цен опасен
самоудалением с рынка. Цены, основанные на себестоимости, ведут в этом случае к
закреплению сложившихся отсталых структур затрат. Напротив, такая форма
ценообразования возможна там, где господствует экстремальная конкуренция в
области затрат и рационализации и одновременно существует согласие по поводу
прибыли, которую должен получить каждый экономический субъект.
10.3.
Ценообразование, ориентированное на потребителей
Предметом
анализа при установлении цен является в этом случае готовность потребителей
платить определенную цену (верхняя граница цен), реакция потребителей на
изменение цен (эластичность цен) и возможность дифференцирования цен. Если не
учитывать необходимости оперировать ценами выше нижней границы цен, то при
ориентации на потребителей нет непосредственной связи между затратами и
установлением цен. Если потребители имеют представление о "правильной
цене", то ценообразование должно учитывать эти представления. Напротив,
представления покупателей о "честных" ценах для многих новых
продуктов образуются на основе требуемых за них цен.
При выходе на
рынок с действительно новыми продуктами часто используется стратегия исчерпания
(снятия сливок). Вначале назначается высокая цена, которая постепенно снижается
с развитием рынка и уменьшением штучных затрат. Таким способом пытаются
исчерпать верность марке тех покупателей, которые готовы платить большую цену
за подлинную новинку, недостатком этой стратегии является то, что высокая цена
привлекает конкурентов.
10.4.
Ценообразование, ориентированное на конкурентов
В зависимости
от структуры рынка, числа и силы конкурентов, однородности продукта предприятие
выбирает одну из трех стратегий. Это, во-первых, приспособление к рыночной
цене; во-вторых, последовательное занижение цен; в-третьих, последовательное
повышение цен, которое основывается на высоком имидже и качестве продукта. Для
этого способа определения цен характерно, что продавец учитывает свои затраты и
поведение потребителей.
Политика
низких цен, ориентированная на конкурентов, часто применяется при вводе новых
продуктов с целью быстрого привлечения большого числа клиентов, использования
преимуществ массового производства и отпугивания потенциальных конкурентов. С
помощью низкой цены воздвигаются барьеры для продуктов-подделок.
10.5.
Основная проблема калькуляционного выравнивания
Представленные
варианты определения цен ни в коем случае нельзя рассматривать как
альтернативные, взаимоисключающие друг друга. Существует метод, связывающий эти
три формы ценообразования, - метод калькуляционного выравнивания. Он
применяется чаще всего при одновременном назначении цен для многих продуктов.
Его специфика заключается в отказе от строго затратно ориентированного ценообразования
для продуктов, которые являются индикаторами возможностей предприятия и для
которых характерна высокая обозреваемость рынка.
Подобное
калькуляционное выравнивание в одном периоде, широко применяемое на
предприятиях торговли, называют симультанным выравниванием. В отличие от этого
компенсацию во времени, основанную на сезонной потребности или тренде моды,
обозначают как сукцессивное выравнивание. Первый метод применяется потому, что
смешанная калькуляция позволяет выравнивать доходы, приносимые продуктами и
группами продуктов без учета эффектов связи между ними.
Значение
продуктов, входящих в производственную программу, неодинаково с точки зрения их
влияния на конечный результат. Это является следствием конкретных условий
конкуренции и спроса. Высокие доходы, получаемые за счет одних продуктов,
должны по крайней мере компенсировать низкие результаты других.
В табл.10.1
приведен пример расчета методом калькуляционного выравнивания для продуктов
А,В,С из ассортимента торгового предприятия [8].
Таблица 10.1
|
|
А |
В |
С |
| 1. Запланированный сбыт, тыс. шт. |
170,0 |
510,0 |
290,0 |
| 2. Планируемая выручка, тыс. DM |
1966,7 |
4090,0 |
2964,4 |
| 3. Цена на основе затрат, DM за штуку |
11,57 |
8,02 |
10,22 |
| 4. Реализуемая на рынке штучная цена, DM |
9,98 |
- |
9,99 |
| 5. Реализуемая выручка, тыс. DM=(1)x(4) |
1696,6 |
- |
2897,1 |
| 6. Недопокрытие, тыс. DM=(5)-(2) |
-270,1 |
- |
-67,3 |
| 7. Сумма нехватки выручки по всем продуктам |
- |
-337,4 |
- |
| 8. Требуемая выручка после калькуляционного
выравнивания=(2)-(7) |
- |
4427,4 |
- |
| 9. Штучная цена после калькуляционного
выравнивания=(8):(1) |
9,98 |
8,68 |
9,99 |
Цены для
продуктов А и С (11.57 и 10.22 ДМ) не были приняты рынком. Вполне реализуемыми,
напротив, кажутся ломаные цены немногим меньше 10 ДМ. Это ведет к уменьшению
выручки. Чтобы добиться желаемой прибыли, продукт В должен быть продан не по
первоначально рассчитанной цене, а по цене, покрывающей потери от продуктов А и
С. Цена 8.68 ДМ является приемлемой для рынка.
10.6.
Задачи и политика ценообразования
Пpоцесс
формирования фирмой рыночных цен на свои товары включает, как минимум, шесть
этапов:
- постановку
задач ценообразования;
- определение
спроса;
- оценку
издержек производства;
- проведения
анализа цен и товаров конкурентов;
- выбор
метода установления цен;
- определение
окончательной цены и правил ее будущих изменений.
На этапе
постановки задач ценообразования определяется политика цен фирмы на ее товары.
Здесь возможны различные стратегии, описанные выше.
Второй этап в
ценообразовании: определение спроса на товары Чаще всего пользуются простой
графической формой выражения зависимости объема продаж от уровня цен, как
показано на рис. 10.2.

Таким
образом, экспертная оценка эластичности спроса по цене покажет ту максимальную
цену, по которой товар может быть принят рынком. Наилучшей будет та цена,
которая обеспечит максимальную выручку.
Третий
этап - оценка
издержек, а затем и поиск путей их снижения.
От уровня
себестоимости зависит вид кривой эластичности предложения (производства)
товаров по цене (рис.10.3.).

Рис.10.3. Кривая эластичности
предложения (производства) товаров по цене
Эта кривая
показывает, как растет производство товаров в зависимости от уровня цен, т.е.
чем выше на рынке цена ввиду неудовлетворенного спроса, тем в больших объемах
готов производитель выпускать товары, т.к. при этом большая прибыль содержится
в цене.
Разумнее
закладывать умеренную долю прибыли (для коммерческого предпринимательства -
15%, для инновационных проектов - 24%), но зато получить ее большую массу или
завоевать большую долю рынка, обеспечив себе устойчивость на будущее.
График
изменения себестоимости продукции, представленный (на рис.10.4.) позволяет
оценить вид функции затрат (прямой зависимости или S-образного вида).

Рис. 10.4.
График изменения себестоимости продукции
Рассмотрев
график изменения себестоимости в зависимости от производственной и
маркетинговой ситуаций, предприниматель должен проанализировать график
прибыльности (безубыточности) (рис.10.5.) и определить критический объем
производства при различных уровнях цен.

Рис. 10.5.
График прибыльности (при S-образной функции затрат)
Если
разместить на одном графике рассмотренные кривые: эластичности спроса по цене и
эластичности предложения (производства) по цене, то мы найдём значение рыночной
равновесной цены, показывающей сколько и по какой цене можно продать, чтобы это
устроило и покупателей и производителей.
Графики
рыночного равновесия (рис.10.6.) используются для моделирования разных
вариантов коммерческой стратегии. Лучшим будет то производство, которое
обеспечит быстрое достижение точки безубыточности. Ключ к этому: рациональное
сочетание стратегии ценообразования и производства продукции.

Рис.10.6.
Формирование рыночной равновесной цены
Для каждой
фирмы очень важно также определить цену и оптимальный объем производства с
учетом конкуренции.
Специалисты
по экономическим наукам различают 4 рыночные ситуации: чистую конкуренцию,
чистую монополию, монополистическую конкуренцию и олигополию.
Анализ
экономических моделей показал, что существуют следующие основные показатели,
формирующие тип рынка: издержки производства, спрос, цена, валовой доход.
На четвертом
этапе на основе этих показателей осуществляется построение кривых спроса, общих
средних, сpеднепеpеменных и предельных издержек производства, предельного дохода.
На основе сочетаний этих кривых анализируется тип рынка и принимается решение
по ценовой стратегии фирмы.
Характер
кривых, их взаимное расположение позволяет определить тип рынка, на котором
организует свою работу фирма, и прогнозировать ее экономические результаты:
оптимальный объем продаж, максимальную цену и предполагаемую прибыль или убыток
(рис. 10.7.)

в) рынок
монополистической конкуренции
Рис. 10.7.
Типы рынков
Условные
обозначения:
|
D - кривая спроса;
MC – кривая предельных издержек;
АС - кривая средних издержек;
MR - кривая предельных издержек;
|
P - цена;
Pm – максимальная цена;
P*,Q* - оптимальные соответственно цена и объем;
прибыль.
|
На пятом
этапе ценообразования на основе проведения анализа цен и товаров конкурентов
рекомендуется: зная график спроса, расчётную сумму издержек и цены конкурентов,
фирме приступить к выбору цены собственного товара
Алгоритм
маркетингового ценообразования включает следующие шаги:
1.
Выбрать цель.
2.
Изучить спрос и
построить кривую спроса.
3.
Произвести расчет
издержек производства.
4.
Произвести расчет
производственной цены без изучения спроса.
5.
Исследовать
возможности производства и построить кривую предложения.
6.
Построить график
прибыльности (безубыточности) и определить критический объем производства.
7.
Построить график
равновесной рыночной цены при различных уровнях цен спроса и определить цену
спроса, удовлетворяющую быстрейшему достижению точки безубыточности.
8.
Определить
исходные данные об объеме спроса при различных уровнях цен, об
условно-постоянных издержках, удельных условно-переменных издержках при
различных уровнях цен, полученных при решении предыдущих задач.
9.
Построить графики
спроса, предельного дохода, средних валовых издержек, средних переменных
издержек, предельных издержек..
10.
Проанализировать
графики и определить: тип рынка, на котором предстоит действовать предприятию;
минимальный и оптимальный объемы производства; максимальную цену на продукцию;
прибыль (убыток).
11.
Выбрать метод и
стратегию ценообразования.
12.
Оценить текущую
маркетинговую ситуацию (налоги, количество посредников, снижение, увеличение
спроса, реакцию поставщиков, посредников на изменение цены на продукцию,
появление товаров заменителей, конкурентов и т.п.).
13.
Исследовать
уровни цен, приемлемые для предприятия на различных этапах жизненного цикла с
учетом текущей маркетинговой ситуации (единых цен, гибких цен, неокругленных
цифр, скидок, надбавок и т.п.).
14.
Определить
выручку при различных вариантах цен, принятых на основании исследований,
проведенных на шаге 13.
15.
Принять решения
об установлении окончательной цены на продукцию.
Фирма на
шестом этапе выбирает один и следующих методов ценообразования:
-
"средних издержек";
- анализа
точки безубыточности;
-
установление цены, исходя из ощущаемой ценности товара (цена кофе в буфете в
ресторане);
-
установление цены на основе уровня текущих цен (свободная конкуренция);
-
установление цены на основе закрытых торгов.
На шестом
этапе установление окончательной цены и правил её будущих изменений
осуществляется с учётом:
- психологии
ценовосприятия;
- политики
цен фирмы (скидки, ответные меры на изменение цен конкурентов);
- влияние
цены на других участников рыночной деятельности (отношение поставщиков,
дистребьютеров и продавцов, конкурентов, государства).
Существуют
следующие подходы к установлению окончательной цены:
-
установление цен на новый товар;
- ценообразование
в рамках товарной номенклатуры;
-
установление цен по географическому принципу;
-
установление цен со скидками и зачетами;
-
установление цен для стимулирования сбыта;
-
установление дискриминационных цен.
Важным
моментом в выборе стратегии ценообразования является этап жизненного цикла. Для
продукции, представляющей подлинную новинку, защищенную патентом, можно выбрать
стратегию “снятия сливок” или стратегию прочного внедрения на рынок.
Для
продукции-имитатора можно принять решение согласно табл. 10. 2.
Таблица 10. 2
| Качество |
Цена |
|
|
Высокая |
Средняя |
Низкая |
| Высокое |
1. Стратегия премиальных наценок |
2. Стратегия глубокого проникновения на рынок |
3. Стратегия повышенной ценностной значимости |
| Среднее |
4. Стратегия завышенной цены |
5. Стратегия среднего уровня |
6. Стратегия доброкачественности |
| Низкое |
7.Стратегия ограбления |
8. Стратегия показного блеска |
9. Стратегия низкой ценностной значимости |
Ценообразование
в рамках товарной номенклатуры предусматривает:
-
установление цен в рамках товарного ассортимента;
-
установление цен на дополняющие товары, на обязательные принадлежности;
-
установление цен на побочные продукты производства.
Установление
цен по географическому признаку предполагает несколько подходов:
-
установление цены франко-вагон в месте происхождения продукции, когда заказчик
оплачивает расходы по транспортировке самостоятельно;
-
установление единой цены с включением в нее расходов по доставке;
-
установление зональных цен, т. е. учет в цене удаленности сбыта продукции;
-
установление цен применительно к базисному пункту, т. е. взимание транспортных
расходов в сумме, равной стоимости доставки из выбранного базисного пункта
независимо от того, откуда в действительности происходит отгрузка;
-
установление цен с принятием на себя расходов по доставке с целью проникновения
на новые рынки или удержания своего географического положения на конкурентном
рынке.
Выбор цен
франко, расходы по доставке товаров производятся в соответствии с табл. 10. 3.
Таблица 10. 3
|
|
Виды франко |
| Расходы |
Франко-склад поставщика |
Франко-станция отправления |
Франко-вагон станции отправления |
Франко-вагон станции назначения |
Франко-станция назначения |
Франко-склад потребителя |
| На доставку товара до склада поставщика |
+ |
+ |
+ |
+ |
+ |
+ |
| На доставку товара на станцию отправления |
|
+ |
+ |
+ |
+ |
+ |
| По погрузке товаров в вагон на станции отправления |
|
|
+ |
+ |
+ |
+ |
| По транспортировке товара до станции назначения |
|
|
|
+ |
+ |
+ |
| По выгрузке продукции из вагона на станцию
назначения |
|
|
|
|
+ |
+ |
| По доставке товара от станции назначения до склада
потребителя |
|
|
|
|
|
+ |
10.7. Краткие выводы по разделу 10
1. Цена в
теории и практике конкуренции рассматривается как решающий инструмент
маркетинга. Цена в широком смысле слова включает все объективные и субъективные
затраты, связанные с приобретением продукта – носителя качества.
2. В принятии
решения о ценах при постановке задач ценообразования определяющими являются
затраты, поведение потребителей, влияние конкурентов, поэтому стратегии
ценообразования могут быть ориентированы на одну из этих величин:
·
установление
низких цен (затраты плюс нормальная прибыль);
·
стратегия
исчерпания (“снятия сливок”);
·
стратегия
приспособления к рыночной цене (следование за лидером).
3. При
использовании всех стратегий для различных товаров фирма может использовать
метод калькуляционного выравнивания;
4. Процесс
формирования рыночных цен включает этапы:
·
постановка задач
ценообразования;
·
определение
спроса;
·
оценка издержек
производства;
·
проведение анализа
цен и товаров конкурентов;
·
выбор метода
установления цен;
·
определение
окончательной цены.
5. Фирма
устанавлевает исходную цену, а затем корректирует ее с учетом факторов
окружающей среды. Основные подходы к проблеме ценообразования:
·
установление цен
на новый товар;
·
ценообразование в
рамках товарной номенклатуры;
·
установление цен
со скидками и зачетами;
·
установление цен
для стимулирования сбыта;
·
установление
дискриминационных цен.
11. МЕТОДЫ
РАСПРОСТРАНЕНИЯ ТОВАРОВ
11.1
Задачи распределения
Понятие
распределения объединяет регулирование всех производственных мероприятий,
направленных на перемещение продукта в пространстве и времени от места
производства к месту потребления.
На стратегическом
уровне производитель делает выбор между прямым сбытом и сбытом с включением
промежуточных звеньев, таких, как оптовая и розничная торговля.
На
тактическом уровне решаются следующие задачи:
- работа со
старыми клиентами и привлечение новых;
- получение
заказов;
- организация
выполнения заказов и поставки;
- максимально
быстрое получение оплаты за продукцию. Кроме того, имеется еще ряд конкретных
проблем физического распределения.
Они
заключаются в поиске компромисса между уровнем сервиса поставки для клиентов и
затратами на поддержание этого сервиса. Для решения задач распределения
широкого плана необходимы компьютерные информационные системы, которые
способны свести воедино спрос и предложение. Еще один решающий шаг вперед
связан с внедрением интегрированных систем учета информации о товарах в
торговле. Точный учет товаров по артикулам при получении ( через накладные
) заставляет осуществлять непрерывное наблюдение за состоянием товарных запасов
и получать информацию в течение нескольких секунд. Существенной предпосылкой
для этого было введение единых национальных и международных систем обозначения
товарных артикулов, универсальных товарных кодов. Подобные предприятия имеются
в США и Западной Европе.
11.2.Каналы распределения
Канал
распределения -
это путь, по которому товары движутся от производителей к потребителям,
благодаря чему устраняются длительные разрывы во времени, месте и праве
собственности, отделяющие товары и услуги от тех, кто хотел бы ими
воспользоваться. Члены канала распределения выполняют ряд очень важных функций:
1.
Исследовательская
работа - сбор информации, необходимой для планирования и обеспечения обмена.
2.
Стимулирование
сбыта - создание и распространение увещевательных коммуникаций о товаре.
3.
Установление
контактов - налаживание и поддержание связи с потенциальными покупателями.
4.
Приспособление
товара - подгонка товаров под требования покупателей. Это касается таких видов
деятельности, как производство, сортировка, монтаж и упаковка.
5.
Проведение
товаров - попытка согласования цен и прочих условий для последующего
осуществления акта передачи собственности или владения.
6.
Организация
товародвижения - транспортировка и складирование товаров.
7.
Финансирование -
изыскание и использование средств для покрытия издержек по функционированию
канала.
8.
Принятие риска -
принятие на себя ответственности за функционирование канала.
Выполнение
первых пяти функций способствует заключению сделок, а оставшихся трёх -
завершению уже заключенных сделок.
Каналы
распределения можно охарактеризовать по числу составляющих их уровней. Уровень
канала распределения - это любой посредник, который выполняет ту или иную
работу по приближению товара и права собственности на него к конечному покупателю.
Поскольку определенную работу выполняет и сам производитель, и конечный
потребитель, они тоже входят в состав любого канала. Протяженность канала
обозначается по числу имеющихся в нем промежуточных уровней:
- Канал
нулевого уровня состоит из производителя, продающего свой товар непосредственно
потребителям. Три основных способа прямой продажи: торговля в разнос,
посылочная и через принадлежащие производителю магазины.
-
Одноуровневый канал включает в себя одного посредника. На потребительских рынках
этим посредником обычно бывает розничный торговец, а на рынках товаров
промышленного назначения - агент по сбыту или брокер.
-
Двухуровневый канал включает в себя двух посредников. На потребительских рынках
такими посредниками обычно становятся оптовый и розничный торговцы, на рынках
товаров промышленного назначения - промышленный дистрибьютор и дилеры.
-
Трехуровневый канал включает в себя трех посредников. Ими являются оптовый
посредник, мелкий оптовик и розничный посредник.
Канал
товародвижения, содержащий нулевой уровень, относится к прямому типу каналов, а
канал, содержащий большее количество промежуточных уровней - к косвенным
каналам. С точки зрения производителей, чем больше уровней имеет канал
распределения, тем меньше возможностей контролировать его.
Если фирма
сокращает длину канала, приобретая компанию на другом этапе товародвижения,
например, когда производитель объединяется с оптовиком, имеет место
вертикальная интеграция. Это позволяет фирме получить большую независимость,
обеспечить снабжение, сократить расходы на посредников, контролировать каналы
сбыта и координировать срок прохождения товаров через них. Критики вертикальной
интеграции утверждают, что она ограничивает конкуренцию, развивает
неэффективность и не снижает цены для потребителей.
Ширина канала
определяет количество независимых участников на любом этапе товародвижения. При
узком канале производитель продает через нескольких участников сбыта; при
широком - через многих. Если фирма хочет усилить свое положение на определенном
этапе канала, то она может осуществлять горизонтальную интеграцию или
экспансию, и приобретать компании аналогичной специализации. Это позволят
компании увеличить свой размер, долю на рынке, эффективнее использовать
средства массовой информации и методы распределения и сбыта.
Фирмы,
производящие потребительские товары, должны не только выбрать каналы
товародвижения, но и определить интенсивность их использования, т.е.
определить, какое число посредников будет использовано на каждом уровне канала.
Существует три подхода к решению этой проблемы.
При эксклюзивном
распределении и сбыте фирма резко ограничивает количество оптовых и розничных
торговцев в географическом регионе, может использовать один или два розничных
магазина в конкретном торговом районе. Она стремится к престижному образу,
контролю над каналами сбыта и высокой доле прибыли и готова согласиться с
меньшим объемом сбыта, чем при других типах распределения и реализации. При избирательном
распределении и сбыте фирма использует среднее число оптовиков и розничных
магазинов, пытается сочетать контроль над каналом, престижный образ с хорошим
объемом продаж и прибыли. При интенсивном сбыте фирма использует большое
число оптовых и розничных торговцев. Ее цели - широкий рынок сбыта, признание
каналов, массовая реализация и высокая прибыль. Относительная прибыль невысока
. Эта стратегия направлена на наибольшее число потребителей. Фирма может
переходить от эксклюзивного сбыта к избирательному, а затем к интенсивному по
мере прохождения товара по жизненному циклу. Однако очень сложно идти от
интенсивного к избирательному, а потом к эксклюзивному сбыту. Например,
модельные джинсы быстро перешли от престижных магазинов к хорошим, а потом и ко
всем торговым точкам. Этот процесс не смог бы пройти в обратном направлении.
Фирма может использовать двойные каналы товародвижения. При этом она выходит на
различные рыночные сегменты или диверсифицирует свою деятельность, продавая
через два различных канала или более.
В контрактных
отношениях между производителями и участниками сбыта упор делается на ценовую
политику, условия продажи, территориальные права, структуру услуг
(ответственность, длительность контракта и условия его прекращения).
Ценовая
политика в основном
связана со скидками, которые участники сбыта получают за выполнение торговых
функций, массовые закупки, платёж наличными, а также с размерами комиссионных.
Условия
продажи определяют
цену и гарантии качества, условия оплаты и транспортировку, компенсации за
непродаваемую продукцию и скидки за возврат. Особо важна гарантия против
снижения цен. Она защищает участников сбыта от выплаты высокой цены за товар,
который затем другими фирмами продаётся дешевле. Если цены снижаются, то
первоначальный покупатель получает компенсацию, так что продукция стоит для
него столько же, сколько и для конкурентов. В противном случае он не сможет
установить те же цены, которые для потребителей определяют конкуренты.
Территориальные
права определяют
географические районы, в которых могут действовать участники сбыта и /
или целевые рынки (например, небольшие предприятия), с которыми они могут
заключать контракты. Возможны исключительные права на территории.
Структура
услуг / ответственности. Она характеризует роль каждого участника каналов сбыта, определяет, кто
обучает торговый персонал, поставляет товары, готовит рекламные объявления,
хранит запасы, оформляет витрины.
Продолжительность
контракта и условия его прекращения защищают торговлю от того, что
производитель (поставщик) будет обходить их до истечения определённого срока,
используя созданный территориальный рынок. Производитель защищён тем, что
длительность контракта ограничена и определены условия, приводящие к его
прекращению.
Все участники
товародвижения имеют общие цели: прибыльность, доступ к продукции и услугам,
эффективные распределение и сбыт и лояльность потребителей. Однако в вопросе о
том, как их достичь, точки зрения расходятся. Из-за этого происходят конфликты
в рамках канала. Конфликт может происходить как между представителями одного
уровня, так и между представителями разных уровней.
Сотрудничество
обычно встречается между членами, входящими в состав одного канала.
Производители, оптовики и розничные торговцы помогают друг другу, и их
сотрудничество обычно приносит всем большие прибыли.
Конкуренция
возникает между фирмами и системами, пытающимися обслуживать одни и те же
целевые рынки. Важная часть программы товародвижения любой фирмы - её уровень
обслуживания потребителей. Принимаемые решения касаются частоты поставок, их
скорости и стабильности; процедур срочных поставок; принятие малых заказов;
хранения; координации ассортимента и т.д. Плохая деятельность в этих областях
может привести к потере потребителей.
Система сбыта
товаров - ключевое звено маркетинга и своего рода финишный комплекс во всей
деятельности фирмы по созданию, производству и доведению товара до потребителя.
Собственно, именно здесь потребитель либо признаёт, либо не признаёт все усилия
фирмы полезными и нужными для себя и соответственно покупает или не покупает её
продукцию или услуги.
В понятие сбыт
следует включать такой ряд функций: транспортировку, складирование, хранение,
доработку, продвижение оптовым и розничным торговым звеньям, предпродажную
подготовку и собственно продажу товара. Основными элементами системы сбыта в
условиях рыночной экономики следует считать: канал сбыта, оптовик, розничный
торговец, брокер, комиссионер, оптовый агент, консигнатор, торговый агент,
дилер. Разнообразие участников системы сбыта объясняется следующим. Владелец
фирмы стремится сократить сбытовые издержки, но необходимо, чтобы
обеспечивалось удобство потребителя. Всё разнообразие и значительная
численность всякого рода торговых посредников как раз и отражают, с одной
стороны, специфику товара, рынка, самой фирмы, а с другой - требования создания
максимума комфорта тому, кто покупает.
Под торговлей
понимается всё множество каналов сбыта. Условно структуру торговли
потребительскими товарами можно разделить на две подсистемы: собственно
торговую и обеспечивающую. Первая представлена оптовой и розничной сетью,
вторая инфраструктурой, обеспечивающей товародвижение.
11.3.
Физическое распределение (товародвижение)
Товародвижение
– деятельность по планированию, по претворению в жизнь и контролю за физическим
перемещением материалов и готовых изделий от мест их происхождения к местам
использования с целью удовлетворения нужд потребителей и выгодой для себя.
Как
показывает опыт судостроения, возведения промышленных объектов и производства
ЭВМ, привлекательность предложения часто менее зависит от выгодности цен и
качества, которые подразумеваются сами собой, чем от скорости доставки товара.
Предпочтение, оказываемое потребителями фактору готовности к поставке,
обоснованно, если учесть что остановка производства может стоить очень дорого.
Сокращение
времени доставки ведет, как правило, к сверхпропорциональному росту затрат,
который вытекает из необходимости строительства дополнительных промежуточных
складов, из расширения хранилищ, из применения более быстрых средств транспорта
и ускорения обработки заказов. Исследования показали, что выполнение 95%
заказов в течение 24 часов может привести к удвоению дистрибуционных затрат по
сравнению со случаем, когда 90% выполняется в течение 48 часов. Доля этих затрат
достигает в ФРГ 20% в общем объеме сбыта, в США из-за больших расстояний она
превышает 30%.
Затраты,
возникающие по причине изменения времени поставки, могут быть более или менее
рассчитаны. Гораздо труднее определить связь между временем поставки и верностью
клиентов. В некоторых отраслях конкуренция настолько сильна, что даже ничтожное
превышение обычного времени поставки ведет к серьезным потерям в сбыте.
Предприятие стремится к тому, чтобы ни в коем случае не преступить эту
"критическую границу".
Часто
необходимость высокой готовности к поставке определяется высшими
общеэкономическими целями. Примером может служить рассматриваемая постоянная
неограниченная готовность к поставке предприятий коммунального и
энергетического хозяйства (электро- и теплостанции, водопроводы), транспорта,
также определяемые государством товарные запасы нефтяных компаний или
обязательные запасы, которые введены в некоторых странах для важнейших
продуктов питания.
Часто с
помощью организационных мероприятий (телефонная передача заказов, принятие
заказа с помощью машиночитаемых документов, заказы через компьютер,
автоматическая подготовка пересылочных документов) удается добиться
существенной экономии времени. Желания клиентов быстрее получить продукт можно
учесть с помощью создания программы быстрого сервиса, которая гарантирует
быструю поставку. Улучшение готовности предприятия к поставке ведет к тому, что
торговля может ускорить оборачиваемость своих товарных запасов, т.к. она может
поддерживать запасы на более низком уровне.
Мероприятия
подобного рода ведут, как правило, лишь к небольшому росту производительности.
Рано или поздно возникает проблема проверки дистрибуционной системы в целом. В
частности речь идет о следующих вопросах:
- к какому
времени поставки следует стремиться с учетом затрат и доходов;
- сколько
необходимо пунктов поставки, какой они должны быть величины и в каких местах
расположены;
- какие
транспортные средства наиболее выгодны и как их лучше использовать;
- следует ли
привлекать для выполнения задач распределения сторонние организации (например
экспедиторов);
- какой
должна быть упаковка товара с учетом требований распределения.
Структура
систем распределения предприятия определяется временем поставки и затратами.
Одновременная оптимизация обеих компонент невозможна. Усилия направляются чаще
всего на достижение минимума затрат при заданном времени поставки. Как время
поставки, так и затраты зависят при большом районе сбыта от числа промежуточных
складов. В то время как поставка с ростом числа складов ускоряется, затраты с
начала снижаются, затем начинают возрастать (рис 11.1.)[8].

Кривая общих
затрат результируется из двух противоположных тенденций. С одной стороны, с
ростом числа региональных складов сокращаются транспортные услуги и
транспортные расходы. С другой стороны, растут затраты на хранение и
производственные складские затраты, так называемые системные затраты.
Оптимизация числа складов может быть проведена лишь одновременно с определением
их местоположения и мощности. Теоретически эта проблема вполне решаема, однако
на практике ее решение требует больших затрат времени. Поэтому чаще всего
удовлетворяются приблизительными решениями, которые, как доказано, вполне могут
быть эффективными.
Быстрая
поставка товара обеспечена в том случае, если предприниматель поддерживает
достаточные товарные запасы. Его готовность к этому зависит от затрат на
хранение товара, которые включают проценты за связанный капитал, затраты на
помещение, на манипуляции с товаром и амортизацию.
При
установлении желаемого уровня готовности к поставке решающую роль играет то,
как высоко оценивает предприниматель потери из-за нарушения обязательств по
поставкам, т.е. если поставки не выполнены вообще или не выполнены к
положенному сроку.
К этому
добавляются еще затраты на заказ, не зависящие от его объема. Проблема состоит
в нахождении удовлетворяющего равновесия этих видов затрат.
Связанные с
этим проблемы планирования, а именно расчет потребности, объема заказа, срока
заказа для многих тысяч наименований товаров с учетом времени их поставки,
страховых резервов, поступления и убытия – можно решить с помощью ЭВМ.
При выборе
транспортных средств руководствуются затратами и скоростью транспортирования, а
также соответствием транспорта требованиям продукта (например, необходимость
охлаждения). Изолированное рассмотрение транспортных затрат может привести к
ошибочным решениям, т.к. могут возникнуть компенсационные эффекты, существенно
изменяющие последовательность альтернатив. Например, если использование
воздушного транспорта позволяет резко сократить складские запасы или сэкономить
затраты на упаковку и страхование, то возможно решение в пользу этого
транспорта взамен более выгодного железнодорожного и морского. Кроме того,
постоянные затраты различны для разных видов транспорта и зависимость затрат на
транспорт от объемов поставки тоже различна.
На выбор
транспортного средства влияет сумма затрат на транспортировку, хранение,
упаковку и управление распределением. К этому могут добавиться потери от
невыполнения договоров.
По аналогии
готовности к поставке в промышленности в торговле ставится специфическая
проблема готовности к обслуживанию. Она определяется с помощью соответствующего
потребностям сочетания факторов: человек, торговые площади, оборудование и
время работы. С помощью сознательной вариации этих факторов можно учесть
индивидуальные желания определенных слоев потребителей.
Для повышения
готовности к обслуживанию могут быть проведены следующие мероприятия:
- усиление
персонала;
- привлечение
работников на неполный рабочий день;
-
строительство и съем дополнительных торговых помещений;
- расширение
складов;
- увеличение
или смещение (если возможно) времени работы.
11.4.
Выбор мест деятельности
Рассмотрим
критерии выбора мест деятельности, т.к. оно играет важную роль для организации
распределения продукции. Расположение предприятий определяется, в первую
очередь, техническими требованиями и условиями, например, наличием и
возможностями доставки сырья, источниками энергии, традициями, которые влияют
на подготовку и квалификацию рабочей силы и т.д. Кроме того, почти всегда
учитываются предоставленные правительством или местными властями субсидии и
налоговые льготы, через которые государственные органы пытаются уменьшить
недостатки отдельных территорий и повысить их привлекательность в качестве
места деятельности предприятий. Если производство требует значительных затрат
труда, то большую роль играет различие тарифных договоров, заключенных в разных
регионах. Некоторые предприятия ряда стран, например, по производству одежды и
обуви, вывели свое производство за границу, несмотря на то, что они вынуждены
теперь платить пошлины и нести транспортные затраты.
Определенный
эффект для маркетинга связан с тем, что в силу существующих традиций многие
регионы имеют преимущества в глазах потребителей.
Особое
значение для сбыта имеет расположение тех предприятий, которые направляют свой
продукт непосредственно массовому потребителю (розничная торговля, гостиницы,
кредитные предприятия, банки, туристические бюро). Эти предприятия должны
придерживаться существующего потребительского потока, если им не под силу, как,
например, крупным потребительским рынкам, создать новый торговый ареал.
Важнейшим
индикатором качества месторасположения предприятия служит покупательная
способность района, находящегося в сфере влияния. Величина района зависит от
характера товара, привлекательности ассортимента, положения конкурентов и
других предприятий. Частота покупок продовольствия, особенно свежих товаров,
весьма высока. Поэтому покупатели согласны совершить лишь небольшой путь.
Напротив, электротовары, мебель покупаются не часто, и покупатель готов
преодолеть сравнительно большое расстояние. Применение инструментов маркетинга
также позволяет достичь некоторого расширения зон влияния.
Американский
ученый Рэйли попытался определить с помощью своего закона (Law of Gravitaton)
размеры сферы влияния определенных регионов (с точки зрения высокоценных
товаров). Основная идея этого закона состоит в том, что с ростом города число
посторонних покупателей возрастает. В качестве индикатора силы притяжения
рассматривается при этом оборот местной торговли, который принимается как
пропорциональный количеству населения. Если два региона (города и т.д.)
соперничают за клиентов, живущих между ними, то нас интересует, сколько
покупательной силы привлекается в одно и сколько в другое направление. Для
каждого места, расположенного между а и b, можно оценить распределение
торгового оборота следующим образом [8]:
Ua=Ba
* Db n
Ub Bb
Da ,
где а,b –
города; U – оборот розничной торговли; B – численность населения; D –
расстояние до городов а,b; n – эмпирически вычисляемый параметр, который Рейли
на базе 225 тестов оценил примерно, равным 2.
Закон Рейли
объясняет распределение уходящей за пределы населенного пункта покупательной силы.
В каком размере происходит этот отток, определяют с помощью закона Конверсе
[8].
Если g – это
населенный пункт, о котором идет речь, то потенциальный торговый оборот
распределяется между а и g следующим образом:
Ua=Ba
* 2.5 2
Ug Bg
Da .
Расстояние
между интересующими пунктами измеряется в километрах. Величина 2.5 –
эмпирически определяет фактор покупательной мобильности. При выборе места
деятельности необходимо обязательно учитывать ожидания потребителей и
возможность их удовлетворения.
На практике
методы выбора альтернативных мест расположения основаны на каталогах важнейших
характеристик. Общая оценка альтернативы определяется как сумма оценок частных
характеристик или сумма мест, которая данная альтернатива имеет по различным
признакам. Пример такого метода приведен в табл. 11.1.
Таблица. 11.1
| Признак |
Оценка |
| Норма |
Вес признака |
Место |
| А |
В |
С |
| 1.Относительная покупательная сила |
200 СЕ* на жителя |
120 |
120 |
80 |
90 |
| 2.Количество потребителей в зоне влияния |
8000 |
110 |
70 |
90 |
110 |
| 3.Поток прохожих в час |
500 |
130 |
100 |
130 |
70 |
| 4.Торговые площади |
min 800 кв.м. |
100 |
70 |
80 |
100 |
| 5.Площади витрин |
min 40 кв.м. |
60 |
60 |
60 |
4 |
| 6.Наличие стоянок |
min 10 мест |
60 |
30 |
50 |
60 |
| 7.Возможности поставки |
|
50 |
20 |
20 |
50 |
| 8.Общественный транспорт |
В трех мин. Ходьбы |
30 |
30 |
20 |
10 |
| … |
… |
… |
… |
… |
… |
| Сумма для сравнения |
|
|
2430 |
2270 |
2140 |
*СЕ –
стоимостная единица.
11.5.Оптовая торговля
Оптовая
торговля - любая деятельность по продаже товара или услуг тем, кто приобретает
их с целью перепродажи или профессионального использования. Оптовик - фирма,
приобретающая значительные количества товара у различных производителей и
организующее их движение в розничную торговлю, либо непосредственный сбыт
потребителю. Оптовые торговцы отличаются от розничных. Во-первых, оптовик
уделяет меньше внимания стимулированию, атмосфере и расположению своего
торгового предприятия, т.к. он имеет дело преимущественно с профессиональными
клиентами, а не с конечными потребителями. Во-вторых, по объёму оптовые сделки
крупнее розничных, а зона торговли оптовика обычно больше, чем у торговца
розничного. В-третьих, в отношении права и налогов правительство подходит к
оптовым и розничным торговцам с разных позиций.
Фирмам -
производителям выгодно пользоваться услугами оптовиков, потому что даже обладая
достаточным капиталом, им предпочтительнее направить средства на развитие
производства, а не на организацию оптовой торговли. А в свою очередь оптовым
торговцам выгодно поддерживать хорошие отношения со всеми фирмами хотя бы на
том основании, что это обеспечивает им важнейшее оружие эффективности опта -
широкий ассортимент, широкий выбор товара. Коренное отличие оптовика от
сбытовой службы фирмы состоит в том, что он получает доход и прибыль от продажи
товаров любой фирмы, а не только своей. Но ведь вкусы и предпочтения
потребителей различны. Соответственно, чем больший выбор товаров будет у
оптовика, тем выше его доходы и прибыль. Конечно, проблемы маркетинга стоят и
перед ним: это и решение о целевом рынке, о ценах, о методах стимулирования, о месте
размещения предприятия. Но оптовики существенно в большей мере связаны с
подбором ассортимента. На оптовиков оказывают сильное давление, чтобы они
предлагали полный ассортимент и поддерживали достаточные запасы товаров для
немедленной поставки. Но это может отрицательно сказаться на прибылях. Сегодня
оптовики отбирают только наиболее выгодные для себя товарные группы.
Предотвращая “внутреннюю” конкуренцию, оптовики предпочитают, с одной стороны,
отказываться от товарной рекламы, а с другой - сохраняют традиционную сеть
коммивояжеров, поддерживающих личные контакты с клиентурой фирмы.
Практически
все оптовые сделки используют кредит. Например, фирма А имеет такой же хороший
товар, как и фирма Б. У обоих хорошая репутация, высокая готовность к сервису
товара, одинаково хорошо налаженные сбытовые связи. Кому отдаст предпочтение
оптовый торговец, когда все шансы равны? Конечно же той фирме, которая
предложит ему более приемлемую цену за аналогичный товар. Ну, а если и здесь
всё одинаково, то тогда кто даст покупателю лучшие условия кредита, тот и
победит. Обратная ситуация, конечно, также не редкость в деловой практике.
Кредитной поддержкой со стороны крупных торговых фирм нередко пользуются
начинающие, но перспективные промышленные фирмы.
В настоящее
время широко в практике используются оптовые торговые филиалы. Одной из первых
такой филиал был открыт знаменитой фирмой “Зингер”. В США более 40% оборота
приходится на такого рода филиалы. Сбытовые конторы фирм-продуцентов, опираясь
на соответствующие базы и склады, захватили почти половину опта в таком
огромном хозяйстве [12]. Конечно не последнюю роль в этом сыграла практика
поглощения промышленностью оптовых предприятий. В разных отраслях роль
фирменного опта различна. Здесь играют роль и характер товара, и особенности
рынка, и даже просто традиции. Вместе с тем выяснился и тот интересный факт,
что конкуренция фирменного и независимого опта не столь остра. Идёт
своеобразное разделение сфер влияния. Почти в трети случаев оптовые филиалы
фирм выступают в роли поставщиков независимых оптовых звеньев, а те поставляют
товар в розницу. Дело в том, что, как отмечалось, поставке в розничную торговлю
сопутствует существенная доработка товара, а оптовики промышленных фирм этого
не делают. Цель любого бизнеса - создать потребителя. Одним из крупных
нововведений в рыночной стратегии, направленной на создание новых и новых
потребителей, является “ франчайз”.
Начало
контрактам типа “франчайз” было положено в 30-х годах фирмами - производителями
автомобилей, бензина и безалкогольных напитков, которые привлекли к
сотрудничеству мелких независимых торговцев, предоставив им право реализации
своих товаров. В послевоенный период эта модель стала применяться в других
видах торговли и охватывает сейчас практически все виды услуг производству и
населению. Под “франчайзом” понимается некое соглашение о представительстве
торговых интересов промышленной фирмы её дилером (оператором). Суть его такова:
за определённую единовременную плату и обязательство дальнейших ежемесячных
отчислений в пользу продуцента дилер получает право исключительной продажи
товаров и услуг продуцента, использования его товарного знака, помощь в
оборудовании и эксплуатации торговой точки, помощь фирмы во всех
расчётно-кредитных и финансовых операциях и возможность фирменного обучения.
Контроль фирмы за работой дилера весьма жёсткий. В составе фирмы в большинстве
случаев действуют как её собственные предприятия, так и предприятия,
принадлежащие операторам. Организационная структура такого рода не
унифицирована: собственные и привлечённые предприятия могут комбинироваться в
самых разных пропорциях, количество предприятий может варьироваться от 2 - 3-х
до сотен и тысяч. В крупных объединениях развита практика субконтрактов:
оператор, получивший право на использование фирменного знака на той или иной
территории, создаёт собственную сеть контрагентов. Главная причина успеха
системы “франчайз” заключается в её взаимной выгодности для партнеров. Со
стороны фирмы: во-первых, он весь построен на средствах дилеров, т.е. риск минимален
и отвлечение капитала также; во-вторых, он гибок, и число “точек” может быть
изменено или переориентировано очень быстро; в-третьих, он легко поддаётся
контролю; в-четвёртых, дилер на столько зависим от фирмы - патрона, что
управление не сталкивается с серьезными конфликтами; и наконец, здесь может
быть практически полностью проведена ценовая политика фирмы (если её примет
покупатель). Со стороны оператора: возможность начать свой бизнес, преодоление
трудностей в области управления и т.д..
Существуют также
холдинговые компании, которые занимаются помимо функций контроля и управления,
предпринимательской деятельностью (промышленной, торговой, транспортной,
кредитно-финансовой и т.п.). Это так называемый смешанный холдинг.
Классификация
оптовых торговцев приведена в табл.11.2.
Таблица 11.2
| Оптовики-купцы |
Брокеры и агенты |
Оптовые отделения и конторы производителей |
Разные специализированные оптовики |
| Оптовики с полным циклом обслуживания |
Брокеры
Агенты
|
Сбытовые отделения и конторы |
Оптовики-скупщики сельхозпродуктов |
| Торговцы оптом |
|
Закупочные конторы |
Оптовые нефтебазы |
| Дистрибьюторы товаров промышленного назначения |
|
|
Оптовики-аукционисты |
| Оптовики с ограниченным циклом обслуживания |
|
|
|
| Оптовики, торгующие за наличный расчет без доставки
товара |
|
|
|
| Оптовики-коммивояжеры |
|
|
|
| Оптовики-организаторы |
|
|
|
| Оптовики-консигнанты |
|
|
|
| Сельскохозяйственные производственные кооперативы |
|
|
|
| Оптовики-посылторговцы |
|
|
|
11.6.
Розничная торговля
Любой товар
должен с минимальными издержками и как можно быстрее дойти до потребителя,
наиболее полно удовлетворить потребности клиента- потребителя, обернуться в
деньги, обеспечить прибыль предприятию, как залог его будущего процветания. Для
того, чтобы слаженно действовал весь механизм товародвижения и извлечения
максимальной прибыли на всех уровнях, необходимо, чтобы товар нашёл своего
покупателя. И задача розничного торговца подыскать покупателя товару и сделать
товар привлекательным в глазах будущего “хозяина”: либо подходящей ценой, либо
своевременностью появления, либо незаменимыми услугами по его выбору и
эксплуатации, льготами, гарантиями и массой других ухищрений. В общем, всем
тем, что на время позволяет нам забыть о том, что фирма -торговец преследует и
свои меркантильные интересы, но дает нам почувствовать себя “хозяином
положения” и внушает нам уверенность, что именно этот товар подходит именно нам
во всех отношениях. Последнее слово за покупателем. Это должна помнить любая
торговая фирма, если хочет добиться успеха на своем поприще[8].
Розничный
торговец принимает решение о выборе целевого рынка, о товарном ассортименте и
комплексе услуг, о политике цен, стимулировании сбыта и месте размещения
предприятия.
Самое важное
решение, которое предстоит принять розничному торговцу, - это выбор
целевого рынка. Не выбрав целевого рынка и не составив его профиля, не возможно
принимать последовательные, согласующиеся между собой решения относительно
товарного ассортимента, оформления магазинов, рекламных обращений и средств
рекламы, уровней цен и т.п.. Руководству магазина нужно четко сформулировать
образ магазина, ответив на вопросы:
- каков
должен быть интерьер;
- насколько
легко делать покупки;
- насколько
высокого качества товары;
- насколько
широк выбор товаров;
- цены;
- продавцы
приветливы, услужливы;
- насколько
удобно расположение магазина по сравнению с другими.
Составить
себе идеальную модель и стремиться к ней. При обслуживании разных социальных
групп нужно выбрать основного целевого клиента и ориентироваться на него.
Розничным
торговцам предстоит принять решение о трех основных “товарных” переменных:
товарном ассортименте, комплексе услуг и атмосфере магазина. Первым параметром
классификации розничных заведений является предлагаемый ими товарный ассортимент.
В более широком смысле говорят о широте и насыщенности ассортимента, выделяя по
этим признакам основные типы магазинов. Наиболее важными являются
специализированные магазины; универмаги; универсамы; магазины товаров
повседневного спроса и универсамы широкого профиля; торговые комплексы и
розничные предприятия услуг.
В любом
случае ассортимент розничного торговца должен отвечать покупательским ожиданиям
целевого рынка, т.к. именно товарный ассортимент является решающим фактором в
конкурентной борьбе. Необходимо также решить вопрос о комплексе услуг, которые
продавец готов предложить клиентам: прием заказов по телефону, отправка заказов
по почте, продление часов работы, принятие товаров на комиссию, демонстрация
товаров, оформление экспозиций, проведение рекламы, льготы и скидки, гарантии.
Послепродажные
услуги: доставка, упаковка покупок, подгонка товара, лояльное отношение к
возврату, переделка товаров, доставка наложным платежом и т.д..
Дополнительные
услуги: справочная служба, кредит, кафе, ремонт, комнаты отдыха, оформление
интерьеров и т.д.. Нужно помнить, что комплекс услуг является одним из решающих
орудий не ценовой конкуренции для выделения магазина из числа остальных.
Атмосферу
магазина могут создать творческие работники, знающие, как совместить
зрительные, слуховые, обонятельные и осязательные раздражители для достижения
желаемого эффекта.
Третий
вопрос, который нужно решить руководству, - это вопрос о ценах. Цены,
запрашиваемые розничным торговцем, - ключевой фактор конкуренции и одновременно
отражение качества товаров. Нужно всегда помнить об этом. Проиллюстрировать
мысль о снижении цен можно следующим образом: “Людям не нужен дешевый товар, им
нужен товар подешевле”.
Для полного
охвата потребителей розничные торговцы пользуются обычными орудиями
стимулирования: рекламой, мероприятиями по стимулированию сбыта, пропагандой и
методом личной продажи по принципу “в каждую дверь”.
Классификация
розничных торговцев по показателям объема услуг для потребителей приведена в
табл.11.3.
Таблица 11.3
|
|
СОКРАЩЕНИЕ
ЧИСЛА УСЛУГ
|
|
|
РОСТ ЧИСЛА УСЛУГ |
|
|
|
|
|
|
|
|
|
|
Самообслуживание |
Свободный
отбор товаров
|
Ограниченное
обслуживание
|
Полное обслуживание |
|
|
|
|
|
|
|
|
|

|
Минимальное число оказываемых услуг
Привлекательность цен
Торговля основными товарами постоянного спроса
торговля товарами повседневного спроса
|
Ограниченное число оказываемых услуг
Привлекательность цен
Торговля основными товарами постоянного спроса
Торговля товарами повседневного спроса
|
Небольшое разнообразие услуг
Торговля товарами предварительного выбора
|
Широкое разнообразие услуг
Торговля модными товарами
Торговля товарами особого спроса
|
|
|

|
Розничные магазины-склады
Бакалейно-гастрономические магазины
Магазины сниженных цен
Предприятия
посылторга
Торговые автоматы
|
Магазины сниженных цен
Галантерейные магазины
Предприятия
посылторга
|
Торговля вразнос
Универмаги
Продажа по телефону
Галантерейные магазины
|
Специализированные магазины
Универмаги
|
|
11.7.Краткие выводы по разделу 11
1.
Выбор каналов
распределения- одно из самых сложных и ответственных решений. Каждый канал
характеризуется уровнем сбыта и издержек, и фирме необходимо разработать
несколько вариантов достижения рынка.
2.
Формирование
канала распределения требует изучения типа и числа посредников, их отбора,
оценки деятельности.
3.
Товародвижение –
это сфера потенциально высокой экономии издержек и обеспечения более полной
удовлетворенности клиентов за счет оптимизации расходов по транспортировке,
складированию, поддержанию товарно-материальных запасов, обработке заказов,
упаковке, административных расходов, получения и отгрузки товаров.
4.
Оптовая торговля
– это деятельность по продаже товаров тем, кто их приобретает с целью
перепродажи или профессионального использования.
5.
Розничная
торговля – это деятельность по продаже товаров или услуг непосредственно
конечным потребителям для их личного некоммерческого использования.
12. ПРОДВИЖЕНИЕ ТОВАРОВ. СТРАТЕГИЯ
КОММУНИКАЦИЙ И СТИМУЛИРОВАНИЯ
12.1. Комплекс маркетинговых
коммуникаций (комплекс стимулирования)
Современный
маркетинг требует осуществления коммуникаций со своими заказчиками. Для этого
фирмы нанимают рекламные агентства для создания эффективных объявлений,
специалистов по стимулированию сбыта, для разработки поощрительных программ,
специалистов по организации общественного мнения для формирования образа
организации.
Маркетинговые
коммуникации - это реклама, стимулирование сбыта, пропаганда, личная продажа,
паблик- рилейшнз ( public Relations).
Реклама -
любая платная форма неличного представления и продвижения товаров от имени
известного спонсора с указанием источника финансирования.
Стимулирование
сбыта - кратковременные побудительные меры поощрения покупок или продаж товара
(или услуги).
Пропаганда -
неличное и неоплаченное стимулирование спроса на товары посредством
распространения о них коммерчески важных сведений в печатных средствах
информации или благожелательного представления по радио, телевидению, со сцены.
Личная
продажа - устное представление товара в ходе беседы с одним или несколькими
покупателями с целью совершения продажи.
Паблик –
рилейшнз формирование благоприятного образа (имиджа) фирмы.
12.2. Этапы разработки эффективной
коммуникации
Деятелю рынка
необходимо разбираться в том, как действует коммуникация. На рис. 13.1
представлена модель элементов процесса коммуникаций.

Рис.13.1.
Модель элементов процесса коммуникаций
Основными
участниками коммуникаций являются отправитель товара и получатель. Основными
орудиями коммуникаций являются обращение и распространение информации.
Отправитель - сторона,
посылающая обращение другой стороне.
Кодирование - процесс представления мысли в символической форме.
Обращение - набор
символов, передаваемых отправителем.
Средства распространения
информации - каналы коммуникаций, по которым обращение передается от
отправителя к получателю.
Расшифровка - придание
символам соответствующего значения.
Ответная реакция - набор откликов получателя,
возникших в результате контакта с обращением.
Помехи -
незапланированное вмешательство среды или искажения, в результате чего к
получателю поступает обращение, отличное от того, что посылал отправитель.
Отправители
должны знать, каких аудиторий они хотят достичь, и какие ответные реакции
рассчитывают получить, поэтому они должны создавать каналы обратной связи.
Коммуникатор
сферы маркетинга должен выявить целевую аудиторию, которая может находиться в
любом из шести состояний покупательской готовности:
-
осведомленности;
- знания;
-
благорасположения;
-
предпочтения (его надо формировать);
-
убежденности;
-
(готовности) совершения покупки.
Выбор
обращения: в идеале оно должно привлечь внимание, удержать интерес, возбудить
желание и побудить к совершению действия (покупки).
Создание
обращения предполагает решение трех проблем:
- что
сказать?
- как
сказать?
- как
выразить содержание в виде символов (форма обращения)?
Для
составления содержания обращения существуют три типа мотивов:
-
рациональные мотивы (согласуются с личной выгодой аудитории),
-
эмоциональные мотивы, которые стремятся побудить какое-либо негативное или
позитивное чувство, которое послужит основанием покупки (мотивы страха, вины, стыда,
заставляющие приобрести вещь или прекратить нежелательные дела),
-
нравственные мотивы. Они взывают к чувству справедливости и порядочности
аудитории (оздоровление окружающей среды, помощь малообеспеченным...).
Коммуникатору
необходимо принять три решения по структуре обращения:
- сделать ли
четкий вывод или предложить это аудитории?
- изложить ли
только аргументацию за товар или представить доводы обеих сторон (обычно
сильнее действует односторонняя аргументация)?.
Форма
обращения должна быть действенной. В печатной рекламе надо выделить заголовок,
привести иллюстрации и цветовое оформление (необычность расположения, и т.п.) .
Если обращение передается по радио, то тщательно подбираются формулировка,
голосовые данные (темп речи, тон, членораздельность) и средства речевой
выразительности: паузы, вздохи, завывания,.). Ведущий должен следить за
выражением лица, жестами, позой, а если носителем информации является сам
товар, то надо обратить внимание на фактуру товара, аромат, цвет, размеры и
форму.
Коммуникационные
каналы бывают двух видов:
- каналы
личной коммуникации;
- каналы
неличной коммуникации.
Каналы личной
коммуникации предполагают участие двух и более лиц по телефону, лицом к лицу,
общение с аудиторией посредством переписки. Они эффективны, так как имеется
обратная связь.
Эти каналы
подразделяются на:
-
разъяснительно-пропагандистские;
-
экспертно-оценочные;
-
общественно-бытовые.
В
разъяснительно-пропагандистском канале участвуют представители торгового персонала фирмы.
В
экспертно-оценочном -
независимые лица, обладающие необходимыми знаниями, делают заявления перед
целевыми покупателями.
Главными
действующими лицами общественно-бытового канала являются соседи, друзья,
коллеги, члены семьи, беседующие с целевыми покупателями (этот канал известен
как канал молвы).
Фирма может
предпринять ряд шагов для стимулирования работы каналов личного влияния:
- выявить
влиятельных лиц, организаций и сосредоточить дополнительные усилия на их
обработке;
- создать
лидеров мнения;
-
целенаправленно поработать с местными влиятельными фигурами (дискжокеями,
руководителями учебных заведений и т.п.);
-
использовать влиятельных лиц в рекомендательско - свидетельской рекламе;
- создать
рекламу, обладающую большой ценностью в качестве “темы для разговоров”.
К каналам
неличной коммуникации относятся средства распространения информации, передающие
обращение в условиях отсутствия личного контакта и обратной связи. К ним
относятся средства массового и избирательного воздействия. Это:
- средства
печатной рекламы;
- иллюстративно-изобразительные
средства рекламы (щиты, вывески, плакаты).
Воздействие
на аудиторию зависит от того, как эта аудитория воспринимает отправителя. Более
убедительными являются те обращения, которые передаются источниками,
заслуживающими доверия. Основными факторами, делающими источник заслуживающим
доверия являются:
-
профессионализм;
-
добросовестность;
-
привлекательность.
Учет потока
обратной связи осуществляется методами выявления эффекта, произведенного на
целевую аудиторию - через опросы целевой аудитории. Например, сколько людей
приобрели товар, скольким он понравился и т.п.
12.3. Разработка комплексного бюджета
стимулирования и отбора элементов комплекса стимулирования
Существует 4
наиболее распространенных метода, используемых при разработке смет расходов на
любой вид деятельности из состава комплекса стимулирования, например, на
рекламу:
1) Метод
исчисления “от наличных средств”, то есть столько, сколько позволяет бюджет
предприятия (со слов главного бухгалтера).
2) Метод
исчисления “в процентах к сумме продаж” или к продажной цене товара (например,
2 % от суммы продаж).
3) Метод
конкурентного паритета, когда фирма устанавливает уровень своего бюджета на
уровне бюджета своих конкурентов.
4) Метод
исчисления “исходя из целей и задач”. Этот метод требует, чтобы бюджеты на
стимулирование формировались на основе: выработки конкретных целей; определения
задач, которые предстоит решить для достижения этих целей; оценки затрат на
решение этих задач.
Сумма всех
этих издержек и даст ориентировочную цифру бюджетных ассигнований на
стимулирование.
Достоинство
этого метода в том, что он построен на взаимосвязи между суммой затрат, уровнем
рекламных контактов, интенсивностью опробования и регулярностью использования
товара.
На выбор тех
или иных средств (элементов) комплекса стимулирования оказывает влияние
множество факторов:
1. Природа
средств стимулирования:
а) реклама носит
общественный характер, то есть предполагает, что товар является законным и
общепринятым;
б) способность к
увещеванию (многократность повторения);
в) экспрессивность -
броскость, (хотя именно она и может отвлечь
от сути);
г) обезличенность , то
есть реклама способна только на монолог, но не на диалог с аудиторией.
2. Личная
продажа обладает тремя характеристиками:
·
личностный
характер, то есть живое общение;
·
становление
отношений от формальных до дружбы;
·
побуждение к
ответной реакции.
Личная
продажа - самое дорогое средство из средств воздействия.
3. Стимулирование
сбыта - деятельность, в ходе которой используют целевой набор средств
воздействия - купоны, конкурсы, премии ...
Эти средства
обладают тремя характерными качествами:
·
привлекательность
и информативность;
·
побуждение к
совершению покупок;
·
приглашение к
совершению покупок.
К средствам
стимулирования сбыта фирма прибегает для достижения более сильной и оперативной
реакции покупателя (события носят кратковременный характер).
4. Пропаганда
(“Паблисити”/Publicity) построена на:
- достоверности;
- широком охвате
покупателей;
- броскости.
5. Паблик
рилейшнз нацелено на поддержание репутации надежности обязательству всех
участников деятельности фирмы.
12.4. Факторы, определяющие структуру
комплекса стимулирования
Эффективность
факторов на рынках потребительских и рынках промышленных товаров различна (рис
13.2). Существуют стратегии “проталкивания” товара и стратегия привлечения
потребителя к товару.
Стратегия
“проталкивания” - навязывание товара торговцам и покупателям.
Стратегия
привлечения покупателя - через рекламу и большие затраты на нее.
| Товары широкого потребления |
1. Реклама
2. Стимулирование сбыта
3. Личная продажа
4. Пропаганда
|
| Товары промышленного назначения |
1. Личная продажа
2. Стимулирование сбыта
3. Реклама
4. Пропаганда
|
Рис 13.2.
Относительная эффективность факторов
На этапе
жизненного цикла выведения на рынок главную роль играет реклама и пропаганда.
На этапе роста - также реклама и пропаганда. На этапе зрелости - значимость
стимулирования по сравнению с рекламой возрастает. На стадии упадка к рекламе
прибегают с целью напоминания, пропаганда сводится к нулю, но стимулирование
сбыта продолжает оставаться активным.
12.5.Краткие
выводы по разделу 12
1.
Стимулирование - это четвертый элемент комплекса маркетинга. Основные средства
стимулирования:
·
реклама;
·
стимулирование
сбыта;
·
пропаганда;
·
личная продажа;
·
паблик-рилейшнз;
2.
Эффективная модель коммуникаций включает девять составляющих коммуникационного
процесса. Отправитель, получатель, кодирование, расшифровка, обращение,
средства распространения информации, ответная реакция, обратная связь и помехи.
3. Фирма
должна определить бюджет стимулирования и распределить по основным средствам
стимулирования. Основными методами разработки бюджета стимулирования являются:
метод исчисления от "наличных средств", метод исчисления "в
процентах к сумме продаж", метод конкурентного паритета", метод
исчисления "исходя из целей и задач".
13. ФОРМЫ
КОММУНИКАЦИИ В МАРКЕТИНГЕ
13.1.Теоретические
основы науки о рекламе
Коммуникация
понимается не как прикладное искусство, а как прикладная наука о поведении. Эта
наука использует познания психологии, социологии и исследования рынка для
решения экономических проблем предприятия [8].
История
экономической рекламы хорошо документирована. Наука о рекламе прошла в ходе
своего развития ряд этапов, характеристикой которых могут служить наиболее
распространенные в то время концепции рекламы.
Концепция
рекламы в период первой мировой войны и некоторое время после основывалась
теоретически на учении о "массовой психологии". Считалось, что
человек "массы" легко поддается действию так называемой "барабанной
рекламы", то есть рекламы, основанной на назойливых повторениях и
попытках воздействия.
На
противоположных посылках базировался элементно-психологический подход.
Центральные постулаты так называемой психофизики утверждали, что психические
процессы можно разложить на мельчайшие элементы – чувства, ощущения, эмоции.
Кроме того, утверждалось, что между силой раздражителя и силой ощущения имеется
пропорциональная связь, которую можно рассчитать. Типичный вопрос того времени:
если 100 человек обратили внимание на объявление величиной в страницу, то
сколько обратит внимание на такое же полустраничное объявление? Предполагалось,
что путем изоляции влияния отдельных частей рекламы (величины, технического и
графического оформления, расположения) и последующего их сложения можно
синтезировать общее действие рекламы. Композиция из наиболее замечательных
элементов должна была вызвать желаемые ощущения.
Однако в
многочисленных экспериментах было доказано, что общее восприятие не является
простой суммой восприятия отдельных элементов. Только "целое", то
есть кроме прочего, конспект, опыт, мнения, мотивации, являются основой
восприятия. Предложение "Целое больше, чем сумма своих частей"
является классическим в этом смысле.
Объекты
восприятия, обладающие определенными свойствами, как например, симметрия,
простота построение или завершенность, вероятнее всего будут восприняты как
фигура, выделяющаяся из своего окружения. Четкие фигуры воспринимаются поэтому
быстрее и точнее, привлекают больше внимания и лучше запоминаются, чем аморфные
создания. Это правило относится в одинаковой мере как к рекламному плакату, так
и к упаковке продукта или внешнему виду магазина.
На основе
таких рассуждений было разработано множество методов, предназначенных для
проверки прочности рекламного образа. Они употребляются, в первую очередь, при
проверке товарных знаков и рекламных лозунгов и основаны на учете фактора
затрудненного восприятия, так как реклама в реальных условиях находится, как
правило, в негативном, конкурирующем окружении.
13.2.
Теоретические модели
1. Модели
обучения. Любая
рекламная компания нацелена на развитие процессов обучения. Наряду с
классической (павловской) и инструментальной теорией обучения для
объяснения действия рекламы привлекается теория обучения на модели.
Обучение на
модели, или имитационное обучение, вызывается, например, с помощью
телевизионного рекламного ролика. Восхищенные взгляды, которые получает
телевизионная домохозяйка от своего телевизионного мужа за белоснежную рубашку
или сияющий кафель, не проходят для зрительниц бесследно. Образцы поведения
могут быть переняты и опосредованы.
То, что для
рекламы все шире используются не "звезды", а
"люди-как-ты-и-я", с точки зрения имитационной теории обучения,
вполне оправданно.
Исследование
памяти – другая ветвь теории обучения – получила большое значение для рекламы.
2.
Мотивационные модели.
Мотивационная психология при объяснении причин поведения утверждает:
мотивирующая ситуация оказывает большое влияние на мотивированный объект. Это
объясняет связь между восприятием и запоминанием рекламы и мотивацией лица, на
которое направлена реклама. Существует несколько разновидностей мотивационных
моделей.
Гомеостатическая
теория мотивации исходит
из того, что индивидум пытается удовлетворить потребности для достижения
состояния покоя и равновесия. Отклонения от равновесия вызывают реакции,
направленные на восстановление начального состояния. В рамках гомеостатической
теории можно также выделить несколько концепций, например теорию инстинктов,
психоаналитический подход и теорию знания.
Психоаналитический
подход опирается
на теорию Фрейда. В современном исследовании маркетинга и поведения
потребителей этот подход применяется сравнительно редко. Его заслуга видится в
том, что он обращает внимание на неконтролируемые сознанием причины поведения
потребителей.
Теория
знания объясняет
возникновение мотивации из процессов познания. Здесь следует выделить теорию
когнитивного диссонанса. Диссонанс может возникнуть при получении информации о
продукции, при покупке продукта, в процессе пользования. Если величина
диссонанса переступает через определенную, зависящую от характера человека границу,
то потребитель может:
а) начать
поиск подтверждающей его понимание информации;
б) отвергнуть
вызывающую диссонанс информацию как не заслуживающую, на его взгляд, доверия;
в) изменить
свое поведение;
г) попытаться
избежать нежелательной информации и т.д.
Из теории
диссонанса следует, в частности, что реклама не должна будить слишком высоких
ожиданий, так как в этом случае вероятность диссонанса повышается. То, что
большинство покупателей испытывают диссонанс после покупки, подчеркивает
важность рекламы и на этой стадии. Только довольные клиенты становятся
приверженцами марки и пропагандируют ее среди знакомых. Диссонанс же, как
правило, вызывает недовольство.
Иерархия
потребностей,
которую предложил психолог Маслоу, основывается на принципе относительной
очередности актуализации мотивов различных уровней. До того, как более
иерархически высокий мотив начнет воздействовать на поведение, должны быть, по
крайней мере в известной степени, удовлетворены потребности, находящиеся на
более низких ступенях.
3.
Представление потребителей и реклама. Мнения и представления людей влияют на восприятие,
переработку информации, процессы обучения и запоминания, на поведение в
конечном счете. Хотя величина этого влияния не бесспорна, многие рекламные
компании нацелены как раз на то, чтобы вызвать изменение мнения членов целевой
группы. В области маркетинга чаще, чем в других областях, была доказана
гипотеза о связи между мнениями людей и их поведением при покупке.
13.3.
Реклама
В процессе
разработки программы рекламной деятельности руководству службой маркетинга
необходимо принять пять принципиально важных решений:
1. Постановка
задачи.
2. Решения о
разработке бюджета.
3. Решения о
рекламном обращении.
4. Решения о
средствах распространения информации.
5. Оценка
рекламной программы.
Первым шагом
в процессе разработки рекламной программы является постановка задач рекламы.
Эти задачи можно классифицировать в зависимости от того, предназначена ли
реклама для информирования, увещевания или напоминания.
Информативная
реклама преобладает
в основном на этапе выведения товара на рынок, когда стоит задача создания
первичного спроса.
Ее задачи:
- рассказ
рынку о новинке или о новых применениях существующего товара;
- информирование рынка об изменении цены;
- объяснение
принципов действия товара;
- описание
оказываемых услуг;
- рассеяние
опасений потребителя;
-
формирование образа фирмы.
Увещевательная
реклама приобретает
особую значимость на этапе роста, когда перед фирмой встает задача формирования
избирательного спроса. Часть увещевательных объявлений смещается к категории
сравнительной рекламы, которая стремится утвердить преимущество одной марки за
счет конкретного сравнения ее с одной или несколькими марками в рамках данного
товарного класса.
Ее задачи:
-
формирование предпочтения к марке;
- поощрение к
переключению на вашу марку;
- убеждение
потребителя совершить покупку не откладывая.
Напоминающая
реклама чрезвычайно
важна на этапе зрелости для того, чтобы заставить потребителя вспомнить о
товаре. Сродни ей подкрепляющая реклама, которая стремится уверить нынешних
покупателей в правильности сделанного выбора.
Ее цели:
- напоминание
потребителям о том, где можно купить товар;
- удержание
товара в памяти потребителей в периоды межсезонья;
- поддержание
осведомленности о товаре на высшем уровне.
После
определения задач рекламы фирма может приступать к разработке рекламного
бюджета на каждый отдельный товар.
В процессе
разработки бюджета следует учитывать ряд моментов:
- каковы
издержки различных альтернатив;
- сколько раз
нужно повторять рекламу, для того, чтобы она была эффективной;
- насколько
выросли цены средств информации в последние годы;
- какова
должна быть реакция фирмы в период спада;
- каким
участникам каналов сбыта следует поручить задание по продвижению;
- какова
стоимость создания рекламного объявления.
Поскольку
ориентированная на спрос реклама порождает сбыт, фирма должна очень осторожно
уменьшать соответствующий бюджет. Если цели не достигаются, ответом может быть
не сокращение бюджета, а более эффективная кампания.
После
определения бюджета руководство должно разработать общий творческий подход к
рекламе, ее творческую стратегию.
В процессе ее
создания можно выделить три этапа:
1.
Формирование идеи обращения.
2. Оценка и
выбор вариантов обращения.
3. Исполнение
обращения.
Следующая
задача рекламодателя - выбрать средства распространения для размещения своего
рекламного обращения. Процесс состоит из нескольких этапов:
а) принятие
решений о широте охвата, частоте появления и силе воздействия рекламы;
б) специалист
по средствам рекламы должен хорошо знать, какие показатели охвата, частоты и
силы воздействия обеспечивает каждое из этих средств (табл. 13.1).
Таблица 13.1
|
Средство
|
Преимущества
|
Ограничения
|
| Газета |
Гибкость, своевременность, хороший охват местного рынка, широкое
признание и принятие, высокая достоверность. |
Кратковременность существования, низкое качество воспроизведения;
незначительная аудитория "вторичных" читателей |
| Телевидение |
Сочетание изображения, звука и движения, чувственное воздействие,
высокая степень привлечения внимания, широта охвата |
Высокая абсолютная стоимость; перегруженность рекламой; мимолетность
рекламного контакта; меньшая избирательность аудитории. |
| "Директ-мейл" |
Избирательность аудитории; гибкость; отсутствие рекламы конкурентов в
отправлении; личностный характер. |
Относительно высокая стоимость; образ "макулатурности". |
| Радио |
Массовость использования, высокая географическая и демографическая
избирательность; низкая стоимость. |
Представлено только звуковыми средствами; степень привлечения
внимания ниже, чем у телевидения; мимолетность рекламного контакта. |
| Журналы |
Высокая географическая и демографическая избирательность;
достоверность и престижность; высокое качество воспроизведения, длительность
существования. |
Длительное время разрыва между покупкой места и появлением рекламы;
наличие бесполезного тиража |
| Наружная реклама |
Гибкость, высокая частота повторных контактов; невысокая стоимость;
слабая конкуренция. |
Отсутствие избирательности аудитории, ограничения творческого
характера |
13.4.
Стимулирование сбыта
Чтобы
справиться с задачами маркетинга, только классической рекламы часто оказывается
недостаточно. Поэтому привлекаются другие инструменты коммуникации. Один из таких
инструментов – стимулирование сбыта, (поддержка продажи или поддержка сбыта).
Поддержка
сбыта, направленная на потребителей, может принимать следующие формы:
- различные
конкурсы и игры;
-
представление скидок, например, по случаю вывода товара на рынок или скидка за
верность товару;
-
распределение бесплатных проб или талонов;
- ввод в
ассортимент нехарактерных товаров (книги в кофейном магазине) и продажа их по
себестоимости.
Такие
мероприятия нацелены на улучшение отношения цена – качество, воспринимаемого
покупателями, и стимулирование желания приобрести продукт. Точно так же, как и
при применении классической рекламы, возникает так называемый Pull – эффект,
вызванный быстрым сокращением торговых запасов. Мероприятия по поддержке
торговли помогают при выходе на рынок с новыми продуктами увеличить число
первых покупателей, покупателей для пробы, и тем самым ускорить распространение
товара. Поддержка сбыта, нацеленная на внешнюю службу и торговлю, нацелена на
возникновение Pull – эффекта. Это означает, что товар должен быть каким-либо
путем продан торговле, а дальнейшее движение товара лежит на ней.
Поддержка
сбыта, направленная на внешнюю службу, должна улучшать мотивацию и способности
ее работников. Типичные мероприятия при этом:
-
соревнования между работниками, премии, моральные поощрения, обучение,
информирование и тренирование;
-
предоставление информационных материалов – брошюр, фильмов и т.д.
Большинство
из названных выше мероприятий может использоваться и для работы с торговлей.
Можно добавить еще и следующие:
-
предоставление скидок для новых продуктов и при акциях торговли, связанных с
уменьшением цен;
-
использование в магазинах пропагандистов для демонстрации продукта и раздачи
проб;
-
предоставление дисплей – материала.
13.5.
Работа с общественностью
Если
предприятию удается создать о себе и о своей деятельности позитивное
представление у интересующих его групп общественности (включая собственных
работников), то это значительно облегчит достижение поставленных целей. Многие
проблемы, например привлечение молодых специалистов и других работников, а
также восприятие ими целей предприятия, решаются значительно проще, если фирма
имеет положительный имидж. Реклама таких предприятий воспринимается с большим
доверием.
Позитивное
мнение общественности о предприятии не возникает само собой. Поэтому
использование методов работы с общественностью в данном случае неизбежно. Часто
бывает так, что общественность знает только о негативных сторонах работы
предприятия (химические, фармацевтические предприятия). Главная задача всех
усилий в этой сфере заключается в установлении доверия и понимания. Работа с
общественностью отличается от рекламы продукта. Реклама фирмы также стремится к
созданию позитивной картины предприятия.
Реклама фирмы
опирается, в первую очередь, на средства массовой информации. В работе с
общественностью используются следующие инструменты:
- установление хороших контактов с прессой, радио и телевидением;
- проведение
пресс – конференций;
- выпуск
хорошо оформленных годовых отчетов;
- выпуск
юбилейных изданий;
- составление
социальных бланков и их публикация;
- проведение
экскурсий по предприятию и других подобных мероприятий для общественности
(например, день открытых дверей);
- строительство
спортивных сооружений;
- создание
обществ, союзов, клубов;
- поддержка
научных работ.
Особую форму
работы с общественностью представляет разъяснительно – пропагандистская
реклама. Эта форма возникла как реакция некоторых предпринимателей и экономических
кругов на растущее скептическое отношение широких слоев общественности к их
деятельности. Представители этих предприятий открыто выступают с защитой своего
мнения и критикуют доводы оппонентов. Наиболее часто затрагиваются проблемы
окружающей среды, снабжения энергией и др. Влияние подобных стратегий на
восприятие продукции предприятия исследовано слабо.
Имидж
предприятия – "конгломератов", работающих в различных отраслях, часто
страдает односторонностью. Некоторые крупные предприятия ошибочно отождествляются
с одной или несколькими марками. Другие предприятия ассоциируются с продукцией,
которую они выпускали ранее. У посторонних лиц часто вообще отсутствует
представление о том, чем же занимается предприятие. В некоторых случаях
искаженный имидж фирмы является следствием наличия множества продуктов и
названий, неоднородного дизайна товаров и фирмы, неподходящие друг к другу
цвета и эмблемы.
13.6.
Краткие выводы по разделу 13
1.
Орудиями
массового маркетинга является реклама, стимулирование сбыта, пропаганда.
Теоретические основы науки о рекламе базируются на подходах: "массовой
психологии", элементно-психологическом. Теоретические модели представлены:
моделями обучения, мотивационными моделями (гомеостатическая теория мотивации,
психоаналитический подход, теория знаний, иерархия потребностей).
2.
Реклама – любая
платная форма наличного представления и продвижения товаров от имени известного
спонсора с указанием источника финансирования. Процесс разработки рекламы
включает: постановку задачи, решение о разработке бюджета, решение о рекламном
обращении, решение о средствах распространения информации, оценку рекламной
программы.
3.
Другими
инструментами коммуникаций являются стимулирование сбыта (скидки, купоны,
конкурсы, кредит, гарантии) и работы с общественностью (установление контактов,
конференции, экскурсии т.п.).
14. СТРАТЕГИЯ МАРКЕТИНГА,
ПЛАНИРОВАНИЕ И КОНТРОЛЬ
14.1.
Понятие стратегии и тактики маркетинга
Стратегия
маркетинга -
формирование целей, достижение их и решение задач предприятия-производителя по
каждому отдельному товару, по каждому отдельному рынку на определенный период.
Стратегия формируется в целях осуществления производственно-коммерческой
деятельности в полном соответствии с рыночной ситуацией и возможностями
предприятия.
Стратегия
предприятия разрабатывается на основе исследований и прогнозирования
конъюнктуры товарного рынка, изучения покупателей, изучения товаров,
конкурентов и других элементов рыночного хозяйства. Наиболее распространенными
стратегиями маркетинга являются:
1.
Проникновение на рынок.
2. Развитие
рынка.
3. Разработка
товара.
4.
Диверсификация.
В зависимости
от маркетинговой стратегии формируются маркетинговые программы. Маркетинговые
программы могут быть ориентированы:
- на максимум
эффекта независимо от риска;
- на минимум
риска без ожидания большого эффекта;
- на
различные комбинации этих двух подходов.
Тактика маркетинга - формирование и решение задач
предприятия на каждом рынке и по каждому товару в конкретный период времени
(краткосрочный) на основе стратегии маркетинга и оценки текущей рыночной
ситуации при постоянной корректировке задач по мере изменения конъюнктурных и
других факторов: например, изменение индекса цен, обострение конкурентной
борьбы, сезонное падение спроса, уменьшение интересов покупателей к товару и
другое. Примерами постановки тактических задач могут быть следующие:
1. Провести
усиленную рекламную кампанию в связи с падением спроса.
2. Расширить
номенклатуру товара на основе уточненных данных о потребностях потребителей.
3. Расширить
ассортимент услуг, предоставляемых сервисными службами для привлечения новых
покупателей.
4. Увеличить
долю рынка в связи с сокращением объема продаж конкурентами.
5.
Конструктивно улучшить товар в соответствии с требованиями конкретного рынка.
6. Провести
мероприятия по стимулированию персонала.
14.2.
Стратегическое планирование маркетинга
Планирование
маркетинга в условиях рынка состоит из 2-х частей:
-
стратегическое планирование;
- тактическое
(текущее) планирование ( планирование маркетинга).
Стратегическое
планирование - управленческий процесс создания и поддержания стратегического
соответствия между усилиями фирмы, ее потенциальными возможностями и шансами в
сфере маркетинга.
Оно опирается
на четко сформулированную программу фирмы и включает следующие этапы (рис.
14.1).

Рис.14.1.
Этапы стратегического планирования
1-й этап
"Программа" содержит конкретную цель. Она должна ответить на вопросы:
- Что
представляет собой наше предприятие?
- Кто
является нашими клиентами?
- Что ценно
для этих клиентов?
- Каким будет
предприятие?
- Каким оно
должно быть?
Hа вопросы
нужно отвечать с точки зрения удовлетворения нужд и запросов клиентов. Программа
должна быть не слишком широкой и не слишком узкой.
2-й этап:
Программа фирмы, изложенная на предыдущем этапе, развертывается в подробный
перечень вспомогательных усилий и задач для каждого уровня руководства.
3-й этап:
План развития хозяйственного портфеля разрабатывается на основе оценки
привлекательности каждого товара, производимого фирмой на конкретном рынке. Для
этого учитываются следующие показатели:
- размеры и
емкость рынка;
- темпы роста
рынка;
- размеры
получаемой на нем прибыли;
- интенсивность
конкуренции;
- цикличность
и сезонность деловой активности;
- возможность снижения себестоимости.
Главный
планируемый показатель на этом этапе - это объем продаж каждого вида товара.
(Хозяйственный портфель - сумма этих товаров).
4-й этап:
Стратегия роста фирмы разрабатывается на основе анализа, проведенного на 3-х
уровнях, представленных в табл. 14.1.
Таблица 14.1
| 1-й уровень |
2-й уровень |
3-й уровень |
| Интенсивный рост |
Интеграционный рост |
Диверсификационный рост |
|
1. Глубокое внедрение
на рынок
2. Расширение границ рынка.
3.Совершенствование товара
|
1.
Регрессивная интеграция
2.
Прогрессивная интеграция
3.
Горизонтальная
интеграция
|
1.
Концентрическая
диверсификация
2.
Горизонтальная
диверсификация
3.
Конгломератная
диверсификация
|
Интенсивный
рост оправдан, когда
предприятие не до конца использовало возможности, присущие ее товарам и рынкам.
Поэтому планируются конкретные мероприятия по увеличению сбыта на существующих
рынках с помощью более агрессивного маркетинга (стимулирование потребителей, установление
более низких цен, использование рекламы...).
Расширение
границ рынка осуществляется за счет внедрения товаров на новые рынки.
Совершенствование
товара заключается в попытках предприятия увеличить сбыт за счет разработки
нового или усовершенствованного товара на существующих рынках.
Интеграционный
рост оправдан, когда предприятие может получить долю выгоды за счет перемещения
в рамках своей отрасли вперед, назад или по горизонтали. Регрессивная
интеграция заключается в попытках фирмы получить во владение или поставить под
более жесткий контроль поставщиков (перемещение в отрасли назад);
например, фирма покупает предприятие поставщиков.
Прогрессивная
интеграция заключается в попытках фирмы получить во владение или поставить под
более жесткий контроль систему распределения (перемещение вперед), например,
можно купить предприятие по оптовой торговле товарами своей фирмы.
Горизонтальная
интеграция - попытки фирмы получить во владение или поставить под более жесткий
контроль ряд предприятий конкурентов (перемещение по горизонтали).
Диверсификационный
рост оправдан, когда отрасль не дает фирме возможностей для дальнейшего роста,
или когда возможности роста за пределами этой отрасли значительно
привлекательнее и фирма может использовать свой накопленный опыт.
Существует 3
разновидности диверсификации:
-
концентрическая - расширение номенклатуры товарами, похожими на существующие;
-
горизонтальная - пополнение ассортимента товарами, не связанными с уже
существующими, но могущими вызвать интерес у существующей клиентуры;
-
конгломератная - пополнение ассортимента товарами, не имеющими отношения ни к
применяемой технологии, ни к существующим рынкам.
14.3.Текущее
планирование маркетинга
Стратегическое
планирование фирмы определяет, какими производствами она будет заниматься и
излагает задачи этих производств. Текущий план представляет собой совокупность
отдельно разработанных планов по каждому товару и каждому рынку.
Разрабатываются планы производства, выпуска товара, планы рыночной
деятельности. Все эти планы в совокупности обозначаются одним термином
"План маркетинга". Состав элементов плана маркетинга представлен на
рис.14.3.[12]:

Рис.14.2.
Этапы текущего планирования
Сводка
контрольных показателей включает:
- объем
продаж в рублях и в % к прошлому году;
- размер
текущей прибыли в рублях и в % к прошлому году;
- бюджет для
достижения этих целей в рублях и в %- от запланированной суммы продаж;
- размер
бюджета на рекламу в рублях и в % от запланированной суммы продаж.
Такая
информация поможет высшему руководству фирмы быстро понять основную направленность
плана маркетинга. За сводкой помещается оглавление плана и описываются его
разделы.
В разделе
"Текущая маркетинговая ситуация" описываются сегменты рынка,
приводятся основные товары, перечисляются конкуренты и указываются каналы
распределения (торговые агенты, торговые точки, прямые поставки, магазины...).
В разделе
"Опасности и возможности" перечисляются все опасности и
возможности, которые могут возникнуть перед товаром.
Опасность -
осложнение, возникающее в связи с неблагоприятной тенденцией или некоторым
событием, которое при отсутствии целенаправленных маркетинговых усилий может
привести к подрыву жизненного цикла товара или к его прекращению.
Маркетинговая
возможность - привлекательное направление маркетинговых усилий, на котором
фирма может добиться конкурентного преимущества.
Перечень
задач и проблем
формируется в виде конкретных целей (например, добиться завоевания 15% доли
рынка при существующих 10%, или увеличить прибыль до 20%...). Чтобы добиться
этих целей, разрабатывается стратегия маркетинга, то есть сценарий действий на
целевых рынках с указанием этих рынков, новых товаров, рекламы, стимулирования
сбыта... Каждую стратегию нужно обосновать и уточнить, каким образом она
учитывает вышеизложенные опасности и возможности.
Стратегия маркетинга
- рациональное
логическое построение, руководствуясь которым фирма рассчитывает решить свои
маркетинговые задачи. Стратегия маркетинга должна точно назвать сегменты рынка,
на котором фирма сосредоточит свои основные усилия. После разработки стратегии
маркетинга, разрабатывается детальная программа мероприятий по производству и
реализации товара с закреплением ответственных исполнителей, установлением
сроков и определением затрат. Эта программа позволит составить бюджет на
текущий год.
Одновременно,
руководитель предприятия должен рассмотреть комплекс маркетинга и в общих
чертах уточнить конкретные стратегии в отношении таких элементов комплекса
маркетинга, как:
- новые
товары;
- организация
продаж на местах;
- реклама;
-
стимулирование сбыта;
- распределение
товаров;
- цены.
Бюджеты: План
мероприятий в программе действий позволяет управляющему разрабатывать
соответствующий бюджет, который прогнозирует прибыли и убытки. Бюджет содержит
3 основных графы: поступление, расход, прибыль.
В
"Поступлениях" содержится прогноз относительно числа и средней цены
товарных единиц, которые планируются к продаже.
В графе
"Расходы" указываются издержки производства, товародвижения и
маркетинга.
В графе
"Прибыль" - разность между "Поступлениями" и
"Расходами".
Утвержденный
бюджет служит основой для закупки материалов, разработки графиков производства,
планирования потребностей в рабочей силе и проведении маркетинговых
мероприятий.
Порядок
контроля: Здесь излагается порядок контроля за ходом выполнения всего намеченного
плана. Обычно цели и бюджетные ассигнования расписывают по месяцам или
кварталам. Это значит, что высшее руководство фирмы может оценивать результаты,
достигнутые в конкретные отрезки времени и выявлять производства,. не сумевшими
добиться поставленных показателей.
14.4.
Схема разработки бюджета маркетинга
При
разработке бюджета маркетинга используют две схемы. Первая - планирование на
основе показателей целевой прибыли. Вторая - планирование на основе оптимизации
прибыли.
Рассмотрим
первую схему по этапам:
1.Оценка
общего объема рынка на следующий год. Она формируется путем сопоставления
темпов роста и объемов рынка в текущем году.
2.
Прогнозирование доли рынка в будущем году. Hапример, сохранение доли рынка,
расширение рынка, выход на новый рынок.
3. Прогноз
объема продаж в будущем году, то есть, если доля рынка составляет n %-, а
прогнозируемый общий объем рынка в натуральных единицах равен m единиц, то
расчетный объем составит X единиц.
4.
Определение цены, по которой товар будет продан посредникам (цена за единицу).
5. Расчет
суммы поступлений планируемого года. Определяется умножением объема продаж на
цену за единицу.
6. Расчет
себестоимости товара: сумма постоянных и переменных издержек.
7. Прогноз
валовой прибыли: разность валовой выручки (дохода) и валовой себестоимости
реализованной продукции.
8. Расчет
контрольного показателя целевой прибыли от сбыта, в соответствии с планируемым
коэффициентом рентабельности.
9. Расходы на
маркетинг. Определяются как разница суммы валовой прибыли и целевой прибыли по
плану. Полученный результат показывает, какую сумму можно истратить на
проведение маркетинга с учетом расходов на налогообложение.
10.
Распределение бюджета на маркетинг по следующим составляющим комплекса
маркетинга: реклама, стимулирование сбыта, маркетинговые исследования.
Вторая схема
планирования на основе оптимизации прибыли. Оптимизация прибыли требует от
руководства фирмы четкого осознания взаимосвязи между объемом продаж и
различными составляющими комплекса маркетинга. Для обеспечения взаимосвязи
между объемом продаж и одним или несколькими этапами комплекса маркетинга можно
использовать термин "Функция реакции сбыта". Функция реакции сбыта –
прогноз вероятного объема продаж в течение определенного отрезка времени при
разных условиях затрат на один или несколько элементов комплекса маркетинга
(рис. 14.3.)

Рис.14.3.
Возможный вид функции реакции сбыта
Предварительную
оценку функции реакции сбыта применительно к деятельности фирмы можно сделать
тремя способами: статистическими, экспериментальными, экспертными.
14.5.
Контроль за выполнением планов
Цель контроля
за выполнением планов – своевременное принятие управленческих решений в случае
отклонения от его параметров.
Основными
средствами контроля являются: анализ возможностей сбыта, анализ доли рынка,
анализ соотношений между затратами на маркетинг и сбытом и наблюдение за
отношением клиентов.
Фирмы
применяют три типа маркетингого контроля своей рыночной деятельности:
- контроль за
выполнением годовых планов;
- контроль
прибыльности;
-
стратегический контроль.
Контроль
за выполнением годовых планов заключается в постоянном слежении за текущими маркетинговыми
усилиями и достигнутыми результатами, чтобы убедиться в достижении
запланированных на год показателей сбыта и прибыли. Основными средствами
контроля является анализ возможностей сбыта, анализ доли рынка, анализ
соотношения между затратами на маркетинг и сбытом, наблюдение за поведением
клиентов.
Контроль
прибыльности требует
выявления всех издержек и установления фактической рентабельности деятельности
фирмы по товарам, сбытовым территориям, сегментам рынка, торговым каналам и
заказам разного объема.
Стратегический
контроль – это
деятельность по анализу выполнения маркетинговых задач, стратегии и программы
фирмы. Осуществляется такой контроль посредством ревизии маркетинга, которая
представляет собой комплексное, системное, беспристрастное и регулярное
исследование маркетинговой среды, задач, стратегий и оперативной деятельности
фирмы. Цель ревизии маркетинга - в выявлении открывающихся маркетинговых
возможностей и возникающих проблем и в выдаче рекомендаций относительно плана
перспективных и текущих действий по комплексному совершенствованию
маркетинговой деятельности фирмы. Структура комплексного анализа и контроля
маркетинговой деятельности приведена в схеме алгоритма.
14.6.
Краткие выводы по разделу 14
1.
Разработке плана
предшествует системное осмысление ситуации, более четкая координация усилий
фирмы, более точная постановка задач, что должно привести к росту сбыта и
прибыли. Основными этапами планирования являются стратегическое и тактическое.
2.
Стратегическое
планирование состоит из выработки программы фирмы, формирование ее задач и
целей, анализа хозяйственного портфеля и перспективного планирования роста
организации.
3.
Для обеспечения
роста фирмы используются следующие стратегии: интенсивного роста,
интеграционного роста, диверсификационного роста.
4.
На основе стратегических
планов фирма разрабатывает тактические планы (планы маркетинга). Основными
разделами плана маркетинга являются: сводка контрольных показателей, изложение
текущей маркетинговой ситуации, перечень опасностей и возможностей, перечень
задач и проблем, изложение стратегий маркетинга, программы действий, бюджеты и
порядок контроля.
5.
Фирма использует
три типа маркетингового контроля: контроль за выполнением годовых планов;
контроль прибыльности; стратегический контроль.
ЛИТЕРАТУРА
1.
Академия рынка:
Маркетинг /Пер. с фр. М.: Экономика, 1993.
2.
Вайсман А.
Стратегия маркетинга: 10 шагов к успеху. Стратегия менеджмента: 5 факторов
успеха. М.: Интерэксперт, Экономика, 1995.
3.
Все о маркетинге:
Cборник материалов для руководителей предприятий, экономических и коммерческих
служб. М. : Азимут-центр, 1982.
4.
Герчикова И.Н.
Маркетинг: организация, технология. М. Высшая школа, 1994.
5.
Голубков Е. П.
Маркетинг: стратегия, планы, структуры. М.: Дело, 1995.
6.
Голубков Е.П.
Маркетинг: выбор лучшего решения. М.: Экономика, 1993.
7.
Голубков Е.П.
Маркетинговые исследования: теория, практика, методология. М:.: Финпресс, 1998.
8.
Дихтль Е.,
Хершген Х. Практический маркетинг: Учебное пособие /Пер. с нем. М. : Высшая
школа, 1995.
9.
Жаров А.И.,
Изосимова Н.Н. Стратегия и тактика маркетинга, М.: "Финансы и
статистика", 1996.
10.
Жих Е.М.,
Панкрухин А.П. Формула успеха: Маркетинг, М.: "Россия молодая", 1992.
11.
Журналы Маркетинг
за 1997, 98, 99.
12.
Котлер Ф. Основы
маркетинга, М.: Ростинтер, 1996.
13.
Маркетинг /Под
ред. И.К. Беляевского/ М.: МЭСИ, 1997.
14.
Рубин Ю.
Обыкновенный маркетинг, С.П. АОЗТ Корунд, АО "Литера плюс", 1989.
15.
Современный
маркетинг /Под ред. Хруцкого В.Е. М.: Изд-во Республика, 1989.
16.
Феоктистова Е.М.
Краснюк И.Н. Маркетинг: теория и практика, М.: Высшая школа, 1993.
17.
Эванс Дж.
Маркетинг. С.П. АО Литера плюс, 1994.
18.
Эванс Дж., Берман
Б. Маркетинг /Пер. с английского. М.: Экономика, 1990.
|