Контрольная работа: Особенности маркетинга образовательных услуг
Контрольная работа: Особенности маркетинга образовательных услуг
Содержание
Введение
1.
Особенности маркетинга образовательных услуг
1.1
Сущность и особенности маркетинга в сфере образования
1.1.1
Субъекты и объекты маркетинга в образовании
1.2
Содержание и функции маркетинга образовательных услуг
2.
Стратегия маркетинга образовательных услуг в НОУ "МОЙ МИР"
2.1
Назначение маркетинга образовательных услуг в НОУ "МОЙ МИР"
2.2
Разработка стратегии маркетинга для НОУ "МОЙ МИР"
Заключение
Библиографический
список
Введение
Сущность маркетинга
заключается в выявлении потребностей, и в ориентации деятельности этих
потребностей, а также в достижении таким путем специфических целей учреждения
образования.
Одним из маркетинга
социальных услуг является маркетинг в образовании.
Термин "маркетинг
в образовании" определяет, что главная цель данного учреждения не
получение прибыли, а достижение социального эффекта, цели некоммерческого
характера. Образовательное учреждение в соответствии с Уставом имеет право
заниматься предпринимательской деятельностью в рамках бюджетного
законодательства России.
Цель данной работы
выявить и определить сущность маркетинга образовательных услуг в период
развития современной экономики, в период кризисной ситуации, и в целом
модернизации современного образования.
Предметом данной работы
является сущность образовательных услуг в системе управления и маркетинга
деятельности образовательных учреждений.
1.
Особенности маркетинга образовательных услуг
Основным видом
деятельности учреждений образования является создание образовательных услуг.
Вопросам
развития российского образования в настоящее время уделяется большое внимание.
Изменение сущности политической стабильности государства в сфере образования, а
также в области распределения доходов определило данную сферу в сложное
финансовое положение. Образовательные учреждения, находившиеся еще в начале
1990-х годов на полном государственном обеспечении, в настоящее время образовательные
учреждения получают от государства не более 40% общей суммы расходов. Данный
момент заставляет учреждения находить основы повышения эффективности системой
управления и разрабатывать стратегию развития и концепцию сущности в области
маркетинга.
Услуга
образования в процессе потребления определяется в рабочую силу, качество
которой зависит не только от совокупности потребленных образовательных услуг,
но и от количества и качества личного труда, затраченных в процессе потребления
этих услуг, личных способностей, степени их реализации и других субъективных
факторов.
Многие ВУЗы
поняли сущность и в целом необходимость маркетинговой деятельности.
Многие
деятели образовательных услуг определяют маркетинг образования как средство при
помощи которой активизируется деятельность учреждений в целом и система
управления в частности.
Маркетинг
образовательных услуг – это сущность предопределяющих моментов и процессов
формирования системы управления и качественной модернизации.
Маркетинг
образовательных услуг в отношении сущности понятия маркетинга в целом
определяется интересами в долгосрочном понимании всех субъектов рынка
образовательных услуг и общественных отношений в целом в сфере учреждений и
системы управления в образовании, а также возможностью создания широкого
социального статуса в виде определения интеллектуального потенциала.
В функции
маркетинга образовательных услуг входит анализ структур маркетинговых основ и
прогнозирование особенности рынка образовательных услуг, выявление
перспективных образовательных услуг и необходимости модернизации. Маркетинг
образовательных услуг должен обеспечивать и собственное развитие, решая
проблемы персонала для осуществления маркетинговой деятельности в образовании.
Специфика
маркетинга образовательных услуг частично проявляется как специфика научных,
интеллектуальных услуг. Существуют особенности, вытекающие из самой сущности
образовательных услуг.
Образовательные
услуги часто дополняются по своей сущности, производителями которых выступают
учебные заведения. Это информационные, консультационные, экспертные услуги.
Можно определить, что
образовательная программа – это комплекс образовательных услуг, нацеленный на
изменение образовательного уровня или профессиональной подготовки потребителя и
обеспеченный соответствующими ресурсами образовательной организации.
1.1 Сущность и
особенности маркетинга в сфере образования
Образовательные
услуги часто дополняются сопутствующими услугами, передачей материальных или
материализованных продуктов, обладателями или производителями которых выступают
учебные заведения. Это информационные, консультационные, экспертные, аренда
техники, приборов и оборудования, каналов связи, а также помещений и
территорий, в т.ч. - для научных парков, как например, при МГУ.
Вместе с
образовательными услугами реализуется интеллектуальная собственность работников
образовательных учреждений - изобретения, патенты, программы исследований,
обучения и практических работ, другие инновационные услуги и продукты, а также
товарная символика производителей подобных услуг - наименования, логотипы,
товарные знаки и т.п.
Выделим проблемы, решение которых прямо определяет
свойства и параметры образовательных услуг:
1.
Цели
обучения и адекватное им соотношение между общекультурными, фундаментальными и
специальными знаниями.
2.
Тип
образовательного учреждения, с учетом места его расположения.
3.
Характеристики
персонала, оказывающего образовательные услуги.
Чтобы определить
сущность маркетинга в сфере образования и определить, как она проявляется на
рынке образовательных услуг необходимо проанализировать обширный комплекс его
элементов и аспектов.
Реальными
участниками маркетинговых отношений в сфере образования являются не только
образовательные учреждения, но и потребители, широкие круги посредников, а
также общественные институты и структуры, причастные к продвижению
образовательных услуг на рынке.
Образовательные
услуги как никакой другой вид деятельности находится под пристальным
общественным вниманием. Это положение наиболее отчетливо проявляется в рамках
политических кампаний, в которой вопрос общественного образования обычно
рассматривается как элемент обеспечения национальной безопасности, перспективы
выживания и развития нации.
1.1.1 Субъекты и
объекты маркетинга в образовании
Существует мнение, что
маркетинг образовательных услуг - это важная система управления. Если бы
действительно маркетингом образовательных услуг была бы только лишь система
управления, то действительно единственным субъектом маркетинга образовательных
услуг были бы только образовательные учреждения, но в связи с тем, что система
управления в образовательных услугах определена на весь рынок, поэтому
субъектами образовательных услуг образовались все субъекты рынка.
Тем не менее,
существуют основные участники маркетинговых отношений образовательных услуг,
которые являются не только образовательные учреждения, но и потребители,
широкие круги посредников, к ним относятся службы занятости, биржи труда,
органы регистрации, лицензирования и аккредитации образовательных учреждений и
др., а также общественные организации и структуры.
Важную роль среди
субъектов маркетинга образовательных услуг определяется личность самого
учащегося, студента. Это не просто материальный носитель образовательных услуг,
но и их единственный конечный потребитель. Личность отличается от остальных
потребителей образовательных услуг тем, что использует образовательный
потенциал не только для создания материальных и других благ, не только для
зарабатывания средств к жизни, но еще и для себя, для удовлетворения
собственных потребностей напрямую, прежде всего - познавательных потребностей.
Именно эта личность,
персонифицированный носитель, обладатель, пользователь и конечный потребитель
образовательных услуг осуществляет конкретный выбор своей будущей специальности
и специализации, сроков, места и формы обучения, источников его финансирования,
а также выбор будущего места работы и всего комплекса условий реализации
приобретенного потенциала.
Основными объектами
маркетинга образовательных услуг являются товары и услуги, в большинстве это
услуги. В числе других объектов - учреждения, территории, а также отдельные личности.
В большинстве, объектом маркетинга образовательных услуг определяется любой
объект, который предлагается на рынке для обмена на определенное количество
каких-либо благ.
Маркетинг в сфере
образования взаимодействует со всеми объектами образовательных услуг. Для
учащихся, немаловажно, где расположено образовательное учреждение и какими
возможностями для их проживания оно располагает, в данной ситуации особую и
однозначную роль играет такой объект маркетинга образовательных услуг как
территория.
Каждая из этих
разновидностей маркетинга по его объектам определяется своими особенностями,
требует особых подходов.
1.2 Содержание и
функции маркетинга образовательных услуг
Функция маркетинга в
современной экономики в период развития и модернизации имеет смысл по сбору и
анализу информации о структуре рынка, а также соотношении динамики спроса и
предложения на тот или иной товар и услугу.
В настоящее время в
период развития экономики и стабилизации рыночных отношений существует проблема
в отношении между функциями и содержанием маркетинга, так как образуется
проблематика товарной политики и ценообразования. Нет устоя в соотношении этих
двух элементов определяющих современную рыночную экономику. Также в общем
понимании и существует проблема в развитии рекламной политики, как одной из
основ маркетинга.
В целом маркетинг
определяется как исследования определяй сферы рыночных отношений, взаимосвязь
товара и цен или услуги и цен, как определяющей рыночной экономики.
Российским
производителям, а также отдельно и производителям образовательных услуг,
большая продолжительность времени находившаяся под контролем государственных
органов системы управления.
В свою очередь можно
проследить и такую проблему, которая заключается в следующем, во многих ВУЗах
где преподают маркетинг, этот маркетинг очень редко используется для
непосредственного совершенства маркетинга образовательных услуг. Это проблема
не понятно чем вызвана, либо она вызвана тем, что руководящий состав не готов
или не хочет выделять специальную группу занимающаяся отдельно маркетингом
образовательных услуг данного учебного заведения, или все таки в большинстве
случаев учебным заведениям не закладывают в бюджет расходы на данные
исследования, что в большинстве случаев вероятнее всего.
Если четко
рассматривать вопрос об исследовании маркетинга образовательных услуг и
приобщения данных услуг в жизнь и придать им существенное назначение, следует
разобраться и выявить основные вопросы, что конкретно производить и предлагать
на рынок образовательных услуг в каком количестве, сколько, по какой цене и
другие существенные вопросы. Решение данных, поставленных вопросов позволит
решить сущность и назначение маркетинга образовательных услуг.
Конечно, поставленные
вопросы необходимо определить к конкретной сфере реализации маркетинга, в
настоящем моменте - к сфере образования.
Как было отмечено выше,
мы ставили проблему, что многие учебные заведения обучают маркетингу, но
системы и структуре маркетинга образовательных услуг, ни кто не занимается. Эта
проблема особенно деликатна, потому что она определяет комплекс вопросов выбора
исходного материала, который, выступает активным участником маркетинговых
отношений, сам осуществляет свой выбор.
В постановки проблемы и
в целом вопроса кого обучать для исследования маркетинга образовательных услуг
перед всеми образовательными учреждениями ставиться проблема на кого конкретно
определить и сфокусировать обязанности для исследования образовательных услуг в
конкретном учебном заведении.
Также требуется решить
вопрос, зачем и чему учить. Этот вопрос абсолютно связан с конкретной
структурой потребностей целевых групп и определяет выбор целей и средств
образовательного процесса в целом.
Также необходимо
выбрать, в каких случаях необходимо уменьшать или увеличивать сроки обучения,
можно ли использовать в данной ситуации использовать принцип экстерна, многоэтапный
подход к образованию.
Кроме того, следует
определиться либо производить обучение в каждом учебном заведении, где
преподают маркетинг и при этом переквалифицировать структуру преподавания или
сконцентрировать обучение только в одном учреждении и после создать специальное
учреждения для исследования и анализа образовательных услуг.
В ходе преподавания и
выбора системы преподавания следует посветить обучение технологии производства
образовательных услуг. Данное обучение должен осуществлять опытный
преподаватель или даже научный сотрудник, способный выработать методику системы
генерации системы управления.
Определяются типы и
направления использования учебно-методических средств, это средства
визуализации знаний, индивидуализированного контроля, программированного
обучения, тренинга и др.
Можно выделить
следующие проблемы, решение которых прямо определяет свойства и параметры образовательных
услуг:
Необходимость
характеристик будущих обучающихся
Длительность и режимы
обучения.
Тип образовательного
учреждения, с учетом места его расположения.
Технологии обучения и
контроля его результатов.
Характеристики
персонала, оказывающего образовательные услуги.
С решением вопросов
посвященные исследованию маркетинга образовательных услуг связано с решением
вопросов маркетинга в ценовой политики, в товаро- наполняемости, а также в
последующем сбытовой политики и кадровой политики.
Сущность аспектов
маркетинга образовательных услуг, определяется необходимым сформулировать данное
понимание в целом. Маркетинг образовательных услуг - это изучающая и
формирующая стратегия и тактика действий, а также взаимоотношений субъектов
рынка образовательных услуг.
Маркетинг образовательных
услуг в целевом определяется большими коммерческими интересами всех субъектов
рынка, а также создание широкого социального эффекта.
Для фактического
определения сущности и содержания маркетинга образовательных услуг следует
обратиться и проанализировать целостность функций маркетинга образовательных
услуг.
В целом функции
маркетинга определяют исследование и прогноз структуры рынка образовательных
услуг, а также определение перспективных образовательных услуг и необходимость
определение оптимальных значений объема, качества, ассортимента и сервиса образовательных
услуг, определение ценообразования, в целом деятельности по продвижению и реализации
образовательных услуг, а также их сопровождение в процессе потребления.
Маркетинг образовательных услуг обеспечивает собственное развитие, при этом
решая проблемы сотрудников для осуществления маркетинговой деятельности в
образовании.
Специфика маркетинга образовательных
услуг иногда проявляется как специфика научных, интеллектуальных услуг.
Существует особенность,
вытекающая из самой сущности образовательных услуг и прежде всего это выражено в
исключительности так называемого исходного материала сферы образования - субъекта
обучающегося, которая определяет фактически важную роль в рыночном интересе
образовательных услуг, а также технологий и условий их оказания.
Если отрешиться на
некоторое время от субъекта образовательных услуг, такого как ВУЗ, и перейти на
субъект среднего образовательного учреждения, где более интересным является
проследить сущность образовательных услуг, можно выявить, что активность по
предложению образовательных услуг в подобных учреждениях ограничена
географическими параметрами, то есть рассматривается по территориальному
признаку принадлежности.
Решающим субъектом образовательных
услуг выступают личности не столько самих учащихся, сколько родителей: вместе с
тем их выбор часто достаточно ограничен, это ограничения опять связано с
территориальным фактором. Вместе с тем важна связка этих учреждений с
учреждениями более высоких ступеней образования.
Учреждения высшей школы
и дополнительного образования не только определяют себя свободнее от этих
факторов, но и при этом имеют ряд серьезных дополнительных стимулов для развития
маркетинга образовательных услуг в целом. Прежде всего, кадровый потенциал, это
преподаватели и научные сотрудники, а также связи и возможности в отношении с
другими образовательными учреждениями, в том числе - зарубежными. Целевые
установки учреждений этого уровня образования неизбежно сильнее ориентированы
на запросы предприятий, организаций и учреждений, которые будут в дальнейшем
использовать выпускников.
В общей сложности нельзя
утверждать, что в дошкольном, среднем, высшем и дополнительном образовании имеет
место какой-то особый, однородный маркетинг. Основные элементы маркетинга
весьма родственны во всех этих сферах, да и решают они одни и те же проблемы.
Формально функции
маркетинга товаров и маркетинга услуг совпадают, т.е. они включают маркетинговые
исследования рынка, маркетинговое планирование и организацию маркетинга, в том
числе маркетинговый контроль и аудит. Отличия обнаруживаются при содержательном
наполнении каждой из перечисленных функций, ибо услуга как предмет
маркетинговых усилий достаточно специфична, что хорошо видно из общей модели
процесса маркетинга услуг.
Центральное место в
процессе маркетинга образовательных услуг занимает разработка комплекса
маркетинга. Он включает в себя: услуги как товар, цену услуги, каналы
распределения услуг и систему продвижения услуг на рынок.
Выделяют
четыре уровня услуги - товара:
l)
услуга - основной продукт, т.е. комбинация различных услуг, решающая проблемы
клиента;
-
услуги - сопутствующие товары, т.е. услуги, необходимые потребителям для того, чтобы
использовать основной продукт;
-
услуги - дополнительные товары, которые поддерживают основной товар, придают
ему дополнительную пользу и помогают отличить от конкурирующих с ним;
4)
услуга как товар в расширенном толковании включает в себя доступность основных,
сопутствующих и дополнительных товаров и услуг, участие потребителей в процессе
обслуживания и взаимодействия клиентов друг с другом.
Разработка
услуги как элемента комплекса маркетинга услуг – это чаще всего разработка
новой услуги, а в более широком смысле - нового продукта.
Процесс
разработки нового услуги включает:
1.
Генерирование идей. При этом следует иметь в виду, что главными источниками
идей новых услуг являются сотрудники учреждения, потребители, конкуренты,
дистрибьюторы и поставщики.
2.
Отбор идей. Главная цель такого отбора - найти хорошие идеи и как можно скорее
избавиться от плохих.
3.
Разработка и проверка концепции нового услуги. При этом следует различать идею,
концепцию и имидж услуги. Идея продукта - представление о продукте, который
менеджеры учреждения могли бы предложить рынку. Концепцией продукта является
пробная версия идеи, выраженная в значимых потребительских терминах. Имидж
продукта представляет собой восприятие потребителями фактического или
потенционального услуги.
4.
Разработка стратегии маркетинга. Обычно она состоит из трех частей. Первая
часть описывает целевой рынок, планируемую позицию продукта, объем сбыта, долю
рынка и целевую прибыль. Вторая очерчивает планируемую цену продукта, систему
его распределения и маркетинговый бюджет. Третья включает планируемые
долгосрочные показатели объемов сбыта, прибылей и стратегии комплекса
маркетинга - маркетинг-микс.
5.
Бизнес-анализ, который включает обзор прогнозов объемов продажи, издержек и
прибылей для того, чтобы определить, удовлетворяют ли они целям учреждения.
-
Разработка продукта, когда создается образец продукта в соответствии с его
концепцией.
-
Пробный маркетинг. На этой стадии продукт и программа маркетинга вводятся в
более реалистическую рыночную обстановку.
8.
Коммерциализация, т.е. стадия, на которой услуга внедряется в рынок.
Если
попытаться кратко изложить ценовую политику предприятия сферы услуг, то она
сводится к решению двух комплексов задач:
1)
выбор метода ценообразования;
2)
разработка ценовой стратегии.
Наиболее
известные методы ценообразования на услуги:
-
затратное ценообразование, когда цена формируется по формуле: "затраты
плюс прибыль";
-
ценообразование по целевой прибыли или определение точки безубыточности
обслуживания клиентов;
-
ценообразование с ориентацией на запросы покупателей услуг, т.е. когда за
основу ценообразования принимается восприятие ценности услуги покупателем, а не
затраты производителя;
-
ценообразование, основанное на конкуренции, т.е. учет доминирующих цен на рынке
услуг.
Основные
ценовые стратегии на рынке образовательных услуг:
-
престижное ценообразование, что предпочтительно для высококачественного
обслуживания;
-
ценовая политика "снятие сливок", что возможно при ограничении доступа
на рынок услуг конкурентов или при успешных рыночных нововведениях;
-
ценовая политика "прорыва на рынок", что сильно напоминает демпинговые
цены, устанавливаемые на услуги для вытеснения конкурентов с рынка;
-
ценообразование на набор товаров (услуг), когда предоставляется возможность предложить
потребителям определенный набор товара (услуг) по пониженной цене;
-
скидки за объем услуг, что способствует более полной загрузке предприятий сферы
услуг;
6)
скидки, предлагаемые в зависимости от времени покупки (чаще всего сезонные
скидки в сфере услуг);
7)
дискриминационное ценообразование, которое позволяет максимизировать доходы
предприятий сферы услуг;
8)
психологическое ценообразование, когда при установлении цены услуги
используются психологические аспекты, такие, как престиж, рекомендательные,
ощутимые потребителями цены, или цены, сложившиеся в их представлении;
9)
ценовое стимулирование сбыта, что чаще всего связано с установлением различных
скидок и льгот.
Каналы
распределения как элементы комплексов маркетинга услуг представляют собой совокупность
независимых организаций, вовлеченных в процессе удовлетворения спроса на услуги
и делающие их доступными для потребителей. Специалисты в области маркетинга
услуг называют следующие функции канала распределения:
1)
информация - сбор и представление результатов исследований о среде маркетинга
услуг;
2)
продвижение - создание и распространение в рекламных целях убедительной
информации относительно предложения услуг;
3)
контакт - приобретение предполагаемых потребителей и установление с ними
соответствующих отношений;
4)
адаптация - формирование и приспособление предложения услуг потребителями
покупателям;
5)
переговоры - согласование предложения и спроса на услуги;
6)
физическое распределение - фактическое предоставление услуг потребителям;
7)
финансирование - использование ресурсов для покрытия расходов на обеспечение
работы канала распределения;
8)
взятие риска - принятие финансовых рисков, включая компенсацию потерь из-за
неполной загрузки производителей услуг.
Особенности
выбора канала распределения образовательных услуг определяются следующими факторами:
-
высокая степень неопределенности услуг;
-
совместимость процессов производства и потребления услуг;
-
сложность выбора поставщиков услуг;
-
сложность оценки качества услуг;
-
инерционность в потреблении услуг (достаточно часты повторные контакты);
-
сложность гарантии цены и гарантии уровня сервиса;
-
сложность поддержания постоянного контакта с лицами, принимающими решения по
закупкам услуг;
-
сложность контроля качества услуг;
- связанность услуг с
другими товарами и услугами.
С учетом этого
основными формами взаимодействия участников канала распределения услуг могут
быть:
1)
конкурирующие отношения, которые сводятся к достижению субоптимизации положения
каждого участника канала распределения услуг в ущерб общесистемной оптимизации;
2)
субстантивированные отношения, которые предполагают возможность соглашений в
рамках обычных (традиционных) маркетинговых систем сбыта услуг;
-
комплементарные отношения, которые обычно строятся как договорные вертикальные
маркетинговые системы сбыта услуг;
-
качественные отношения, которые чаще всего возможны как многоканальные
маркетинговые системы сбыта услуг.
Процесс
принятия решений по управлению каналом сбыта образовательных услуг можно представить
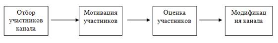
в форме четырех последовательных итераций (рис. 1).

Рис
1 – Основные решения по управлению каналом сбыта
При
отборе участников канала сбыта услуг руководство учреждения - должно оценить
потенциальные возможности развития каждого участника канала, его прибыль,
доходность, способность кооперации и репутацию. При этом учреждение должна
постоянно мотивировать участников своих каналов сбыта, включая не только своих
сотрудников, но и независимых посредников. Для обеспечения эффективного
функционирования канала сбыта необходимо регулярно оценивать работу своих
посредников и помогать им рекомендациями. С изменением покупательной модели
потребителей услуг, расширением рынков сбыта, усложнением товаров и услуг,
возникновением новых конкурентов возникает потребность в модификации структуры
канала сбыта, что необходимо использовать для создания творческой структуры
каналов распределения услуг.
Система продвижения
услуг на рынок – это программа общих маркетинговых коммуникаций учреждения –
продуцента услуг. Маркетологи называют четыре главных средства продвижения:
·
реклама
– любая оплаченная форма неперсонального представления и продвижения идей,
товаров и услуг определенным спонсором;
·
стимулирование
сбыта – краткосрочные стимулы поощрения покупки или продажи товара или услуги;
·
связь
с общественностью – построение хороших отношений компаний с различными слоями
общественности;
·
персональные
продажи – устное общение с одним или более предполагаемых покупателями с целью
совершения продаж товаров и услуг.
Прикладные аспекты
маркетинга в сфере услуг в большей или меньшей степени специфичны, что и будет
показано на примере ряда отраслей индустрии услуг.
2.
Стратегия маркетинга образовательных услуг
НОУ "МОЙ МИР"
Необходимость
исследования современных подходов к определению стратегии маркетинга
образовательных, а также разработка мероприятий, направленных на повышение
маркетинга образовательных услуг в конкурентной борьбе, определяет важность
построения системы и структуры управления маркетингом образовательных услуг в
целом.
В настоящее
время является определяющим исследование практических подходов к управлению
конкурентоспособностью на рынке образовательных услуг. Повышения
конкурентоспособности маркетинга образовательных услуг заключаются в достижении
следующих преимуществ: гибкость, социальное равноправие, масштабность и самое
главное для бюджетных учреждений это экономичность.
Негосударственное
Образовательное Учреждение "МОЙ МИР" (НОУ "МОЙ МИР"),
является негосударственным образовательным учреждением дополнительного
образования и оказывает дополнительные образовательные услуги, и
зарегистрировано Государственной регистрационной палатой при Министерстве
юстиции Амурской области 28 марта 2000 года, регистрационный N
98012.
Общество является
юридическим лицом и действует на основании устава и законодательства Российской
Федерации.
Полное официальное
наименование Учреждения: Негосударственное Образовательное Учреждение "МОЙ
МИР". Сокращенное наименование Учреждения: НОУ "МОЙ МИР".
Основной целью
деятельности Учреждения является творческое развитие личности, воспитание
нового поколения интеллигенции и реализация с этой целью программ воспитания,
образования и услуг в интересах личности, общества, государства.
Для осуществления
образовательной деятельности у организации имеется лицензия № А-547864 от 06
июня 2000 года, выданная Министерством образования Амурской области.
Основной уставной
деятельностью Учреждения являются:
1.
Индивидуальное
обучение школьников 1 – 11 классов для школ города на базе курсового обучения,
включая:
- преподавание
иностранных языков;
- преподавание курса
гуманитарных наук (философия, политология, правоведение, русская история,
история мировых культур, психология, социология, этнография, этика, логика и т.
д.);
- развитие мышления и
речи;
- обучение компьютерной
грамотности, машинописи, стенографии;
- обучение учащихся
литературному переводу с иностранного языка, ораторскому мастерству;
- изучение культуры
других стран на основе осуществления гуманитарных связей учащихся с ровесниками
из зарубежных стран;
- шахматы;
- занятия в группах с
учащимися, не усваивающими учебную программу;
- индивидуальное
обучение учащихся 5 – 9 классов при переходе из на обучение экстерном.
2. Домашнее обучение и
воспитание детей старшего дошкольного и младшего школьного возраста по принципу
гувернерства.
3. Организация
подготовки детей для поступления в школу.
4. Организация
производительного труда учащихся на базе школьных мастерских.
5. Разработка и
осуществление новых перспективных программ и методик в обучении детей с
использованием научного потенциала города.
6. Организация массовой
работы, осуществление поиска современных форм досуговой деятельности для всех
возрастных категорий при взаимодействии с различными учреждениями образования,
культуры, общественными организациями.
7. Организация
методической работы, направленной на совершенствование программ обучения,
содержания, форм и методов работы педагогических коллективов, повышения
педагогического мастерства работников Учреждения, оказание помощи
педагогическим коллективам в организации образовательного процесса, внеклассной
и внешкольной работы, в том числе организация и проведение семинаров,
конференций и т. д..
8. Разработка и
составление учебных пособий, дидактического материала, осуществление
рекламно-издательской деятельности.
НОУ "МОЙ МИР"
действует на рынке образовательных услуг г, Благовещенска в течение десяти лет.
За это время организация добилась того, что размер выручки от реализации услуг
в 2009 году составил 1 250 127 руб. Чистая прибыль по итогам 2009 года 896 524
руб.
2.1
Назначение маркетинга образовательных услуг в НОУ "МОЙ МИР"
НОУ "МОЙ МИР",
как образовательное учреждение, в 2010 году ощутило резкое падение
платежеспособного спроса на образовательные услуги и усложнение конъюнктуры
рынка. Специалиста в области изучения маркетинга города Благовещенска поясняют,
что это возможно вызвано финансовым кризисом в мире Решение данной проблемы
достаточно остра, что ряд решительных действий осуществляется спонтанно.
Как поступить в
условиях, когда столь желанный и уже разрешенный платный набор учащихся,
оказывается не столь уж большим и прибыльным, чтобы обеспечить нормальное
существование и развитие этого учреждения.
В эту очередь НОУ "МОЙ
МИР" из немногих учреждений города и даже Амурской области не опускает
руки на сложившуюся ситуацию, а наоборот привлекает в 2010 году специалистов,
аудиторов, аналитиков для решения данной проблемы, разработки единой стратегии.
При чем финансирования данных программных мероприятий происходит за счет
внебюджетных источников, так называемого резервного фонда учреждения.
Одной из особенностей
анализа маркетинга образовательных услуг является, то, что НОУ "МОЙ МИР"
оказывает услуги, а не производит продукцию. Оказание услуги и ее потребление
совпадают во времени. Следовательно, выручка организации за каждый период
времени объективно отражает количество оказанных образовательных услуг.
Современное образование
характеризуется большим выбором и высокой конкуренцией предоставляемых
образовательных услуг со стороны как государственных, так и негосударственных
образовательных учреждений. Одной из главных задач образовательного маркетинга
НОУ "МОЙ МИР" является изучение рынка образовательных услуг, запросов
потребителей этих услуг.
Несмотря на
то, что кривая спроса на образовательные услуги имеет возрастающий характер,
кривые жизненных циклов образовательных учреждений могут иметь тенденцию к
снижению. Эта тенденция может выражаться в снижении количества абитуриентов,
формировании негативного мнения в процессе обучения, падении объемов прибыли
как следствие и др.
Существующий
спрос на образование постоянно растет, но отсутствие стратегического подхода
образовательных учреждений и комплекса продвижения образовательных услуг, не
позволяет обеспечить стабильный рост прибыли учреждений. Необходимо
своевременно выявлять причины такого положения, которые могут быть обусловлены
как характеристиками услуг образования, так и особенностями стратегий развития
образовательного учреждения, ценообразования, маркетинга и продвижения или их
совокупностью.
В
современных условиях первичным субъектом спроса на образовательные услуги
становится сама личность. Поэтому объем спроса во многом определяется
ожиданиями личности. Это значит, что рынок образовательных услуг формируется
под воздействием спроса экономически активного населения. Одной из задач
маркетинга НОУ "МОЙ МИР" является выявление этого спроса и
формирование соответствующих образовательных программ. Эта задача реализуется
посредством исследования рынка образовательных услуг.
В
настоящее время конкуренция становится важнейшей проблемой для НОУ "МОЙ
МИР". Менеджеры образования должны не только привлекать новых потребителей
(платных слушателей), но и адаптировать свои усилия к действиям конкурентов. А
это требует разработки эффективных стратегий маркетинга.
Целью
исследования спроса на образовательные услуги является определение для НОУ "МОЙ
МИР" целевого рынка как совокупности субъектов со схожими потребностями в
отношении конкретных видов образовательных услуг, а также возможностями их
приобретать. Можно выделить следующие виды спроса на образовательные услуги:
-
спрос со стороны абитуриента как потребителя знаний и практических навыков по
конкретной специальности;
-
спрос со стороны предприятий различных организационно-правовых форм,
выступающих покупателями рабочей силы в лице подготовленных специалистов;
-
спрос со стороны государства на рабочую силу для использования ее в отдельных
сферах народного хозяйства.
На
рынке образовательных услуг для НОУ "МОЙ МИР" все более значимыми
являются частные потребности населения; объектом спроса становятся локальные,
специфические, адаптированные к рынку образовательные профессиональные
программы. Такая структура спроса на образовательные услуги ведет к диверсификации
образовательных программ НОУ "МОЙ МИР".
Образовательные
услуги характерны также тем, что их потребитель, в отличие от покупателя
товаров, должен обладать определенными личностными качествами (например, для получения большинства
видов профессионального образования нужно иметь определенный уровень общего
образования и т.п.). Потребитель образовательной услуги
обязательно участвует в производстве этой услуги. Без его активного
интеллектуального участия процесс теряет смысл.
Этот аспект особенно важно учитывать при маркетинговых исследованиях
эффективности предоставляемых услуг НОУ "МОЙ МИР".
По субъекту
потребностей и источнику финансирования потребителей услуг НОУ "МОЙ МИР"
можно разделить на следующие группы:
- юридические лица
(предприятия и организации), заинтересованные в подготовке и переподготовке
своего персонала и оплачивающие обучение централизовано за счет предприятия;
- отдельные физические
лица (граждане), стремящиеся получить дополнительные профессиональные знания и
повысить свой образовательный уровень в целях более успешного карьерного роста.
Эта группа потребителей оплачивает обучение самостоятельно из личного бюджета.
Основными
потребителями образовательных услуг НОУ "МОЙ МИР" являются молодые
люди в возрасте от 17 до 35 лет, поэтому чрезвычайно важным является прогноз
численности этой категории в регионе, структуры полного среднего и среднего
профессионального образования как основного поставщика потенциальных
потребителей образовательных услуг организации.
Указанная специфика
спроса в данном сегменте рынка резко сужает возможный круг предложения.
Особенностью указанного контингента является практическая невозможность
использовать традиционные схемы высшего или второго высшего образования,
требующих, как правило, достаточно длительного обучения с отрывом от основной
профессиональной деятельности. Более предпочтительной схемой подготовки и
переподготовки для них являются краткосрочные периодические курсы (сроком не
более двух – трех недель).
Таким образом, анализ
современного рынка показывает, что в настоящее время сложилась ситуация
значительного превышения спроса на образовательные услуги данного направления
над соответствующим предложением. Поэтому можно заключить, что наиболее
эффективным, перспективным и прибыльным направлением стратегического развития НОУ
"МОЙ МИР" на ближайший период является разработка и предложение
краткосрочных курсов в области повышения подготовки кадров и получения
дополнительного образования.
Приоритетным направлением в работе
отдела дополнительного образования НОУ "МОЙ МИР" является ориентация
на потребности заказчика при разработке и реализации учебных программ.
Непрерывное совершенствование учебных программ на основе отзывов и предложений
потребителей образовательных услуг и широкое применение современных активных
методов обучения, таких как тренинги, анализ конкретных ситуаций позволяет
достичь высокой эффективности обучения.
2.2 Разработка
стратегии маркетинга для НОУ "МОЙ МИР"
Анализ деятельности НОУ
"МОЙ МИР" обнаружил отсутствие четкого стратегического подхода к
управлению, в то время как условия современного рынка (быстроизменяющаяся
внешняя среда, жесткая конкурентная борьба, высокая степень неопределенности и
т.д.) диктуют необходимость повышенного внимания к данному вопросу.
Упрощенно процесс
стратегического управления можно представить как разработку стратегии
деятельности организации на основе мониторинга и анализа ее внутренней и
внешней среды.
Сформулируем основные конкурентные
преимущества НОУ "МОЙ МИР", выявленные в результате анализа его
деятельности:
·
высокая
степень востребованности профессиональных знаний в области специализации НОУ "МОЙ
МИР";
·
возможность
привлечения высококвалифицированного преподавательского состава;
·
положительная
репутация в определенных кругах.
Необходимо накопить
опыт работы НОУ "МОЙ МИР", укрепить материальный, финансовый и
кадровый потенциал, развить общественные связи, создать благоприятный имидж,
укрепить репутацию, добиться известности в соответствующих кругах и т.д. В
частности: на современном уровне оснастить учебные классы, обеспечить
стабильный выход в Интернет, закупить необходимую технику (компьютерную и
презентационную), оборудование, учебно-методическую литературу (учебники,
методические пособия, раздаточные материалы); наладить устойчивые деловые связи
с высококвалифицированными преподавателями, образовательными учреждениями,
федеральными и местными органами власти и управления, кадровыми и рекламными
агентствами и т.п.
В то же время
необходимо разработать новый, конкурентоспособный набор платных образовательных
услуг (курсов, методик, учебных программ и технологий обучения), с которыми
выйти на свободный рынок.
Осуществление указанных
стратегических направлений развития позволит НОУ "МОЙ МИР" увеличить
доходную часть бюджета и создать условия для расширения объемов предоставляемых
услуг, повышения их качества, совершенствования материального и кадрового
обеспечения и т. п.
Главная задача
разработки конкурентной стратегии НОУ "МОЙ МИР" - определение и отбор
наиболее приемлемых планов развития организации, направленных на эффективное
распределение и ресурсного потенциала и на адаптацию к внешней среде в условиях
конкуренции.
Разработка стратегии
начинается с формулировки миссии организации. Миссия НОУ "МОЙ МИР"
определённая уставом, а также со слов руководства и учитывающая основные
направления деятельности фирмы, рабочие принципы во внешней среде и культуру
организации комплексно представлена в таблице 1.
Таблица 1
Миссия
организации
| Элементы миссии |
Цель |
| 1. Основные направления деятельности |
Удовлетворение общественных потребностей в
образовательных услугах |
| 2. Рабочие принципы во внешней среде |
Связи с представителями внешней среды основаны на
принципах честности, взаимовыгодности и бесконфликтности. |
| 3. Культура организации |
Создание и поддержание хорошего психологического
климата в коллективе. Поощрение творчества и инициативы. |
Соблюдение принципов
существования, заложенных в миссии, действительно является прикладным императивом,
а не пустыми словами, хотя осознанно на предприятии об этом никто не
задумывается.
Основные моменты миссии
более детально отражаются в целях организации. Состав целей также определяется
особенностями рыночной ситуации, специфики отрасли и имеющимся у фирмы
потенциалом.
Классификация целей НОУ
"МОЙ МИР" представлена в таблице 2.
Таблица 2
Классификация
целей организации
| Цель |
Характер целей |
| 1. Обновление основных производственных фондов |
Стратегическая, функционирование, производственно-техническая,
количественная, основная. |
| 2. Создание кадрового резерва (возможно из учеников) |
Стратегическая, функционирование, организационная,
кадровая, качественная, основная. |
| 3. Создание функции маркетинга |
Оперативная, развитие, организационная, маркетинговая,
качественная, основная. |
| 4. Сохранение имиджа |
Тактическая, функционирование, рыночная, маркетинговая,
качественная, основная. |
| 5. Освоение новых видов деятельности |
Тактическая, развитие, организационно-техническая,
производственно-технологическая, побочная. |
| 6. Компьютеризация |
Оперативная, функционирование, техническая,
технологическая, количественная, побочная. |
| 7. Увеличение доли рынка (числа обучающихся) |
Оперативная, функционирование, рыночная, маркетинговая,
количественная, основная. |
| 8. Ремонт здания (трубопроводов, крыши) |
Оперативная, функционирование, организационно-техническая,
технологическая, качественная, основная. |
| 9. Проведение рекламной кампании и PR-акций |
Оперативная, функционирование, рыночная, маркетинговая,
сбытовая, качественная, основная. |
| 10. Обеспечение ликвидности и финансовой устойчивости |
Стратегическая, функционирования, экономическая,
финансовая, количественная, основная. |
| 11. Обеспечение приемлемого уровня оплаты труда |
Оперативная, функционирования, социальная,
кадровая, количественная, основная. |
| 12. Поддержание хорошего производственного и психологического
климата |
Оперативная, функционирование, организационно-социальная,
кадровая, качественная, основная. |
| 13. Формирование эффективного менеджмента |
Тактическая, функционирование, организационная,
кадровая, качественная, побочная. |
| 14. Ориентация на инновации и творчество |
Оперативная, развитие, организационная, инновационная,
качественная, побочная. |
| 15. Увеличение прибыли и рентабельности |
Стратегическая, развитие, экономическая, количественная,
побочная. |
Если учесть возможности
и проблемы, стоящие перед предприятием, которые были выявлены во втором разделе
проекта, то для реализации представленных в таблице целей можно предложить
следующие конкурентные стратегии дальнейшего развития:
1.
Стратегия
роста рынка со смещением приоритетов на маркетинговых усилиях;
2.
Развитие
в заданном русле с решением текущих вопросов (обновление основных
производственных фондов, создание кадрового резерва);
3.
Развитие
предприятия в направлении стратегии диверсификации видов деятельности
(внедрение новых специальностей);
4.
Развитие
предприятия на принципах оборонительной стратегии с целью удержания позиций на
рынке (создание стратегических альянсов, объявление намерений);
5.
Стратегия
отступления и отхода (вложение денежных средств в деятельность в большей нормой
доходности на стороне).
Завершающим этапом
процесса выбора стратегии является определение наиболее привлекательных
вариантов дальнейшего развития предприятия. Определение производится в зависимости
от внешних и внутренних условий представленных в таблице 3.
Таблица 3. Состав
факторов, учитываемых при выборе стратегий
| Фактор |
Влияние фактора |
| 1. Риск (отклонение действительных результатов от
ожидаемых) |
Степень риска не должна превышать 25%. |
| 2. Величина финансовых средств |
Располагаемые финансовые средства не более 50000
рублей. |
| 3. Отношение персонала предприятия к возможным
изменениям |
Со стороны персонала не должно быть сопротивления. |
| 4. Предполагаемые результаты деятельности |
Укрепление конкурентных позиций на рынке.
Увеличение прибыли на 15% в год.
Увеличение периода оборачиваемости оборотных
активов.
|
| 5. Период окупаемости |
Не более трёх лет |
| 6. Позиции на рынке |
Как минимум сохранение доли рынка по существующим
специальностям.
Увеличение числа учащихся.
|
| 7. Влияние курирующего министерства |
Должно учитываться согласие министерства. |
Определяющим условием
успешной реализации стратегии в части активизации деятельности НОУ "МОЙ
МИР" по предоставлению платных образовательных услуг является правильный
выбор их конкретного вида, призванного стать базисом стратегического развития
организации. Для этого необходимо проанализировать структуру спроса и
предложения на рынке услуг дополнительного профессионального образования.
С учётом представленных
факторов наиболее привлекательно выглядит стратегия диверсификации новых видов
деятельности. Для её реализации можно предложить следующие действия:
1. Организация
подготовки по специальности "фотограф";
2. Организация
подготовки по специальности "маникюрша";
3. Организация
подготовки по специальности "часовщик";
4. Организация групп
вечерников и групп переподготовки кадров по существующим специальностям;
5. Организация
подготовки по специальности "слесарь-наладчик швейного производства".
Заключение
Современный маркетинг
образовательных услуг – это, концепция управления, определяющая деятельность и
цели учреждения в сфере оказания качественных образовательных услуг, задаче
удовлетворения потребностей и сохранения общества. А также маркетинг
образовательных услуг, это непосредственная деятельность по удовлетворению
потребностей общества, то есть совокупность разнообразных приемов, методов и
инструментов организации работы. Кроме того, маркетинг образовательных услуг,
это социальная техника, опирающаяся на применение методов маркетинга в сфере
общественных и межличностных отношений.
В результате, подводя
итог проведенному в работе анализу, можно сказать, что НОУ "МОЙ МИР"
достаточно успешно функционирует на рынке образовательных услуг города
Благовещенска. Некоторые отрицательные моменты имеющиеся в работе организации,
могут быть устранены в ближайшем будущем.
Технология разработки
маркетинговой стратегии НОУ "МОЙ МИР" включает следующие шаги:
Аспектный анализ
внешней и внутренней среды образовательного учреждения средствами SWOT-анализа:
выделение сильных и слабых сторон образовательного учреждения и конкурентов,
возможностей и опасностей окружающей среды.
Определение
маркетинговых целей: удовлетворенность образовательными услугами;
сформированность образовательных потребностей школьников и их родителей.
Цели стратегии должны
увязываться с гуманитаризацией маркетинговой деятельности, призванной не только
удовлетворить, но и сформировать потребность школьника к самопознанию,
осознанию роли человека в обществе.
Библиографический
список
1.
Андреев
С.Н. Маркетинг некоммерческих субъектов - М., 2002
2.
Арасланов
Т. Н. Маркетинг услуг: уточнение некоторых понятий с экономической точки зрения
// Маркетинг в России и за рубежом. № 2. 2004.
3.
Афоничкин
А. И., Горелик О.М., Волохин С.Б.Повышение конкурентоспособности
образовательных услуг высшей школы в регионе (на примере Самарской области) //
Маркетинг образовательных услуг. М.: МЭСИ. 2002. – 69 с.
4.
Басовский
Л.Е. Маркетинг: курс лекций - М., 2003
5.
Балабанов
И. Т. Финансовый анализ и планирование хозяйствующего субъекта. - М.: "Финансы
и статистика", 2002. – 206 с.
6.
Бердникова
Т.Б. Анализ финансово-хозяйственной деятельности. - М.: "Финансы и
статистика", 2002. – 623 с.
7.
Голубков
Е. П. О некоторых понятиях и терминологии маркетинга // Маркетинг в России и за
рубежом. № 5. 2003
8.
Ганаева,
Е.А. Некоторые аспекты достижения конкурентоспособности образовательных
учреждений /Е.А.Ганаева //Модернизация образования: проблемы и перспективы:
материалы регион. науч.-практ. конф. – Оренбург: Изд-во ОГПУ, 2002. ч. 1– С.
391-397.
9.
Гиляровская
Л. Т. Анализ и оценка финансовой устойчивости коммерческого предприятия. СПб и
др.: ПИТЕР, 2003. – 249 с.
10.
Миронова
Н. В. Маркетинг различных типов услуг // Маркетинг в России и за рубежом. № 4.
2003.
11.
Полипенко
Н.Н, Татарский Е.Л. Основы маркетинга: Учебно-методическое пособие. -
М., 2002.
|