Книга: Маркетинг услуг
Книга: Маркетинг услуг
1.1.
Формирование рынка услуг
Объективной
закономерностью современного развития мировой цивилизации является приоритет
социальных аспектов, совокупность явлений, тенденций и пропорций, формирующихся
в социальной сфере.
Экономическая
парадигма, в течение ряда десятилетий господствовавшая в отечественных и
зарубежных управленческих системах, концентрировала внимание на преимущественно
материально-вещественных аспектах проблемы, отводя им роль доминант
общественного развития. Так укрепилось мнение, что именно экономический рост и
экономическое развитие являются залогом обеспечения растущих человеческих
потребностей. В качестве доказательства рассматривалось возрастание уровня
благосостояния в ряде общественных систем, активно развивавшихся в
экономическом отношении. Однако на современном этапе «сугубо экономическая»
идеология начала утрачивать свои лидирующие позиции. Был обобщен опыт
достаточно большого числа стран, свидетельствующий о том, что быстрый экономический
рост не позволяет иногда удовлетворить даже основные материальные потребности
значительной части населения, создать благоприятный социально-духовный климат,
решить проблемы культуры, нравственности, общественной морали и этики.
Современная
наука формирует новый подход к проблемам управления. Ставя во главу угла
существование человека, социальных групп и общества в целом, она выдвигает их в
качестве целевых ориентиров социально-экономического развития, определяющих
весь комплекс преобразований, охватывающих взаимосвязь экономических,
социальных и экологических аспектов.
Уровень
развития непроизводственной сферы является одним из важнейших показателей
развития социально-экономического комплекса любой страны. Формируясь под
влиянием сложных общественных процессов, он отражает всю совокупность
социально-экономических проблем, их динамику и перспективы.
Развитие
непроизводственной сферы можно рассматривать и как перспективную глобальную
тенденцию гуманизации общественных отношений, переход от производства вещей к
«производству людей».
Непроизводственная
сфера на современном этапе развивается более высокими темпами, нежели
производственная. Например, в странах Западной Европы в ней задействовано более
66 % от общего числа занятых, в США — 73 %, а в приросте новых рабочих мест на
этот сектор приходится 80-90 % [2]. Разграничение материального производства и
непроизводственной сферы исходит из диалектики материального и идеального, имеющей
решающее значение для понимания единства и многообразия общественной жизни,
развивающейся в относительно самостоятельных, но неразрывно связанных сферах
общественного производства.
Сфера,
выходящая за рамки собственно материального производства, уже несколько
десятков лет привлекает внимание ведущих зарубежных и отечественных
исследователей-философов, экономистов, социологов.
Особенно
интересны работы, опубликованные за период с конца 70-х гг., ознаменовавшие
собой переход к новой фазе общественных представлений, сочетающей познание
глубинных, философских основ проблемы с прикладными исследованиями [2,10, 12].
Получены
результаты в изучении характера труда в непроизводственной сфере и
социально-экономических форм его существования, предприняты попытки
социально-философской и социально-экономической оценки разнокачественных
результатов материального и духовного труда.
Вместе с тем
обнаруживается ряд методологических трудностей, проявляющихся, в первую
очередь, в множественности терминов, употребляемых для обозначения одной и той
же социально-экономической реальности: «непроизводственная сфера»,
«нематериальная сфера экономики», «сфера услуг», «нематериальное производство»,
«духовное производство».
Причины
такого разнообразия кроются в стремлении искусственно присоединить отдельные
отрасли хозяйства к той или другой сфере общественного воспроизводства, в
неполном раскрытии сути и закономерностей процессов, протекающих в каждой из
этих сфер.
Практика
статистического учета предполагает общее деление народного хозяйства на две
части: материальное производство и непроизводственная сфера. При этом к сфере
материального производства относятся все виды деятельности, создающие
материальные блага в виде продуктов, энергии и в форме перемещения грузов, хранения
продуктов, сортировки, упаковки и других функций, являющихся продолжением
производства в сфере обращения.
Остальные
виды деятельности, в процессе которых материальные блага не создаются, образуют
в своей совокупности непроизводственную сферу деятельности.
В
непроизводственную сферу включают:
•
жилищно-коммунальное хозяйство и бытовое обслуживание населения;
•
транспорт и связь по обслуживанию организаций непроизводственной сферы
населения;
• геологию и
разведку недр (за вычетом глубокого разведочного бурения на нефть и природный
газ);
•
здравоохранение, физическую культуру и социальное обеспечение;
•
просвещение;
• культуру и
искусство;
• науку и
научное обслуживание;
•
финансово-кредитное и страховое обслуживание;
•
управление;
•
общественные организации.
В данном
случае имеет место простое, формальное закрепление стихийно сложившегося у
практиков условного обозначения термином «непроизводственная сфера»
совокупности отраслей, не входящих в материальное производство.
В
современной социально-экономической литературе для характеристики
непроизводственной сферы далеко не всегда используется тот же перечень
отраслей. В ряде случаев из него исключают геологию и разведку недр, а также
науку и научное обслуживание, но присоединяют торговлю, снабжение и сбыт,
заготовки, жилищное строительство [10]. При этом подчеркивается теоретическая
правомерность использования как инвариантов терминов «непроизводственная
сфера», «сфера обслуживания населения», «сфера услуг».
Наибольшей
терминологической неустойчивостью обладает понятие сферы услуг. Традиционный
подход предполагает включение в эту сферу только пассажирского транспорта,
системы бытового обслуживания населения, связь (по обслуживанию
нематериального производства и населения), здравоохранение, физкультуру и
спорт. В ряде случаев сюда включают и систему видов социальной деятельности —
кредитование, страхование, управление, охрану общественного порядка, социальное
обеспечение, деятельность общественных организаций. Противоречия в отношении
названий или присутствия в той или иной сфере отдельных отраслей и видов деятельности
на первый взгляд не принципиальны. Однако за ними скрываются противоречия
социально-экономического содержания процесса структуризации общественного
воспроизводства и категориальная необеспеченность этого процесса.
Очевидно,
что структура общественного производства не есть нечто навсегда заданное. Она
представляет собой многоаспектное понятие, находящееся в постоянном развитии и
сочетающее процессы дифференциации и интеграции. При этом для выделения
непроизводственной сферы и материального производства могут быть использованы
различные критерии. Широко известны следующие критерии:
1.
Участие отраслей и видов деятельности в создании материальных благ.
2. Прямое
(потребляющее) воздействие на природу. Если деятельность отрасли направлена на преобразование вещества
природы с целью его приспособления к человеческим потребностям, она относится
к материальному производству. К непроизводственной сфере относятся те виды
деятельности, в которых продукт обменивается и потребляется.
3.
Овеществление результатов труда.
Если такое
овеществление отсутствует, деятельность относится к непроизводственной сфере.
Трудно
сказать какой из критериев в наибольшей степени соответствует принципам
дифференциации хозяйственного комплекса. Они имеют различную экономическую
природу, выделяют различные качества деятельности и не лишены теоретической
обоснованности. Вместе с тем в современных условиях формируется новый подход к
разделению сфер общественного воспроизводства, выделяющий социальные аспекты.
Непроизводственная сфера представляется при этом как сложная система, развитие
которой направлено на обеспечение социальных потребностей общества.
Нетрудно
заметить, что и само понятие непроизводственной сферы все более приобретает
«социальный оттенок». В последние годы получили распространение такие понятия,
как «социальная сфера», «социальная инфраструктура»,
«социально-культурно-бытовая сфера» и т. п. Изменение названий неформально. Оно
приближает непроизводственную сферу к человеку, ориентирует ее на создание
условий жизнедеятельности, отвечающих современным реалиям.
Ориентируясь
на социальные признаки, можно определить непроизводственную (или социальную)
сферу как комплекс отраслей хозяйства, выполняющих функции обслуживания,
удовлетворения материальных и духовных потребностей населения, создания наиболее
благоприятных условий жизнедеятельности.
Если
рассматривать организации социальной сферы с точки зрения классической
экономической науки, то очевидно наличие у них всех экономических параметров,
присущих функционированию любых предприятий, организаций и учреждений. Отрасли
непроизводственной сферы выполняют определенные социально-экономические
функции, используют основные фонды, материальные и трудовые ресурсы, требуют
инвестиционного обеспечения и т. д., т. е. обладают свойствами, позволяющими
рассматривать их как организованное производство. Поэтому именно социальные
критерии приобретают в данном случае определяющее значение. Непроизводственная
сфера есть элемент, непосредственно связанный с человеком, а признаком,
позволяющим выделять непроизводственную сферу в единый, самостоятельный
комплекс, является ее социальная направленность.
Целью
развития непроизводственной сферы является непосредственное удовлетворение
потребностей человека. Но и материальное производство имеет своей целью
удовлетворение человеческих потребностей. Однако такое удовлетворение не
осуществляется непосредственно. Оно имеет несколько ступеней и стадий,
разнесенных во времени и пространстве. Непроизводственная же сфера
функционирует в условиях совпадения производства и потребления. Ее особенность
состоит в том, что она не просто часть общественного производства, но элемент,
непосредственно формирующий социально-экономические условия. Именно в
непроизводственной сфере, ее пропорциональности и уровне развития имеет
отражение качество жизни населения, степень его благосостояния и жизнеустройства.
Наиболее
полное определение непроизводственной сферы может быть сформулировано следующим
образом: непроизводственная сфера — это сфера приложения труда, в которой в,
рамках производственных отношений производятся как материальные, так и нематериальные
услуги, а также организуется обслуживание процесса потребления с целью удовлетворения
спроса населения на эти услуги.
С известной
долей условности для ее обозначения можно использовать термины «сфера услуг»,
«социальная сфера», «сфера обслуживания».
Социально-ориентированный
подход к разделению сфер общественного производства имеет свою специфику.
Здесь нет жесткой связи с отраслевой структурой, так как отраслевая структура
динамична и подвержена изменениям. В ходе ее развития постоянно возникают и
формируются как отдельные самостоятельные отрасли, так и новые виды
деятельности. Этот процесс отражает эволюция непроизводственной сферы.
Первоначально услуги включались в непосредственный процесс материального
производства, а затем по мере развития общественного разделения труда,
обособились в самостоятельные отрасли и подотрасли экономики.
Подобная
тенденция характерна для современного этапа общественного развития. Примером
тому может служить возникновение коммуникационно-информационной области.
Динамика
отраслевого состава выдвигает на первый план иные социально-экономические критерии,
не связанные со структурными характеристиками непроизводственной сферы, и в
первую очередь ее социальную направленность, целевую ориентацию на удовлетворение
потребностей населения.
Отраслевая
структура непроизводственной сферы зависит от функций, которые она выполняет.
Можно выделить следующие функции:
•
распределение и обмен;
•
потребительские услуги;
• охрана
здоровья населения;
•
просвещение;
• управление
и охрана общественного порядка.
Каждая из
функций включает в себя ряд видов (отраслей, подотраслей), назначением которых
является оказание определенных социальных услуг. Номенклатура таких видов
деятельности чрезвычайно широка и разнообразна. Более того, в современных условиях
она постоянно расширяется, пополняется и видоизменяется.
Изменения, в
ней происходящие, выражаются в более четкой фиксации социально-экономического
содержания, целей, функций и особенностей отдельных отраслей и видов
деятельности как объектов предпринимательства. Так, получила четкую
очерчен-ность и видовую самостоятельность рекреационная деятельность,
направленная на оказание услуг в проведении отдыха и досуга; туристическая
деятельность, имеющая целью удовлетворение познавательного спроса населения;
предпринимательство в сфере недвижимости и ряд других. Но при всем разнообразии
традиционных и относительно новых услуг можно выделить ряд общих черт,
объединяющих их в одну сферу. К ним относятся:
1. Единая
социальная направленность услуг. Предоставление услуг имеет целью непосредственное удовлетворение
потребностей человека.
2.
Историческая общность возникновения и развития услуг. Она связана с процессом обособления
услуг в самостоятельные отрасли в ходе развития процесса общественного
разделения труда.
3.
Сходство условий производства и потребления услуг. Производство многих услуг совпадает с
их потреблением во временном и пространственном отношении, образуя симбиозную
форму «потребительного производства». Это явление обусловливает отсутствие
осязаемых результатов производства услуг и затрудняет процесс потребительского
выбора. Потребитель может оценить полезность услуги только после акта
«производство — потребление» и заранее имеет лишь косвенную возможность для
оценки ее качества. Это свойство чрезвычайно важно для маркетинга, так как
обусловливает особую значимость его коммуникативного элемента.
4.
Сходство услуг в отношении возможности их хранения и транспортировки.
Услуги не
подлежат хранению и транспортировке. Это свойство увеличивает степень
предпринимательского риска во всех отраслях услуг (особенно в условиях
неустойчивой рыночной конъюнктуры), а также ставит задачу более точного учета
фактора времени и сезонности, «пиковых» нагрузок в течение суток или другого отрезка
времени.
Несохраняемость
услуг предъявляет особые требования к качеству маркетинговой деятельности. На
рынке услуг необходимо более тщательное согласование спроса и предложения,
особая гибкость и адаптивность производства, вынужденного без промедления
приспосабливаться к изменению потребительского спроса.
5.
Сходство услуг в отношении их связи с продуцентом. Услуга не существует отдельно от
производителя. В процессе ее производства всегда осуществляется личный контакт
производителя с потребителем. При этом возрастает значение квалификации
производителя услуг. От его профессиональных навыков, знаний, способностей и
коммуникабельности зависит конкурентоспособность фирмы, производящей услуги.
Причем с ростом индивидуализации запросов потребителя и расширением
ассортиментного ряда услуг повышается роль личных контактов потребителя услуг и
их продуцента.
6.
Сходство услуг в отношении широты качественных характеристик.
В условиях
совпадения производства и потребления услуг и зависимости результата
деятельности предприятия непроизводственной сферы от квалификации кадров
невозможно гарантировать постоянство качества услуг. Услуга существует как вид
человеческой деятельности, и ее качество может варьироваться в широких
пределах. Это обусловливает необходимость сведения к минимуму влияния фактора
непостоянства качества. С этой целью предприятие сферы услуг решает задачи
совершенствования кадровой структуры, повышения квалификации персонала,
внедрения современных технических средств и эффективных технологий.
Сложная
экономическая природа непроизводственной сферы придает специфический характер
складывающимся в ней экономическим отношениям. Во-первых, здесь действуют
экономические отношения материального производства. Они доминируют в сфере так
называемых «производственных» услуг, т. е. тех услуг, условия производства
которых наиболее близки к условиям материального производства. К
производственным услугам относятся услуги таких отраслей, как транспорт по
обслуживанию населения, связь, торговля, общественное питание, некоторые
бытовые услуги. Экономические отношения, формирующиеся в этих отраслях, по
существу не отличаются от отношений материального производства.
Во-вторых, в
основе развития непроизводственной сферы лежат отношения воспроизводства услуг
и нематериальных благ, что создает базу для обмена деятельностью между сферой
услуг и материальным производством.
Наконец,
в-третьих, экономические отношения в непроизводственной сфере включают
формирование общественно необходимых затрат труда.
Характер
экономических отношений в непроизводственной сфере и ее специфика позволяют
рассматривать эту сферу как цельный, самостоятельный и своеобразный
социально-экономический объект. Рыночная концепция развития непроизводственной
сферы предполагает использование всей совокупности маркетинговых методов,
направленных на обеспечение сбалансированности спроса и предложения.
1.2.
Рынок услуг и его особенности
Развитый
рынок, как известно, предполагает не только наличие рынка товаров, но и рынка
разнообразных услуг. При этом рынок услуг рассматривается как сфера обмена
услугами, которые являются результатом труда предприятий непроизводственной
сферы.
Рынок услуг
существует в единстве с товарным рынком и является одной из его
разновидностей, развивающейся в рамках общих законов рыночной экономики и
подчиняющейся этим законам. Вместе с тем он имеет ряд специфических черт,
обусловливающих особый подход к предпринимательской и маркетинговой
деятельности, призванной обеспечить удовлетворение спроса на услуги.
К основным
особенностям рынка услуг можно отнести:
1.
Высокую динамичность рыночных процессов. Она связана как с динамичным характером спроса на
услуги, подверженного значительному влиянию временнбго фактора, так и с
динамикой предложения на этом рынке, обусловленной гибкостью отраслевой
структуры услуг.
2.
Территориальную сегментацию.
Формы
предоставления услуг, спрос и условия функционирования предприятий услуг
зависит от характеристик территории, охваченной конкретным рынком. Поэтому
территориальный (географический) критерий является в данном случае
определяющим.
3.
Локальный характер.
Это свойство
рынка услуг также обусловлено влиянием территориальной специфики.
Испытывая
влияние территориальных условии, рынок услуг приобретает четкую
пространственную очерченность, в рамках которой формируются отличные от других,
но сходные между собой социально-экономические характеристики. Он локализован
в рамках территориальных образований, хотя масштабы этих образований могут
быть различными.
4.
Высокую скорость оборота капитала.
Она является
следствием более короткого производственного цикла и выступает как одно из
основных преимуществ бизнеса в сфере услуг.
5.
Высокую чувствительность к изменениям рыночной конъюнктуры.
Она
обусловлена невозможностью хранения, складирования и транспортировки услуг и,
как правило, временным и пространственным совпадением их производства и
потребления. Это свойство услуг создает определенные трудности в
производственной и предпринимательской деятельности, так как обусловливает
повышенные требования к точности анализа и прогноза спроса на услуги и других
факторов рыночной среды, увеличивает степень риска от их непредсказуемых
изменений.
6.
Специфику организации производства услуг. Продуцентами услуг обычно являются малые и средние
предприятия различного профиля. Обладая большей мобильностью, эти предприятия
имеют широкие возможности для гибкого реагирования на изменения рыночной
конъюнктуры. Кроме того, они, как правило, более эффективны в условиях
локального рынка.
7.
Специфику процесса оказания услуги.
Эта
специфика обусловлена личным контактом производителя и потребителя. Такой
контакт, с одной стороны, создает условия для расширения коммуникативных
связей, но с другой — увеличивает требования к профессионально-квалификационным
качествам, опыту, этике и общей культуре производителя.
8.
Высокую степень дифференциации услуг. Она связана с диверсификацией, персонификацией и индивидуализацией
спроса на услуги. Сложная структура спроса обусловливает появление новых,
нестандартных услуг, причем этот процесс получает все большее развитие по мере
насыщения рыночного спроса. Такое свойство рынка услуг можно рассматривать как
важнейший стимул к инновационной деятельности в этой сфере, так как поиск
услуги-новинки становится перманентным процессом.
9.
Неопределенность результата деятельности по оказанию услуги.
Результат
деятельности по оказанию услуги, подверженный во многих случаях влиянию личных
качеств производителя, не может быть заранее определен с достаточной точностью.
Его окончательная оценка возможна только после потребления услуги.
Первоначально могут быть использованы лишь косвенные методы его определения
(например, аналоговый), которые в условиях высокой чувствительности рынка к
изменению конъюнктурных факторов не всегда дают достаточно корректные
результаты. Чтобы предотвратить возможные ошибки, необходимо применять
специфические маркетинговые приемы: диверсифицировать ассортимент услуг,
совершенствовать коммуникационную политику, применять современные методы прогнозирования
спроса, развивать систему мониторинга спроса и т. д.
Рынок услуг
в различных отраслях данной сферы развит неодинаково. В системе
социально-бытового обслуживания, общественного питания, торговле, в
рекреационной сфере (в том числе в туризме) рыночные отношения получили
наибольшее развитие и формируют эффективный механизм удовлетворения общественных
потребностей. Но в таких отраслях, как культура, здравоохранение, образование
рыночные отношения не только имеют свою специфику, но и ограниченные
возможности. Здесь всегда присутствует значительный нерыночный сектор, в том
числе государственные организации и учреждения. Более того, именно они
занимают в этих отраслях доминирующее положение. Причины активного
государственного вмешательства в процесс производства и потребления подобных
услуг вполне объективны. Основной из них является недееспособность рынка в ряде
отраслей услуг. Мировая экономическая история имеет немало примеров,
характеризующих попытки обеспечить развитие образования, культуры,
здравоохранения исключительно в рамках активных рыночных отношений. Итогом
таких действий является ситуация, получившая в международной практике
наименование «проблемы неполного рынка», когда даже высокие средние показатели
по обеспечению общественных потребностей в этих услугах сопровождаются полным
исключением из их потребления большой части населения.
В этом
смысле характерен опыт США. Предоставление медицинских услуг на основе
свободного рынка при высоких средних показателях лишило возможности
пользоваться медицинской помощью около 17 млн граждан [2]. Только в начале 90-х
гг. введение всеобщего государственного медицинского страхования позволило
решить эту проблему.
Аналогичный
процесс развивался в сфере образования США или жилищных услуг Франции. Рынок
кредита на получение высшего образования или решения жилищной проблемы вне
государственного вмешательства не получал необходимого развития, так как
финансово-кредитные учреждения не имели стимулов к активной деятельности в
этой сфере. Высокая степень неопределенности возврата жилищных или
студенческих кредитов и их долгосрочный характер снижали заинтересованность
банков и других финансово-кредитных организаций в предоставлении таких займов.
Для решения этой проблемы потребовалось введение государственных гарантий и
субсидий в форме установления льготного процента на такие кредиты.
Вторая
причина, обусловливающая необходимость государственного регулирования в
отноше*ии ряда отраслей непроизводственной сферы, скрыта в самой природе этой
сферы, ее генетической основе. Непроизводственная сфера есть сфера производства
услуг и сопутствующих товаров, являющихся общественным благом. Она призвана
удовлетворять не только индивидуальные, но и общественные потребности.
Свойствами этих потребностей являются:
1.
Неделимость, т. е. невозможность предоставления отдельным лицам.
2.
Невозможность действия принципа исключения, т. е. отсутствие способа
исключения индивида из процесса пользования этими благами.
3. Трудность
нормирования.
Совокупность
благ, обладающих этими свойствами, называется чистыми общественными благами.
Таких благ в
реальной действительности сравнительно немного:
государственное
управление, национальная безопасность, экологическое регулирование,
противоэпидемические программы и программы по борьбе с социальными пороками.
Например, невозможно лишить индивида преимуществ, получаемых в результате
обеспечения безопасности государства или обусловленных развитием природоохранных
программ, мероприятий по борьбе с массовыми заболеваниями, социальными
аномалиями и преступностью.
В мировой
практике предпринимались попытки искусственного деления некоторых общественных
благ с целью их последующей продажи отдельным лицам и обеспечения возможностей
для действия активных рыночных механизмов. В частности, известны попытки
введения платы за пользование крупными парками или лесопарками. Цена учитывала
затраты на сооружение ограждений, содержание персонала по охране парка и
взиманию входной платы, проведение ландшафтных и садово-парковых работ и т. д.
Высокая цена пользования и психологические особенности поведения потребителей
в отношении пользования такими благами отнюдь не являлись стимулами к
добровольной оплате услуги на основе рыночного механизма. В западной литературе
эта неудача рыночного механизма получила название «проблемы безбилетного
пассажира» или «бродячих музыкантов» [18]. Для нее характерна ситуация, когда
число пользователей услуг превышает число покупателей этих услуг. На примере
услуг, предоставляемых музыкантами вне специально организованных музыкальных
программ, эта проблема проявляется наиболее ярко. Аудитория их слушателей
значительно превышает число лиц, добровольно оплативших приобретение их
услуги.
В этих
условиях необходимо принуждение потребителей к оплате общественных благ. Оно
осуществляется государством в форме налогообложения.
Третьей
причиной государственного вмешательства в деятельность отраслей
непроизводственной сферы является существование так называемых «внешних
эффектов» или «переливов». К ним относятся выгоды или издержки, выпадающие на
долю лиц, не участвующих в рыночной сделке.
Рыночные
отношения не могут не только компенсировать такие издержки, но и выявить их
существование. Например, внешний эффект от деятельности отраслей
здравоохранения проявляется в сокращении уровня заболеваемости, увеличении
продолжительности жизни и т. д. Этот эффект присутствует во всех отраслях
материального производства, сокращая затраты на компенсацию временной
нетрудоспособности граждан, вызванную заболеваниями, затраты на медицинское
обслуживание кадров и т. п. Этот же эффект проявляется и в сфере социального
обеспечения, науке, культуре и характеризует всю совокупность общественно
значимых процессов. Но внешний эффект от деятельности предприятия
здравоохранения не улавливается рынком, а рыночные отношения не создают
стимулов и не предлагают механизмов его компенсации. Нивелирование этого
процесса и создание целесообразных пропорций в развитии сфер общественного
производства нуждается в целенаправленном государственном регулировании.
Внешний
эффект может быть не только положительным, но и отрицательным. В современных
условиях наиболее наглядным отрицательным эффектом является процесс
загрязнения окружающей среды, вызванный деятельностью предприятий различного
профиля. Функционируя в рамках рыночных отношений, предприятия (преимущественно
производственные) не имеют оснований к добровольной компенсации экологического
ущерба, наносимого их деятельностью. При этом сам экологический ущерб
формируется под воздействием многих источников и по существу неделим. Это
обстоятельство обусловливает необходимость использования единых, централизованных
механизмов, регулирующих экологическую ситуацию и являющихся прерогативой
государства. Компенсация экологического ущерба осуществляется на основе
штрафных санкций, размер которых зависит от степени вредного воздействия на
экосистему со стороны конкретного предприятия.
Если внешний
эффект имеет отрицательный характер, необходимо более жесткое регулирование
деятельности, его вызывающей. При этом не только обеспечивается равноценность
вклада отрасли в совокупный общественный продукт, но и решается комплекс сложных
общественно значимых проблем.
Наконец, в
качестве четвертой причины, обусловливающей необходимость государственного
вмешательства в развитие сферы услуг, выступает естественная монополия
государства в решении многих социальных проблем. Имея основной целью решение
социальной задачи — обеспечение нормальных условий жизнедеятельности всех
членов общества, государство опирается в своей деятельности на
социально-ориентированный подход, реализуя его в рамках системного
социально-экономического управления. В этих условиях рыночный принцип
«затраты—прибыль» уступает место основному принципу государственного
регулирования — «затраты—социальные приоритеты». Опираясь на этот принцип,
государственное регулирование стремится обеспечить доступность важнейших услуг
для всех слоев населения независимо от уровня их доходов.
Говоря о
государственном вмешательстве в развитие той или иной сферы деятельности, надо
иметь в виду, что ни одну из отраслей экономики не минует это вмешательство.
Государство реализует налоговую политику и использует
запретительно-разрешительные рычаги применительно к любой отрасли. Оно же
осуществляет лоббирование отдельных отраслей в конкретных социально-экономических
условиях. Однако степень государственного вмешательства различна. В важнейших
отраслях социального комплекса — здравоохранении, просвещении, культуре — оно
не только более заметно, но и объективно необходимо.
Государственное
регулирование может осуществляться в различных формах:
1.
Субсидирование потребителей на целевой основе. Такое субсидирование позволяет
увеличить спрос на важнейшие услуги. К целевым субсидиям относятся стипендии,
кредиты на получение образования, жилищные кредиты, медицинское страхование,
финансовая поддержка малообеспеченных слоев населения и т. д.
2.
Субсидирование производителей услуг.
Оно имеет
целью увеличить предложение на рынке услуг и может осуществляться в виде
финансовой поддержки учреждений культуры, образования, здравоохранения, спорта
и т. д. Источником такого субсидирования является государственный или
муниципальный бюджет, а также различные целевые программы федерального, регионального
или муниципального уровня.
3.
Государственная собственность на факторы производства.
Регулирующее
влияние государства в развитие отраслей непроизводственной сферы должно иметь
определенные пределы. Например, необходимость введения бесплатных услуг и
ограниченный объем инвестиционных источников могут привести к возникновению
дефицита, нормированию и очередности потребления услуг. Избежать этих
недостатков позволяет рынок платных услуг. Но его активное развитие может
сопровождаться ценовой дискриминацией малообеспеченных слоев населения и
отсутствием возможности приобретения услуги для значительной части
потребителей. В отраслях непроизводственной сферы, нацеленных на удовлетворение
первоочередных потребностей человека, важнейших с точки зрения его
жизнедеятельности, такое развитие рыночных отношений совершенно недопустимо
Значительная
часть отраслей сферы услуг (в первую очередь производственных услуг) получает
эффективное развитие в условиях действия рыночного механизма, основанного на
реализации платных услуг. Рынок платных услуг рассматривается в совокупности с
товарным рынком и подчиняется действию законов, свойственных рыночным отношениям.
Но между рынком платных услуг и товарным рынком нет полного тождества. Их
отличия обусловлены спецификой услуг как товара особого рода, а также
спецификой экономических отношений, складывающихся на рынке платных услуг.
Экономические
отношения, действующие на рынке услуг, отличаются, во-первых, более сильной
мотивацией в экономическом пове- ' дении рыночных субъектов. Применительно к
потребителю она связана со стремлением достичь определенного социального
статуса. Утверждение социальной престижности выступает на рынке услуг одним из
важнейших факторов формирования спроса. Такой мотивацией, например, является
стремление приобщиться к образу жизни среднего класса или хорошо обеспеченных
слоев населения.
Что касается
производителей, то и их экономическое поведение в значительной мере обусловлено
социальными мотивами Так как производство услуг может осуществляться малыми
предприятиями, функционирование которых не требует столь значительных инвестиций,
как в сфере материального производства, то производитель имеет больше шансов в
самовыражении своей личности и утверждении социальной престижности. Такая
мотивация выступает одним из факторов увеличения предложений на рынке услуг.
Другой
особенностью рынка платных услуг является широкая возможность для
экономических экспериментов. Здесь формируются, в частности, условия для
применения современных форм хозяйствования, поиска новых форм
Так, в
России получили распространение такие формы хозяйствования, как кооперация,
аренда и т п. Целесообразное сочетание различных форм и методов ведения
хозяйственной деятельности позволяет обеспечить гибкость и адаптивность рынка
услуг, сбалансировать рыночный спрос и предложение.
1.3.
Иерархия потребностей и услуг
Маркетинг
представляет собой универсальный механизм управления рыночными процессами и
вполне применим в рамках непроизводственной сферы.
Маркетинг
услуг можно охарактеризовать как комплексную, программную деятельность на
рынке услуг, интегрирующую в себе процесс создания и производства
товара-услуги, а также доведения ее до потребителя на основе изучения
потенциального и реального спроса потребителей и конкретных рыночных условий.
Маркетинг
услуг преследует двуединую цель — максимизировать прибыль предприятия,
производящего и оказывающего услуги, и удовлетворить спрос потребителей.
Маркетинговая деятельность в сфере услуг строится в соответствии с принципами
гибкости, комплексности и адаптивности, предлагаемыми системой маркетинг-микс;
реализует всю совокупность функций, присущих маркетингу, — исследование рынка,
координация проектирования и производства услуг, оптимизация ассортиментного
ряда и распределение услуг, разработка ценовой политики, формирование спроса и
стимулирование сбыта услуг и др.
Одной из
особенностей маркетинга услуг является его нацеленность на удовлетворение
социальных потребностей. Услуга как специфический товар, как правило, не
существует отдельно от производителя. Ее потребление осуществляется в
агрегированной форме «потребительного производства». В этом отношении производство
и потребление всегда имеют одностадийный характер и не включают стадии хранения
и транспортировки, свойственные процессу производства и потребления
Потребление услуги, таким образом, связано с прямым удовлетворением
потребностей человека — социальных потребностей. Последние и составляют
объективную основу для формирования рынка услуг.
Что же
представляют собой социальные потребности? Трудно найти более распространенную
категорию, проникшую во все области человеческих знаний, чем категория
потребности. Потребности изучаются философами, экономистами, биологами,
психологами. Они занимают внимание специалистов инженерно-технической, научно-производственной
и финансовой сфер. К ним обращаются политики, юристы, историки, деятели
культуры и искусства.
Потребность
в ее общей трактовке есть «надобность, нужда в чем-нибудь, требующая
удовлетворения» [20]. Социально-экономическая наука трактует категорию
«потребность» более широко. Потребность здесь — это необходимость, нужда в
чем-либо, объективно необходимом для поддержания жизнедеятельности и развития
организма, человеческой личности, социальной группы, общества в целом.
Потребность
есть внутренний побудитель активности.
Потребности
принято делить на биологические, свойственные животным и человеку, и социальные.
Но и биологические потребности, присущие человеку, социальны. Именно они
отражают необходимость поддержания и воспроизводства биологической жизни.
Потребности
имеют исторический характер. Они зависят от состояния экономики, уровня
развития культуры и науки, природно-климатических процессов и других факторов.
При этом выделяются индивидуальные (личные) и общественные потребности.
Потребность
— одно из качеств личности. Вместе с интересами и ценностными ориентирами они
определяют мотивы социального действия личности, его побудительные причины. Они
выражают отношения между личностью и обществом и рассматриваются как механизм
многих общественных процессов.
Общественные
потребности всегда объективны. Осознанные обществом, они выступают как
интересы групп инвалидов.
Потребность
— динамическая категория. На базе удовлетворения потребностей возникают новые,
более высокие. Это связано с включением личности в различные формы и сферы
деятельности.
Одним из
законов развития общества является закон возвышения потребностей, выражающий
рост и совершенствование потребностей личности, групп личностей и всего
общества с развитием производительных сил и культуры. Например, изменчивость
потребностей личности образует своеобразную иерархию, в основе которой лежат
витальные потребности (в воде, пище и т. д.), а на последнем уровне
располагаются социальные потребности в самоутверждении, самореализации,
активной творческой деятельности.
Процесс
формирования потребностей рассматривается современной наукой как механизм
опережающего отражения, позволяющий социально-экономическим системам
функционировать наиболее успешно и активно взаимодействовать с внешней средой.
Это свойство потребностей особенно важно с точки зрения маркетинга, так как
ориентирует маркетинговую деятельность на изучение потенциального (скрытого,
но могущего проявиться при определенных обстоятельствах) спроса потребителей.
Степень
обеспечения потребностей является итоговой характеристикой, результатом любой
человеческой деятельности. Взаимосвязанная с платежеспособностью потребителей
и образующая спрос на товары и услуги, она рассматривается и как результат маркетинговой
деятельности. При этом с помощью маркетинга как рыночной концепции управления
решается задача достижения определенной степени обеспечения потребности,
максимально возможной в конкретных условиях рыночной конъюнктуры.
Потребности
можно подразделить на три крупные группы: экономические, социальные и
экологические. Экологические потребности выражают взаимоотношения,
складывающиеся между природой и обществом. Социальные потребности являются
отражением общественных отношений.
Чтобы понять
сущность социальных потребностей, их структуру и механизм формирования,
обратимся к категории благосостояния общества.
На практике
категория благосостояния применяется для характеристики уровня удовлетворения
социальных потребностей, анализа его структурных компонентов и обоснования
приоритетов социального развития. При этом благосостояние рассматривается как
совокупность благ, находящихся во владении, распоряжении и использовании
отдельных субъектов, их групп и общества в целом, предназначенных для
удовлетворения разнообразных потребностей личности. Благосостояние имеет целью
удовлетворение потребностей и является его основой.
Блага могут
быть природными (например, плодородие почвы, полезные ископаемые) и
являющимися продуктом деятельности человека. Но в обоих случаях они составляют
социальное определение предмета, его полезное значение.
Различают
вещные и духовные блага. Вещные (или материальные) блага имеют материальную
форму существования, духовные блага — продукты духовного производства. Но такое
деление имеет некоторую условность. Часть ценностей не может быть полностью
отнесена ни к одной из этих групп, так как обладает признаками обоих. Среди них
— разнообразные предметы творчества, исторические документы, достижения
научно-технического прогресса и т. д. Являясь продуктом духовного производства,
эти ценности существуют в материально-вещественной форме. С этой точки зрения
можно предложить следующую классификацию благ: имеющие
материально-пространственную форму выражения и не имеющие таковой. К первой
группе относятся в основном материальные блага: пища, жилище, одежда и т. п. Но
сюда же входит и часть духовных благ — элементы культуры, искусства, науки,
религии, которые представлены в материально-пространственной форме. Такую
группу благ, можно охарактеризовать как совокупные материальные блага, имея, в
виду наличие в ней как вещных, так и духовных благ.
В состав
второй группы входят исключительно духовные блага, причем те из них, что не
способны иметь материально-пространственного выражения. К этой группе
относятся поведенческие устои и традиции, социально-психологический климат,,.
социальные идеи, элементы фольклора, этика и эстетика, национальная и
религиозная гармония и т. д. Эти блага можно характеризовать как «духовные»
(часть продуктов духовного производства рассматривается в первой группе).
Аналогичной
группировке могут подвергнуться и социальные потребности. Можно выделить совокупные
материальные потребности и потребности духовные.
Совокупные материальные потребности удовлетворяются предприятиями
социальной структуры. Социальная инфраструктура — это сочетание действующих
сооружений, зданий, сетей и систем, необходимых для организации процесса
удовлетворения социальных потребностей. Словом, это те объекты, что необходимы
для повседневной жизни человека.
Функционирование
предприятий и организаций социальной инфраструктуры осуществляется в рамках
экономических отношений, свойственных любому организованному производству, и
поддается непосредственному маркетинговому процессу. Решая задачи овладения
рынком услуг (как платных, так и бесплатных), предприятия непроизводственной
сферы могут использовать весь арсенал методов, предлагаемых современным
маркетингом как рыночной, концепцией управления. Именно эти предприятия и
выступают в качестве бизнес-субъектов рынка услуг, рассматриваемых в рамках
маркетинга услуг.
Духовные
социальные потребности, такие как потребность в социально-психологическом
комфорте, политической свободе, свободе вероисповедания, сохранении традиций
образа жизни и историко-культурных ценностей и т. д., не поддаются столь
жесткой формализации. Более свободные по сути, они формируются под воздействием
Многофакторных социально-экономических условий, в том числе материальных. Они
же создают условия для развития материальной сферы, формируя духовную среду
общества. В этом смысле они выступают как один из факторов, обусловливающих
динамику процесса обеспечения материальных потребностей; но это влияние
осуществляется опосредованно, через систему социально-духовных процессов.
Влиять на возможность их удовлетворения в рамках маркетинговой концепции
достаточно сложно, хотя и возможно. Этой цели служит ряд современных направлений
практического маркетинга — маркетинг социальных идей и институтов, политический
маркетинг, маркетинг личностей.
Процесс
удовлетворения социальных потребностей создает условия жизнедеятельности
населения. Эти условия характеризуются категорией «качество жизни».
Понятие
«качества жизни» тесно связано с понятием благосостояния общества. Оно
используется на практике для характеристики уровня благосостояния и является,
по существу, его измерителем.
Качество
жизни формируется под воздействием множества факторов: обеспечения населения
продуктами питания и возможностью получения бытовых услуг; жилищной
обеспеченности; состояния здоровья населения и возможностей для его сохранения
и восстановления; состояния природной среды; уровня доходов населения и степени
занятости; уровня инфляции и политической стабильности; возможности для
получения образования; развития духовной среды и безопасности жизнедеятельности
и т. д. Факторы разнохарактерны, описывают экономические, социальные и
экологические процессы, а их влияние оценивается разными методами и в различных
единицах измерения. При этом для оценки совокупного влияния факторов качества
жизни используется два подхода.
Первый
связан с поиском одного показателя, способного отразить динамизм и сложную
структуру факторов, формирующих качество жизни. Экономическая наука и практика
социально-экономических обоснований используют немало показателей такого рода.
Это продолжительность жизни, уровень рождаемости и смертности, продолжительность
свободного времени, уровень занятости населения, уровень инфляции и показатели
дохода, удельный вес инвестиций, направляемых на развитие непроизводственной
сферы, в суммарном инвестиционном потоке федерального, регионального или
местного уровня и др.
Такие
показатели могут использоваться как самостоятельно, так и в рамках
поликритериального подхода, когда оценка осуществляется последовательно, в
несколько стадий и по всем критериям. На каждой стадии один из показателей
является оценочным критерием, а другие выступают в качестве ограничений.
Процедура считается законченной, когда по каждому из рассматриваемых
показателей была выполнена соответствующая оценка.
Второй
подход к анализу и оценка влияния факторов качества жизни ориентированы на
использование совокупного показателя, интегрирующего систему разнохарактерных
факторов. Такой показатель агрегирует совокупность частных (или локальных)
показателей, выражающих степень удовлетворения определенной социальной
потребности (У .). Частные показатели измеряются соотношением нормативного и
фактического уровней удовлетворения потребности и являются, по сути, индексами
удовлетворения потребности:

где П
и П^ — фактический и нормативный (соответственно) уровни удовлетворения
1-й социальной потребности.
При
определении таких показателей всегда важен вопрос — какой уровень
удовлетворения потребностей считать нормативным. В условиях жесткого
административного управления использовалась обширная система норм и нормативов,
регламентирующих процесс удовлетворения потребностей. Такая нормативная база
имела необходимые научные обоснования и в полной мере соответствовала
специфике применяемой управленческой концепции. Однако в современных условиях,
когда процесс социально-экономического управления строится на принципах
рыночной ориентации, необходимы иные способы построения нормативной базы для
анализа формирования необходимого уровня удовлетворения потребностей. Это
обусловлено следующими обстоятельствами.
Во-первых,
процесс удовлетворения потребностей в условиях рыночных отношений отличается
более свободным характером и не имеет жестких регламентирующих рамок.
Во-вторых, на уровень удовлетворения потребности в рыночной сфере, когда
значительная часть услуг реализуется на платной основе, оказывает влияние
платежеспособность населения. На рынке платных услуг удовлетворяется не
потребность, а спрос на услугу, т. е. та часть потребности, которая обеспечена
деньгами. При этом спрос отличается широкой дифференциацией и динамизмом во
временном и пространственном отношениях.
В-третьих,
удовлетворение спроса на услуги связано с разнообразием качественных
характеристик. Требования к качеству услуг формируются под воздействием
комплекса социально-психологических мотиваций: утверждения социальной
престижности, представлений о приоритетах в потреблении услуг,
социально-культурных и эстетических воззрений, стремления к подражанию
социальным лидерам и т. д. Такие требования обусловливают широту нормативного
ряда в потреблении услуг, которая все более растет по мере развития рыночных
отношений.
В этих
условиях для построения нормативной базы показателей качества жизни
используется социально обусловленный уровень удовлетворения потребности,
отражающий не только запросы и вкусы потребителей, но и платежеспособность
населения, и социально-психологические особенности.
Для
определения социально обусловленного уровня удовлетворения потребностей
используется совокупность социологических методов: опросы, анкетирование,
тестирование и т. п. При проведении социологических обследований особенно важно
обеспечить репрезентативность выборочного наблюдения. Под этим понимается возможность
для всех социальных категорий участвовать в обследовании. Репрезентативность
наблюдения обеспечивается соответствием выборочных характеристик всей их
совокупности и случайностью выборки. Для обеспечения репрезентативности и
получения достоверных результатов используются специальные социологические
приемы, поэтому для проведения обследования целесообразно привлекать группы
профессионально подготовленных социологов.
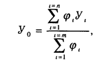
Располагая
частными показателями уровня удовлетворения социальных потребностей, можно
измерить совокупный (интегральный) показатель качества жизни Для этой цели
целесообразно использовать метод, предлагаемый инженерным прогнозированием,
учитывающий не только величину, но и значимость оцениваемых показателей [9].
Интегральный показатель качества жизни (У^„) имеет индексную форму выражения и
может быть исчислен следующим образом.

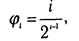
где (р —
весовой коэффициент, учитывающий место частного 1-го показателя в
последовательности, ранжированной по степени значимости; п — число
потребностей.
Алгоритм
использования данного метода включает в себя ряд этапов.
1.
Определение частных показателей уровня удовлетворения потребностей.
2.
Выстраивание ранжированной последовательности потребностей. На первом месте
располагается потребность, наиболее значимая в условиях конкретного рынка, на
последнем — наименее значимая
Для
обеспечения обоснованности и достоверности результатов рекомендуется
использовать экспертный метод. Используя экспертный метод, необходимо
следовать следующим принципам
• обеспечить
точность и ясность поставленных вопросов,
• привлечь
достаточно широкий круг экспертов;
• обеспечить
полную независимость суждений 3 Определение весовых коэффициентов (р,

где 1 —
номер варианта в ранжированной последовательности 4. Определение искомого
интегрального показателя (формула 2) Важно подчеркнуть, что для определения
частных и интегрального показателей необходимо использовать индексную
(безразмерную) форму выражения, так как в противном случае нельзя производить
математические расчеты Потребности разнохарактерны, а показатели уровня их
удовлетворения имеют разную размерность. Однако при определении относительных
значений (соотношение фактического и нормативного уровней) влияние размерности
устраняется, а полученный показатель приобретает индексную форму выражения
Каково
значение интегрального показателя качества жизни для маркетинга.
Во-первых,
он выступает как ориентир и итоговая характеристика в макромаркетинге и важен
для оценки деятельности государства в сфере рынка
Во-вторых,
он позволяет раскрыть структурные компоненты уровня жизнедеятельности
населения. Пользуясь структурой, наглядно представленной в ходе измерения интегрального
показателя качества жизни, с учетом методов инженерного прогнозирования можно
решать следующие маркетинговые задачи
•
разработать стратегию маркетинга (внедрение на новый рынок, расширение или
сокращение деятельности по оказанию тех или иных услуг, уход с рынка,
диверсификацию деятельности и т д.),
• дать
сравнительную оценку емкости рынков различных услуг,
• оценить
последствия предпринимательской деятельности на различных рынках,
• оценить
приоритетные значения тех или иных рынков, причем использовать при этом
информацию, полученную непосредственно от потребителей,
•
проанализировать динамику спроса на услуги и тенденции в соотношении спроса на
услуги различных видов;
• оценить
перспективы товарной и ассортиментной политики на различных рынках,
• дать
прогнозные оценки динамики спроса
Одним из
наиболее сложных вопросов в практике маркетинга является построение
иерархической структуры потребностей и услуг, их удовлетворяющих Назначением
такой структуры является формирование номенклатуры услуг, адекватно отражающей
характеристики рыночной среды Номенклатура услуг не должна быть чрезмерно
обширной, затрудняющей процесс обоснования стратегических маркетинговых
решении, но и не должна сужать представления о дифференцированном рынке услуг.
Для построения
иерархии потребностей и услуг можно использовать классификацию потребностей, в
состав которой входят четыре крупных блока — потребность в коммунально-бытовом
обслуживании; потребность в сохранении и восстановлении здоровья человека;
потребность в услугах культурно-просветительской сферы и потребность в услугах
сферы управления, регулирования и обмена, Эти блоки подразделяются на ряд менее
крупных, которые, в свою очередь, могут быть подвержены дальнейшей
структуризации. Так потребность в услугах коммунально-бытового обслуживания
можно подразделить на жилищно-коммунальную потребность, потребность в услугах
общественного питания и торговли, потребность в бытовых услугах. Потребности
этой группы могут быть детализированы до следующего, более низкого уровня
Например,
потребность в бытовых услугах включает в себя многочисленные потребности,
обеспечивающие повседневные нужды человека, его бытовые условия.
Последовательная
и поэтапно развивающаяся иерархия потребностей и услуг, с помощью которых они
удовлетворяются, образует своеобразную «древовидную» структуру, на первом
уровне которой размещаются укрупненные элементы, отражающие общий подход к
дифференциации услуг На втором уровне — менее крупные, детализирующие элементы
первого уровня, на третьем — детализирующие элементы второго уровня и т. д.
Итогом такой структуризации является построение «дерева потребностей» и
соответствующей ему иерархии услуг.
Процесс
структуризации потребностей и услуг в принципе бесконечен. Важно ограничить
его таким образом, чтобы отразить объективную картину сложившейся рыночной
структуры, не упрощая ее, но и не подвергая излишней детализации При этом
область деятельности, направленную на оказание услуг, обеспечивающих отдельную
группу потребностей (или потребность), можно рассматривать как отдельный
самостоятельный рынок. На этом рынке обращается товар в виде услуги или группы
услуг одного профиля. Процесс структуризации потребностей, таким образом,
сопровождается процессом структуризации рынка услуг, а их иерархические
взаимосвязи и взаимоотношения совпадают.
Степень
дифференциации рынка услуг зависит от конкретных маркетинговых задач. При
разработке рыночной среды и выборе объекта маркетингового воздействия можно
использовать укрупненную структуру рынка услуг, выстроенную в соответствии с
современными представлениями о структуре потребностей, удовлетворяемых на этом
рынке (см. с. 36). Однако для решения более конкретных задач — сегментация
рынка, изучение мотивов потребительского поведения и спроса, поиск целевого
рынка, разработка стратегии и тактики маркетинга и т. д. — необходима
детализация представленной структуры рынка услуг, базирующаяся на выделении
одного-двух последующих уровней «дерева потребностей».
1.4.
Территориальные аспекты развития рынка услуг
Маркетинг
услуг, как отмечалось, имеет целью создание и удовлетворение спроса населения
на услуги. Но население всегда сконцентрировано в определенных ареалах
(расселено). Характер расселения, сложившийся в территориальных границах
конкретного рынка, оказывает влияние на весь комплекс элементов системы
маркетинг-микс и формирует специфические методы и приемы маркетингового
воздействия.
Существуют
два типа расселения — компактный и дисперсный Компактный тип расселения
представляет собой плотную сеть поселений, взаимосвязанных системой дорог,
инфраструктурой, транспортным сообщением. Для дисперсного типа характерно
существование небольших поселений, находящихся на таком расстоянии друг от
друга, когда взаимодействие между ними затруднено.
В
соответствии с этим делением можно выделить два типа рынка услуг: компактный и
дисперсный. При этом основу для их выделения составляет принцип территориальной
(или географической) сегментации. Таким образом, территориальная сегментация
приобретает на рынке услуг ключевое значение, определяя его исходное деление на
две большие группы.
В условиях
компактного рынка сфера деятельности предприятий услуг имеет четкую
пространственную очерченность. Она может осуществляться в пределах городского
района, города, поселка или групп поселков и охватывать окружающую их
территорию. Территориальная структуризация при этом не связана в принципе с
административным делением, хотя возможны и совпадения ареалов маркетингового
воздействия с административно-территориальными единицами.

Товарная
политика на компактном рынке включает разработку и предоставление услуг
стационарными предприятиями и организациями сферы обслуживания, размещенными в
рамках данного территориального образования. В ее основе лежит изучение спроса
на услуги, характерного для данной территории. Принцип территориальной
сегментации при этом дополняется демографическим, социальным, поведенческим и
другими критериями. ^ Процесс производства и сбыта услуг на компактном рынке
часто Неоднороден. Он дифференцирован в зависимости от плотности населения
территории.
2. Известно, что плотность постоянного
и временного населения любого территориального образования подвержена
центробежным тенденциям. Более высокая в центральных районах, она уменьшается
по мере удаления от центра. Наиболее яркое проявление этой тенденции
характерно для крупных городов, где наблюдается существенное уменьшение
плотности населения по мере движения к периферийным районам. Аналогичный
процесс наблюдается и в относительно небольших поселениях, а также в рамках
крупных агломераций, имеющих не один, а несколько центров.
В районах с
высокой плотностью населения производство и сбыт услуг организуется в местах
наибольшей концентрации жителей. При этом важно учитывать не только постоянное
население района, но, что более важно, — временное население, которое
формируется под воздействием внутритерриториальной миграции. Концентрация
населения в отдельных «точках» обусловлена, как правило, не столько большим
числом лиц, живущих в данном районе, сколько их притоком к местам приложения
труда, административным центрам, культурно-историческим памятникам и т. п.
Собственно, этот процесс и обусловливает понятие «центральность», связанное с
увеличением концентрации населения.
В районах с
меньшей плотностью, периферийных по отношению к центру, спрос на услуги
ограничивается численностью постоянно проживающего населения. Здесь усиливается
влияние транспортных взаимосвязей территориальной среды. В таких районах целесообразно
организовать производство и сбыт услуг непосредственно в узлах транспортных
сообщений или в местах пешеходной доступности от этих узлов. Система сбыта,
таким образом, увязывается с существующей сеткой транспортных сообщений, а
перспективы ее развития обусловлены тенденциями развития дорожно-транспортной
инфраструктуры.
Для
продвижения товара и формирования спроса на компактном рынке услуг применяются
особые методы и приемы. В частности, здесь используются специфические средства
коммуникаций между производителем и потребителем. Вряд ли целесообразно
отдавать приоритет центральным и даже региональным средствам коммуникаций
Более рационально использовать местные коммуникативно-информационные сети
местное телевидение и радио, периодическую печать, рассчитанную исключительно
на потребителей данного рынка и учитывающую их специфику, передачи кабельного
телевидения, рекламные агентства локального характера и т. д
Весьма
эффективны на компактном рынке и личные контакты с потребителями, позволяющие
обеспечить более точный учет их вкусов и предпочтений, укрепить доверие к
производителю, подчеркнуть положительные качества производителя, его заботу о
нуждах конкретных потребителей.
В условиях
компактного рынка, особенно в случае существования крупных агломераций,
взаимосвязанных с окружающими территориями, проявляет свое действие закон
Рейли. Согласно этому закону, с увеличением числа жителей города увеличивается
число посторонних потребителей, не проживающих в его черте. Аналогичный
процесс наблюдается и внутри городских образований, когда густонаселенный район
как бы «притягивает» к себе потребителей менее населенных районов Закон Рейли
объясняет это явление как «распределение уходящей за пределы населенного пункта
покупательной силы» [6, с 139]. Существование этого явления служит еще одним
основанием целесообразности размещения предприятия услуг в районах или
населенных пунктах с большой концентрацией населения
На
дисперсном рынке процесс удовлетворения спроса на услуги значительно
усложняется Здесь, как правило, недостаточна ориентация на решение
транспортных проблем, хотя действие этого фактора сохраняется Необходимо
ориентировать маркетинг в сторону поиска специфических форм предоставления
услуг Товарный ряд строится на основе так называемых выездных услуг,
предоставляемых потребителю через определенные промежутки времени и в ограниченные
сроки Номенклатура таких услуг не столь обширна, но позволяет обеспечить
основные потребности населения
Например,
спрос на услуги в области образования можно удовлетворить за счет организации
кратковременных курсов обучения по направлениям, соответствующим специфике
труда потребителей. Спрос на услуги в области культурного обслуживания можно
удовлетворить с помощью организации выступлений деятелей театрального
искусства, известных исполнителей, поэтов, писателей, демонстрации выставочных
экспозиций и многих других мероприятий временного характера На российском рынке
приобрели популярность и такие формы предоставления услуг, как выездная
торговля, передвижные кино- и видеоустановки, пункты бытового обслуживания и т
п
Изменяя
технологию предоставления услуг, маркетолог ориентируется на специфику
пространственного распределения спроса. Среди критериев сегментации усиливается
влияние территориальной доминанты
Спрос на
услуги всегда связан со спецификой образа жизни, характерного для конкретного
рынка Дисперсный рынок в этом смысле отличается наибольшей сложностью
Складываясь из группы локальных рынков, размещенных на значительном расстоянии
друг от друга, он отличается большим разнообразием поведенческих типов На
локальных рынках небольших поселений существует, как правило, особый стиль
потребительского поведения, обусловленный местными традициями образа жизни Это
затрудняет работу маркетолога, вынужденного приспосабливаться к условиям
широкой дифференциации спроса Сложности транспортных сообщений неизбежно оказываются
на уровне обеспечения потребностей потребителей дисперсного рынка Он, как
правило, отстает от уровня компактного рынка, а дефицит и монополия на
производство услуг — обычные явления на дисперсном рынке На начальном этапе
освоения такого рынка существует целый комплекс условий, способствующих эффективности
предпринимательской деятельности в сфере услуг значительный необеспеченный
спрос, удобство поиска «ниши рынка», низкий уровень конкуренции и даже ее
отсутствие, низкий уровень затрат на стимулирование спроса и т. д. Но по мере
насыщения рынка влияние данных факторов ослабевает и предпринимательская деятельность
приобретает ограниченные условия для развития. Однако если скорость решения
транспортных проблем будет адекватной скорости насыщения рынка, влияние
сдерживающих факторов может быть компенсировано за счет улучшения транспортной
оснащенности дисперсного рынка.
Таким
образом, маркетинг в сфере услуг тесно связан с характером расселения,
сложившимся в территориальных границах выбранного сегмента рынка.
Маркетинговая деятельность предприятия услуг включает в себя:
• решение
проблем транспортной доступности потребительского рынка;
• коррекцию
технологии производства и распределения услуг в зависимости от характера спроса
и предложения;
• внедрение
специфических форм удовлетворения спроса на услуги;
•
использование принципа территориальной сегментации;
• применение
индивидуализированных методов стимулирования спроса.
2.1.
Принципы, функции и концепции маркетинга услуг.
Эволюционный
процесс позволил маркетингу оформиться в строгую и стройную систему знаний,
включающую самостоятельные принципы, методы и приемы Современный маркетинг
представляет собой область экономической науки, рассматривающей процесс
создания, производства и реализации товаров и услуг в интегрированной
совокупности, направленной на выявление требований потребителей и определение
возможностей их удовлетворения в конкретных условиях рыночной среды Основной
принцип, действующий на всех стадиях маркетинга, — принцип обратной связи
между производителем услуг и потребителями Маркетинг как рыночная концепция
управления позволяет организовать производство и сбыт услуг таким образом,
чтобы обеспечить максимально возможную сбалансированность спроса и предложения
в конкретных условиях рыночной конъюнктуры.
Принципы
маркетинга в сфере услуг аналогичны принципам традиционного маркетинга, но в
их соотношениях и влиянии на характер маркетинговой деятельности есть
некоторые особенности
Наиболее
общими принципами, как известно, являются следующие.
•
производить товар, полностью соответствующий спросу потребителей,
• выводить
на рынок средства решения проблем потребителей, воплощенные в конкретном
товаре,
•
ориентироваться на достижение конечного результата производственно-сбытовой
деятельности — эффективную реализацию товара и овладение определенной долей
рынка,
•
использовать принципы программно-целевого метода и комплексного подхода;
•
интегрировать стратегию приспособления к изменяющемуся спросу с активным
воздействием на него и создавать условия для воспроизводства спроса,
•
обеспечивать перманентность инновационного процесса, позволяющего
ориентироваться на долгосрочную перспективу,
• учитывать
социальный фактор на всех этапах маркетингового процесса.
В маркетинге
услуг доминирующее положение приобретает необходимость учета социальных
факторов. Результаты деятельности предприятий и организаций, производящих
услуги, непосредственно формируют социальную среду и условия жизнедеятельности
человека, а сам маркетинг услуг может рассматриваться как особый вид
социальной работы.
На рынке
услуг усиливается действие принципа адекватности меняющегося спроса и способов
производства и реализации продукта.
Это
обусловлено, во-первых, динамичностью спроса на услуги вследствие развития
социальных потребностей и изменения платежеспособности, а во-вторых,. — особой
значимостью показателей удовлетворения спроса. Такие показатели выступают в
качестве итоговой характеристики любой социально-экономической деятельности.
Эти обстоятельства, а также свойство несохраняемости услуг обусловливают
необходимость более точного учета спроса.
Одним из
основных принципов маркетинга услуг является принцип учета внешних эффектов.
Социальная деятельность часто сопряжена с появлением эффектов, выпадающих на
долю лиц, не участвующих в сделке. Таковые составляют, как правило,
многочисленную группу членов общества. Внешний эффект в таких случаях может
существенно изменить сложившиеся социальные условия, а иногда и повлиять на ход
экологических и экономических процессов. Особенно важно соблюдение этого
принципа при опасности возникновения отрицательного внешнего эффекта (например,
нарушение экологического равновесия, дисбаланс между характером образования
населения и потребностью в специалистах и т. п.).
Маркетинговая
деятельность представляет собой попытку сделать максимально управляемым
процесс производства и реализации услуг. Отсюда главная функция маркетинга —
организация комплексной деятельности по производству и сбыту услуг с учетом морально
устаревших услуг и продвижением на рынок услуг-новинок. Реализация этой
основной функции дополняется комплексом разнообразных функций и видов
деятельности:
• изучение
рынка услуг и анализ результатов исследования;
• выявление
существующего и потенциального спроса потреби-' телей на услуги;
•
организация научно-исследовательской деятельности по созданию и производству
услуг-новинок, координация проектирования и производства услуг;
•
оптимизация ассортиментного ряда услуг и системы их распределения;
•
Планирование производства и сбыта услуг, поиск источников финансирования;
• разработка
ценовой политики;
•
формирование спроса на услуги и стимулирование сбыта с помощью средств
рекламного воздействия;
•
формирование имиджа предприятия сферы услуг и общественного мнения по
отношению к морально устаревшим услугам.
Разнообразие
функций и видов деятельности, присущих маркетингу, требует существования
единой основы ведения бизнеса в непроизводственной сфере. Такую основу может
составить одна из пяти современных концепций маркетинга. Каждая из концепций
предполагает собственный подход к маркетинговой и всей предпринимательской деятельности
и может рассматриваться как особая идеология бизнеса.
Концепции
маркетинга в сфере услуг перекликаются с соответствующими концепциями
товарного рынка. Они лишь подчеркивают особенности производства услуг, их
характера и условий реализации [18].
1.
Концепция совершенствования деятельности предприятия услуг.
Она близка
по сути к производственной концепции и предполагает, что потребители будут
заинтересованы в услугах, доступных ввиду их низкой цены. Тогда задача,
стоящая перед руководством предприятия, — повышение экономических показателей
деятельности (в частности, рост экономической эффективности) как основы для
снижения цены.
Использование
этой концепции целесообразно применительно к массовым услугам, удовлетворяющим
основные потребности человека и потребляемым часто и многократно (например,
большинство бытовых услуг). Такая концепция вполне оправдана, а иногда и единственно
возможна в условиях ограниченной платежеспособности населения, когда низкий
уровень доходов не позволяет потребителям оплачивать дорогостоящие услуги.
2.
Концепция совершенствования услуг.
Являясь
аналогом товарной концепции, она исходит из того, что потребитель оказывает
предпочтение услугам высокого качества. Эта концепция применима в сфере
производства неосновных услуг, когда потребление услуг носит нерегулярный
характер. Примером целесообразного использования этой концепции является сфера
шоу-бизнеса, где один потребитель может потреблять продукт один или несколько
раз. В этом случае даже при ограниченной платежеспособности потребитель может
найти возможность оплаты дорогостоящей услуги.
Концепция
совершенствования услуг целесообразна в условиях высокой индивидуализации
спроса, когда существует часть потребителей, нуждающихся в конкретных,
индивидуальных услугах повышенного качества В этом случае важно верно оценить
платежеспособность потребителей.
3.
Концепция интенсификации коммерческой деятельности. Данная концепция созвучна типичной
для товарного рынка сбытовой концепции, но в ее использовании есть некоторые
особенности. Она базируется на утверждении, что услуги предприятия услуг не
будут востребованы в достаточном количестве, если не побуждать к этому
потребителя с помощью методов интенсивного стимулирования. При этом наряду с
использованием традиционных методов стимулирования, таких как личная продажа,
реклама в средствах массовой информации, организация встреч с потребителями и
т. д., используются преимущества, обусловленные благоприятным общественным
мнением по отношению к предприятию сферы услуг, его имиджем. Необходимость
постоянной работы по формированию имиджа обусловлена спецификой продукта
предприятия сферы услуг. Немедленное потребление услуг непосредственно в ходе
их производства и необходимость заранее оплачивать услугу не позволяют потребителям
оценить качество услуги прямыми методами. Оценивая качество услуги и ее
способность удовлетворить ту или иную потребность, потребитель вынужден
пользоваться косвенной информацией — мнением других потребителей, сложившимися
представлениями о добросовестности производителя, его престижем на конкретном
рынке. В этих условиях имидж предприятия становится важнейшим инструментом в
реализации задач овладения рынком, отодвигая на второй план другие инструменты
маркетингового воздействия. Концепция интенсификации коммерческих усилий дополняется
на практике элементами социально-этического маркетинга, позволяющего активно
влиять на формирование имиджа
4.
Концепция традиционного маркетинга.
Основные
положения этой концепции идентичны подходу, используемому на товарном рынке.
Она строится на том, что предприятие сферы услуг с помощью специальных
исследований выявляет нужды и запросы потребителей целевого рынка,
прогнозирует их поведение и определяет потенциальные возможности спроса, а
затем, действуя в рамках системы маркетинг-микс, обеспечивает желаемое
удовлетворение спроса
5.
Концепция социально-этического маркетинга.
На рынке
услуг существует целый комплекс предпосылок для развития данной концепции
Во-первых,
сама социальная направленность деятельности отраслей услуг создает условия для
решения широкого круга общественно-значимых проблем Любая деятельность в этой
сфере выступает как фактор формирования условий жизнедеятельности населения В
этом смысле она всегда учитывает общественные интересы.
Во-вторых,
элементы социально-этического маркетинга, способствующие утверждению
социальной ответственности и этики предпринимателя, являются ключевым фактором
формирования имиджа предприятия, вне которого эффективная деятельность на
рынке услуг, как правило, невозможна.
В-третьих, в
непроизводственной сфере присутствует значительный неприбыльный сектор.
Деятельность неприбыльных организаций всегда использует социально-этические
принципы, рассматривая их как один из видов социального маркетинга.
Представленные
концепции маркетинга услуг составляют основу выбора бизнес-стратегии и
стратегии маркетинга, реализуемых в процессе производства и реализации
разнообразных услуг.
2.2.
Маркетинговая среда предприятий услуг
Современный
маркетинг направлен на установление, поддержание и развитие процесса обмена с
целевыми группами потребителей для удовлетворения их спроса и обеспечения роста
прибыли, а также для укрепления позиций предприятия в меняющейся конкурентной
среде Для реализации этих задач используется совокупность последовательных
действий, ключевым элементом которых является разработка комплекса маркетинга
Такая совокупность объединяет ряд крупных блоков
1 Разработку
маркетинговой среды предприятия услуг и анализ его рыночных возможностей
2 Анализ
спроса на услуги, прогноз его изменений и разработку целевого рынка (рынков)
3 Разработку
комплекса маркетинга, интегрирующего совокупность направлений и методов
маркетингового воздействия
4 Реализацию
мероприятий, формирующих комплекс маркетинга
Основой
анализа рыночных возможностей предприятия является исследование его
маркетинговой среды. Маркетинговая среда рассматривается как совокупность
элементов, формирующих и обусловливающих возможности предприятия по овладению
конкретным потребительским рынком
Маркетинговая
среда предприятия услуг имеет сложную структуру и подвержена процессу
дифференциации. В качестве критерии дифференциации выступает степень
управляемости факторов внешней среды со стороны руководства предприятия
Наиболее
общая группировка маркетинговой среды выделяет два структурных компонента —
внутреннюю и внешнюю среды
Внутренняя
среда объединяет структурные подразделения самого предприятия, решающие
собственные функциональные задачи, но подчиненные единым целям фирмы. Такие
элементы поддаются непосредственному управляющему воздействию со стороны
руководства предприятий, что позволяет рассматривать их как единую взаимосвязанную
совокупность
Элементы
внутренней среды многочисленны и разнообразны, как разнообразны функции и
направления их деятельности Сюда включены подразделения, занимающиеся
научно-исследовательскими и опытно-конструкторскими разработками, производящие
услуги и занимающиеся маркетинговой деятельностью, обеспечивающие
производственный процесс и осуществляющие административно-управленческие
функции.
К элементам
внутренней среды относятся системы подготовки кадров, социального обеспечения
коллектива предприятия услуг и другие организационные структуры
Внешняя
среда предприятия услуг слагается из микро- и макро-окружающей среды Микроокружающая
маркетинговая среда включает три группы элементов
К элементам
первой группы принято относить пять видов рынков, на каждом из которых
формируется своеобразный контингент потребителей услуг
1.
Потребительский рынок.
Этот рынок
объединяет индивидуальных потребителей услуг Потребительский рынок составляет
основную часть совокупного рынка услуг, так как большинство клиентов
предприятия непроизводственной сферы — отдельные лица
2. Рынок
производителей.
На рынке
производителей в качестве потребителей услуг выступают различные организации,
приобретающие услуги
Следует
отличать рынок производителей, являющихся потребителями услуг, и рынок
производителя, выделяемый в рамках классификации любого товарного рынка
Сходство этих понятий проявляется только на уровне названий и не затрагивает
их существенных основ Рынок производителя рассматривается как рынок, на котором
существуют дефицит и монополия производителя, что никак не связано с
экономической природой рынка производителей, охватываемого предприятием сферы
услуг
3. Рынок
промежуточных продавцов.
Такой рынок
включает организации, приобретающие услуги с целью их дальнейшей перепродажи с
прибылью для себя.
В сфере
услуг его развитие несколько ограничено в связи с невозможностью хранить
услуги
4. Рынок
учреждений.
Потребителями
услуг на этом рынке являются государственные и негосударственные предприятия,
приобретающие услуги для удовлетворения потребностей тех, кто в них нуждается
Примером таких отношений может служить практика приобретения услуг оздорови
тельного, культурного, спортивного характера различными предприятиями с целью
предоставления их работникам данного предприятия Покупая такие услуги по ценам
продавца, предприятие реализует их по более низкой цене или безвозмездно,
достигая при этом определенного социального эффекта.
5.
Международный рынок.
Данный рынок
охватывает зарубежных потребителей услуг.
Важно
подчеркнуть, что возможности для внешнеэкономической деятельности предприятия
услуг и международного маркетинга, как правило, ограничены. Это связано с
невозможностью хранения и транспортировки большинства услуг Однако если
международный рынок рассматривать как специфический ареал и разрабатывать для
него особые технологии предоставления услуг, соответствующие характеристикам
спроса потребителей, можно успешно решать основные маркетинговые задачи.
Ко второй
группе элементов микроокружающей среды можно отнести:
•
поставщиков предприятия услуг;
• его
конкурентов;
•
маркетинговых посредников
При этом
посредники могут рассматриваться как представители рынка промежуточных
продавцов.
В состав
третьей группы элементов микросреды предприятия услуг входят любые контактные
аудитории, проявляющие реальный или потенциальный интерес к предприятию услуг и
оказывающие влияние на его способность к достижению поставленной цели. К ним
относятся-
а)
финансовые структуры (банки, акционерные общества и инвестиционные компании, а
также базовые предприятия, на балансе которых находится организация
непроизводственной сферы),
б)
общественные организации (общества защиты окружающее среды и прав потребителей,
землячества, представители национальных меньшинств, общественно-политические
образования и т. п.);
в)
контактные аудитории средств массовой информации (редакции газет и журналов,
телецентры и радиостанции, с помощью которых освещается или может освещаться
деятельность данного предприятия или отрасли);
г)
неорганизованные слои населения,
д) местные
контактные аудитории (жители окружающего района, работники базового
предприятия услуг, работники смежных предприятий и другие).
е)
внутренние контактные аудитории (собственные работники предприятия услуг,
внештатные сотрудники, добровольные помощники).
На элементы
микросреды предприятие услуг не может оказывать прямого управляющего
воздействия, но способно оказывать косвенное влияние. Это влияние достаточно
ощутимо. Так, по отношению к потребителям предприятие услуг осуществляет
определенную маркетинговую стратегию, изучает, формирует и удовлетворяет
спрос, воздействует другими элементами маркетинга. По отношению к поставщикам
оно осуществляет выбор поставщика, направляет к нему свои заказы, вступает в
финансовые отношения. На конкурентов предприятие услуг влияет своей ценовой
политикой, качеством, имиджем и самим присутствием на рынке. На контактные
аудитории оно оказывает влияние посредством качества и ассортимента услуг, их
соответствием спросу, территориальной близостью, приверженностью идентичным
социальным установкам и т. д.
Макросреду
предприятия услуг образуют элементы, практически не испытывающие влияния с его
стороны. Предприятие вынуждено приспосабливаться к этим элементам и
ориентировать свою маркетинговую деятельность в соответствии с изменениями,
происходящими в их системе. К элементам макросреды относятся экономические и
социальные условия, демографическая ситуация, научно-технический прогресс,
культурное и историческое окружение, политическая и законодательная
стабильность и т. д. Совокупность факторов макросреды, учитываемая при
разработке концепции и стратегии маркетинга, может быть различной. Она
обусловлена, в первую очередь, функциональной принадлежностью предприятия
услуг. Например, если предприятие ориентировано на оказание услуг в области физкультуры
и спорта, ключевыми факторами внешней среды являются экономические и
социально-демографические характеристики, природные условия, законодательная
база, политическая стабильность, общий уровень культуры населения. Если
предприятие реализует услугу культового или ритуального характера, то в числе
основных факторов должны рассматриваться национальные, этнические и религиозные
особенности.
Будучи
зависимым от факторов внешней среды, предприятие услуг сталкивается с опасностью
возникновения явлений накладывающих существенные ограничения на его
деятельность или делающих ее вообще невозможной Эти явления носят практический
или лимитирующий характер и имеют различную степень вероятности. Вероятность
их возникновения и характер возможных последствий должен оцениваться и
учитываться предприятием в ходе разработки его маркетинговой программы
К основным
критическим и лимитирующим факторам, формирующимся в макросреде, можно
отнести:
1. Для
социально-демографической среды
•
демографические взрывы;
• снижение
рождаемости и процесс старения населения;
• повышение
общеобразовательного уровня и изменение профессионального состава населения,
• увеличение
безработицы.
2. Для
природной среды
• ухудшение
состояния экосистемы,
• рост
загрязнения ее отдельных компонентов,
• усиление
вмешательства государства в процесс регулирования экологического состояния и
рационализации использования природных ресурсов
3. Для
научно-технической среды
• ускорение
научно-технического прогресса,
• рост
(снижение) инвестиций в науку и технику
4. Для
экономической среды
• увеличение
цен;
• спад
деловой активности;
• изменение
валютного курса.
5. Для
политико-правовой среды
•
законодательное регулирование предпринимательства,
• рост числа
групп и партий, защищающих общественные интересы
6. Для
культурной среды
• устойчивые
тенденции к разнообразию проведения свободного времени;
• изменение
культурных интересов отдельных социальных групп,
• тенденции
к распространению неформальной культуры.
7. Для
исторической среды
• рост
инвестиций в восстановление и сохранение памятников истории, культуры, архитектуры;
• рост числа
групп и партий по защите культурно-исторического наследия.
Совокупность
явлений макросреды может быть более (или менее) разнообразной в зависимости от
профиля предприятий и специфики конкретного этапа развития макросреды
Каждое из
явлений макросреды может быть описано количественными или качественными
характеристиками. Знание таких характеристик позволяет верно оценить
маркетинговые возможности предприятия, обосновать стратегию его деятельности с
учетом возможных последствий действия критических или лимитирующих факторов.
2.3.
Спрос на услуги и типология маркетинга
Спрос на
услуги, как и на любой другой товар, представляет собой часть потребности в
услуге, обеспеченную денежными средствами покупателей, или платежеспособную
потребность. Спрос является связующим звеном между производством и
потреблением, это определяет необходимость его изучения, анализа и
прогнозирования в маркетинговой деятельности фирмы.
Спрос на
услуги формируется под воздействием многих факторов- экономических,
социально-политических, демографических, культурно-исторических,
природно-климатических, включая объем доходов населения, уровень рыночных цен,
географическое положение рынка услуг, традиции образа жизни, особенности
поведения потребителей и т д. Приоритетное значение приобретают факторы, обусловливающие
уровень и тенденции в развитии доходов населения, так как именно они формируют
в конечном итоге платежеспособные возможности потребителей.
Постоянное
изучение и оценка спроса являются ключевыми элементами современного
маркетинга, позволяющими раскрыть перспективы предпринимательской деятельности
в сфере услуг, выбрать и обосновать стратегию маркетинга, эффективно решать
сложные конъюнктурные задачи
Спрос на
услуги подразделяется на:
•
существующий в данный момент на рынке;
•
потенциальный (скрытый, но могущий появиться при определенных
обстоятельствах), определяемый покупательной способностью и числом
потенциальных покупателей услуг;
• желаемый с
точки зрения фирмы, при котором может быть обеспечен запланированный рост
прибыли предприятия услуг.
В основе
изучения спроса на услуги лежит идея сегментации, подразумевающая деление
рынка услуг на однородные группы потребителей. Сегментация рынка услуг
осуществляется по тем же критериям, что и сегментация товарного рынка:
географическому (территориальному), социальному, демографическому,
экономическому, поведенческому и т. д.
Основополагающим
принципом сегментации рынка услуг является территориальный принцип. На его
основе складываются формы предоставления услуг, условия их распределения и
продвижения на рынке, детерминируемые характером расселения населения
Особого
внимания на рынке услуг заслуживает поведенческий принцип сегментации, в рамках
которого изучаются особенности потребительского поведения и выстраиваются
однородные группы со сходными социально-психологическими характеристиками.
Предприятия
услуг удовлетворяют, как правило, повседневные нужды человека. Ориентиром их
деятельности всегда служит определенный стиль жизни, сформировавшийся под
влиянием способа расселения, климата, культурных, национальных,
социально-психологических особенностей и других факторов При этом имеется в
виду не потенциальный, а реальный, уже существующий жизненный стиль
С позиций
поведенческих особенностей потребительский контингент предприятий услуг может
быть представлен несколькими совокупностями в зависимости от:
1.
Мотивов приобретения услуг.
Такая
совокупность отличается чрезвычайной широтой и в принципе бесконечна. Она
создает базу для развития ассортиментного ряда услуг и предоставляет широкие возможности
для поиска услуг-новинок.
2.
Искомых выгод потребителей.
Это один из
наиболее эффективных способов сегментации Здесь важно верно оценить те выгоды,
которые может получить потребитель в результате приобретения услуги,
охарактеризовать качество услуг с позиций самого потребителя. При этом нельзя
ограничиваться только экономическими выгодами, так как искомые выгоды могут
иметь и социально-психологический характер. Например, в области пользования
услугами любительских творческих объединений потребитель получает выгоды в
виде удовлетворения потребности в самореализации, саморазвитии, общественном
признании и т. п.
3.
Интенсивности потребления.
По этому
критерию весь потребительский контингент можно подразделить на слабых,
умеренных и активных потребителей В качестве целевой группы целесообразно
рассматривать активных потребителей Даже если они представляют небольшую часть
рынка, на них часто приходится большая доля потребления услуг Например,
подростки, которые составляют, как правило, не более 1 /5 потребительского
контингента, почти полностью потребляют услуги игровых автоматов и
компьютерных игр
4.
Степени приверженности услугам. В международной практике в такой группировке выделяются четыре
группы потребителей
а)
Безоговорочные приверженцы данной услуги.
К ним
относятся потребители, постоянно пользующиеся услугами одного и того же
предприятия непроизводительной сферы, которое полностью удовлетворяет их
запросы
б)
Терпимые приверженцы.
Это
потребители, предпочитающие пользоваться услугами 2-3
производителей-конкурентов Именно на эту группу необходимо обратить внимание в
ходе анализа причин, по которым отдельные услуги пользуются большей или меньшей
популярностью у потребителей Целесообразно попытаться усовершенствовать
способ позиционирования таких услуг, чтобы добиться большей устойчивости
потребительских предпочтений
в)
Непостоянные приверженцы.
Такие
потребители отличаются непостоянством выбора конкурирующей услуги или
предприятия Анализ спроса и мотивов такого приобретения открывает широкие
возможности для анализа маркетинговых достоинств и недостатков предприятий-конкурентов.
г)
«Странники».
Эти
потребители не оказывают предпочтения ни одной из существующих услуг или
предпочитают их разнообразие. Это наиболее сложный тип потребителя, а в теории
маркетинга пока отсутствуют четкие рекомендации по формированию их спроса.
5.
Степени готовности потребителя к восприятию услуги.
В ее рамках
потребителей подразделяют на-
• вообще
неосведомленных о предприятии непроизводственной сферы,
• осведомленных
о нем;
• широко
информированных о нем,
•
заинтересованных в услугах данного предприятия,
• желающих
приобрести эти услуги,
• намеренных
востребовать их.
Численное
соответствие этих групп весьма подвижно и может изменяться в очень короткие
сроки Например, усиленное стимулирование увеличивает число лиц,
заинтересованных, желающих и имеющих намерение приобрести услугу. Соотношение
групп с различной степенью готовности к потреблению услуги оказывает
формирующее влияние на разработку маркетинговой стратегии и тактики Так, в
случае ожидания увеличения числа реальных потребителей нужно строить
маркетинговую программу предприятия с учетом своевременной и соответствующей
подготовки его материальной базы.
Маркетинговая
практика показывает, что для завоевания рынка услуг необязательно
ориентироваться на весь потребительский рынок (что обычно и невозможно).
Достаточно определить главных потребителей тех или иных услуг и направить свои
действия на удовлетворение их спроса. Рынок услуг подчинен действию так называемого
закона Паретто, согласно которому главные потребители составляют примерно 20 %
их общего числа. При этом они обеспечивают предприятию 75-80 % суммарного
дохода. Однако в условиях нестабильного рынка удельный вес главных потребителей
может испытывать частые и значительные колебания в ту или иную сторону В
условиях стабильного рынка закон Паретто выполняется более строго. Основную
цель изучения спроса на услуги составляет изучение главных потребителей, чтобы
в дальнейшем при проведении расширенного маркетингового исследования опираться
именно на эту группу.
Завершив
процедуру сегментации, приступают к выбору целевого рынка
Целевой
рынок представляет собой тот рынок (точнее, потребительский сегмент), на
котором предприятие имеет наилучшие возможности для маркетинговой и всей
хозяйственной деятельности и для которого разрабатывается стратегия маркетинга.
При этом
стратегия ориентируется на максимально возможный в конкретных условиях охват
целевого рынка, и овладение определенной долей рынка позволяет укрепить
конкурентные позиции предприятия.
При
разработке целевых рынков прибегают к одному их трех методов.
1.
Массовый маркетинг.
Используя
этот метод, предприятие ориентируется на массовое производство своих услуг и
стимулирование сбыта одной и той же услуги для всех потребительских сегментов.
Основное
достоинство метода — низкие издержки. Однако при его применении не удается
реализовать одно из основных преимуществ маркетинга — приспособление к
дифференцированным потребностям потребителей.
2.
Дифференцированный маркетинг.
В этом
случае предприятие оказывает две или более услуги с различными свойствами,
создавая разнообразие услуг, более приспособленное к дифференцированному
спросу.
3.
Целевой маркетинг.
Метод
целевого маркетинга наиболее распространен в современной практике. Он
позволяет выбрать один (иногда несколько) целевой рынок, на котором
концентрируется однородный потребительский контингент. Разрабатывая стратегию,
направленную на завоевание конкретного целевого рынка, предприятие получает
большие возможности для использования всех маркетинговых приемов, варьирования
цен, совершенствования формы предоставления услуг с учетом всех нюансов спроса,
проведения адекватных рекламных действий и т. д.
Используя
метод целевого маркетинга, предприятие услуг ставит своей задачей овладеть
максимально возможной долей рынка и разработать концептуальные основы
предпринимательской деятельности в рамках выбранного целевого сегмента. Для
решения этой задачи можно использовать следующие типы маркетинга:
1.
Недифференцированный маркетинг.
Этот тип
маркетинга применим на крупных сегментах, где число потребителей, одинаково
реагирующих на одну и ту же услугу, достаточно велико. В рамках такого
маркетинга процесс дифференциации заканчивается выбором целевого рынка и не
имеет дальнейшего. развития. Такой подход уместен в случае реализации
стандартизированных услуг (например, для коммунальных и бытовых услуг).
Недифференцированный
маркетинг имеет ряд недостатков. Во-первых, предприятие, действующее на его принципах,
как правило, вначале создает услугу, а затем ищет ее потребителя, что не всегда
удается. Во-вторых, действуя на крупных сегментах, предприятие сталкивается с
обострением конкуренции. В-третьих, недифференцированный маркетинг приводит к
игнорированию мелких сегментов, являющихся зачастую потенциально более
выгодными, и к неудовлетворению их спроса.
2.
Дифференцированный маркетинг.
Основанный
на принципах широкой дифференциации, он используется и применительно к
достаточно однородному целевому рынку. В рамках этого рынка дифференцированный
маркетинг выделяет узкие сегменты, предлагая видовое разнообразие услуг с
помощью разработки отдельного предложения для каждого узкого сегмента. Такая
стратегия обеспечивает более глубокое проникновение на целевой рынок и
укрепляет конкурентные позиции данного предприятия.
3.
Концентрированный маркетинг.
Этот тип
маркетинга связан с расширением и специализацией услуг. Завершив дифференциацию
своих услуг, предприятие ориентируется на производство одной (или нескольких)
специализированной услуги, предназначенной для узкого сегмента. Такой подход
позволяет концентрировать усилие в одном направлении, не распыляя всегда более
или менее ограниченных ресурсов.
Концентрированный
маркетинг отличается повышенной долей риска. Риск обусловлен опасностью
обострения конкуренции и невозможностью быстрого внедрения в области с более
низким уровнем конкуренции, сложностью формирования ассортиментного ряда, возможным
опозданием с выводом на рынок нового продукта, а также снижением мобильности
продукта предприятия, что может сказаться I на его способности своевременно
реагировать на изменение спроса. Метод концентрированного маркетинга
целесообразно применять при ограниченности инвестиционных источников, при
неблагоприятных перспективах и недостатке ресурсов других видов. В частности,
недостаток трудовых ресурсов можно компенсировать за счет механизированных
услуг. Например, предприятие, оказывающее рекреационные услуги, может
обеспечить устойчивость своих рыночных позиций путем предоставления услуг
аттракционов, игровых автоматов и других технических средств, не требующих
привлечения большого числа работников.
При выборе
стратегии охвата целевого рынка с помощью определенного типа маркетинга
необходимо учесть следующие факторы.
А.
Ресурсы предприятия.
При
ограниченных ресурсах наиболее рациональна стратегия концентрированного
маркетинга.
Б.
Степень однородности услуг.
Для
производства и реализации единообразных услуг подходит стратегия
недифференцированного маркетинга, для разнообразных услуг — дифференцированного
маркетинга.
В. Этап
жизненного цикла товара (услуги). На стадии внедрения услуги-новинки целесообразно
предоставлять лишь одну ее форму, используя при этом стратегию недифференцированного
маркетинга. Но по завершении этой стадии необходимо постепенно внедрять
принцип дифференциации вплоть до окончания стадии зрелости, где степень
дифференциации, соответствующая выбранной стратегии, получает наибольшее
развитие.
Г.
Степень однородности рынка.
Если
потребительская среда достаточно однородна, а выделенные сегменты имеют сходные
вкусы и предпочтения и одинаковую реакцию на одни и те же побудительные
маркетинговые стимулы, вполне справедлива стратегия недифференцированного
маркетинга.
Д.
Маркетинговая стратегия конкурентов. Если конкуренты реализуют принцип широкой сегментации,
недифференцированный маркетинг совершенно недопустим. Но если конкуренты
игнорируют идею дифференциации, использование стратегии дифференцированного
маркетинга может обеспечить предприятию непроизводственной сферы значительные
преимущества.
Выбрав
целевой рынок и стратегию его охвата, необходимо осуществить процедуру
позиционирования своих услуг. Позиционирование услуг есть акция, завершающая
комплекс действий по обеспечению конкурентоспособности своих услуг с помощью
выбора наиболее эффективного в конкретных условиях типа маркетингового
поведения.
Предприятие
услуг может избрать один из двух путей позиционирования. Первый путь связан с
определением своих позиций в отношении конкурентов с точки зрения занимаемой
доли рынка. В этом случае предприятие вступает в конкурентную борьбу за
желаемую долю рынка.
Такой путь
позиционирования возможен в случае, если:
•
предприятие может предложить услуги более высокого качества, чем услуги
конкурентов;
• емкость
рынка достаточно велика и позволяет функционировать двум и более конкурирующим
организациям;
•
предприятие располагает ресурсами большего объема, чем ресурсы конку
рентой.
Второй путь
позиционирования — выводить на рынок новые услуги. Таким образом можно привлечь
потребителей, заинтересованных в этих услугах, но не имеющих возможности для
их потребления, так как конкуренты их не. предлагают. Основным условием
реализации такого пути позиционирования является наличие технических и
экономических возможностей для производства новых услуг.
2.4.
Комплекс маркетинга в сфере услуг и особенности его реализации
Одним из
основных принципов маркетинга является принцип комплексности, рассматривающий
маркетинг как системное единство действий, осуществляемых по следующим
направлениям:
совершенствование
товара и способов его производства, обогащение ассортиментного ряда с помощью
постоянной разработки и внедрения новых товаров;
реализация
ценовой политики с целью сбалансированности спроса и предложения;
улучшение
способов и методов сбыта товара;
установление
целесообразной пропорциональности в использовании различных каналов
распределения;
совершенствование
коммуникативных связей с потребителем с целью стимулирования сбыта товара и
эффективное использование средств рекламного воздействия.
В теории
маркетинга система таких действий получила название «комплекса маркетинга» или
«система маркетинг-микс». Комплекс маркетинга в сфере услуг включает набор
переменных, поддающихся контролю со стороны предприятия и образующих взаимосвязанную
совокупность (систему), которая способна обеспечить желаемую ответную реакцию
со стороны целевого рынка. Способность комплекса маркетинга вызывать
адекватную реакцию Потребителя обусловлена теми свойствами, которые присущи маркетингу
как системному образованию. Основным таким свойством является способность
системы (комплекса маркетинга) обеспечивать синергетический эффект.
Синергетический
эффект (от греч. зупег^оз — совместно действующий) достигается совместным
действием элементов системы. В количественном и качественном отношении он
превышает простое суммирование эффектов от раздельного действия отдельных
элементов системы. Тот результат, к которому стремится система и который
может быть достигнут ею, обусловливается не только свойствами отдельных
составляющих элементов, но и единством их свойств и взаимосвязей.
В ходе
эволюции маркетинга, когда на разных этапах своего развития он приобретал новые
качества, сформировался особый тип деятельности, интегрирующий определенную совокупность
действий в неразрывное (системное) единство. Именно системность со всей
совокупностью присущих ей свойств позволяет современному маркетингу эффективно
решать сложные рыночные задачи.
В комплекс
маркетинга в сфере услуг входят все действия и мероприятия, которые могут быть
предприняты для оказания воздействия на спрос потребителей услуг.
Многочисленные
возможности в этом направлении можно объединить в четыре основные группы
элементов комплекса маркетинга. К ним относятся:
• услуги как
товары особого ряда;
• цена на
услуги;
• методы
распределения услуг;
• методы
стимулирования сбыта услуг.
Агрегируя
эти элементы, комплекс маркетинга оказывает воздействие на целевой рынок
предприятия услуг (рис. 2). Тогда комплекс маркетинга услуг можно характеризовать
как деятельность, имеющую целью овладение целевым рынком с помощью действий,
распространенных по четырем-направлениям. Комплекс маркетинга услуг включает:
• товарную
политику, в рамках которой услуга выступает как товар особого ряда;
• ценовую политику;
• политику
распределения услуг;
•
коммуникативную политику.

В рамках
системы маркетинг-микс не только исследуются основные элементы комплекса
маркетинга, но и разрабатывается конкретная программа по управлению этими
элементами — план маркетинга. Реализация комплексного маркетинга всегда
осуществляется посредством целенаправленного планового процесса, позволяющего
поэтапно решать задачи в области товарной, ценовой, распределительной и
коммуникативной политики, и обеспечить сбалансированность этих задач и
ресурсов. Таким образом, важнейшим условием реализации комплекса маркетинга
является его планомерная организация, предполагающая развитие процесса
планирования, в котором целевые установки рассматриваются с точки зрения их
ресурсного обеспечения и разрабатывается совокупность наиболее рациональных
действий по всем направлениям маркетинга.
План (в
дословном переводе — ровный, гладкий, беспроблемный) выступает важнейшим
реализационным инструментом, позволяющим предприятию «без проблем»
функционировать на рынке услуг.
Планирование
в маркетинге — не линейный, а замкнутый процесс. Подчиненный единой логике
научного предвидения в ее движении от общего к частному, он не заканчивается с достижением
поставленных целей, а продолжается в виде новой постановки целей, соответствующей
ситуации, сложившейся по завершении отдельного этапа.
Планирование
маркетинга в сфере услуг основывается на следующих принципах.
1.
Комплексность плана маркетинга. Под этим понимается взаимоувязанное рассмотрение всех элементов
комплекса маркетинга.
2.
Непрерывность процесса планирования. Под непрерывностью понимаются неразрывные, последовательные
действия по разработке и реализации заданий в рамках конкретного этапа
планирования маркетинга.
3.
Гибкость и адаптивность плана маркетинга. Этот принцип предполагает способность плана маркетинга
адекватно реагировать на изменения внешней среды и приспосабливаться к
динамике спроса потребителей услуг.
4.
Взаимосвязь отраслевых и территориальных аспектов плана маркетинга.
Действие
этого принципа, традиционного для планирования вообще, имеет в маркетинге
услуг специфическое выражение. В этой области существует преимущество
территориального аспекта перед отраслевым, так как спрос на услуги формируется
в основном под влиянием территориальных особенностей в образе жизни населения и
его территориальной структуре, а маркетинговая задача состоит в приведении в
соответствие развития отраслей услуг по отношению к существующему спросу.
5.
Ясность целевых установок.
Ни одна
деятельность не может быть успешной, если неизвестно, каких целей она хочет
достигнуть. Маркетингу всегда присуща множественность целей, сочетающая цели
количественные и качественные.
Цели,
которые могут быть выражены прямыми количественными методами (например,
овладение конкретной долей рынка или получение желаемого объема прибыли),
имеют большую четкость и определенность. Конечный результат деятельности в
этом случае можно охарактеризовать достаточно просто и вполне однозначно.
Качественные
цели менее определенны. Оценить результат, обусловленный деятельностью по
достижению качественной цели, значительно сложнее. Поэтому в маркетинге,
который используется для эффективного решения коммерческих задач, более
целесообразна ориентация на количественные цели. В рамках непроизводственной
сферы значение количественной целевой ориентации еще более возрастает.
Формируя
условия жизнедеятельности населения, маркетинг услуг может ориентироваться не
только на цели, традиционные для классического маркетинга, но и выдвигать
широкую совокупность целей, характеризующих уровень обеспечения отдельных социальных
потребностей. Тогда качественная характеристика «качества жизни» получает более
точное количественное выражение. Такой способ постановки целей полностью
отвечает специфике сферы услуг — близости к человеку и его повседневным
нуждам, и существенно расширяет возможности предприятия в области
целеполагания.
6.
Сбалансированность мероприятий плана маркетинга и ресурсов.
Принцип
сбалансированности плановых мероприятий и ресурсов понимается в рыночных
условиях неоднозначно. С одной стороны, представляется бесспорной необходимость
полной ресурсной обеспеченности плана, так как именно она придает плану
реализационный характер. С другой стороны, есть основания выдвигать на первый
план качественные характеристики проекта, определяющие его ресурсную
(инвестиционную) привлекательность. При этом имеется в виду, что если проект,
выводимый на рынок, достаточно привлекателен для потенциальных инвесторов, то
ресурсы для его осуществления всегда найдутся.
Существование
этих двух подходов, каждый из которых вполне обоснован, затрудняет процесс
выбора стратегических ориентиров и может привести на практике к серьезным
ошибкам. В частности, ориентируясь только на увеличение рыночной
привлекательности конкретного проекта, можно оставить без внимания инвестиционные
процессы, происходящие в отрасли или в рамках территориального образования,
недостаточно полно изучить динамику и структуру инвестиций, очертить их
наиболее вероятные перспективы. В итоге высококачественный проект оказывается
как бы вне объективного инвестиционного процесса и не находит необходимой ресурсной
поддержки. Чтобы избежать подобной ситуации, важно взаимно увязать оба подхода,
т. е., повышая качественные характеристики объекта, решать вопрос их ресурсной
обеспеченности, поэтапно приближаясь от укрупненных оценок к точным показателям,
отражающим планируемый объем ресурсов, источники и сроки их поступления.
7. Оптимизация
плана маркетинга.
Принцип
оптимизации — ключевой принцип планирования. Его суть состоит в обеспечении
альтернативности плана и выбор альтернатив. Важно помнить, что термин
«оптимальный» в данном случае несколько условен и применяется только в соответствии
с прочно утвердившейся практикой. Оптимальным (от лат. — наилучшее) является
вариант, лучший из всех возможных. Этот вариант имеет достаточно абстрактный
характер, так как в практической деятельности невозможно разработать полную
совокупность всех возможных альтернатив. В данном случае осуществляется выбор
наиболее рационального варианта, являющегося лучшим из имеющихся.
Отбор
производится на основании критерия оптимальности, который в экстремальных
задачах обозначает переменная величина, являющаяся для данной задачи целевой
функцией. Процесс построения критерия оптимальности должен осуществляться в
соответствии с теорией выбора.
Метод
оптимизации дает достаточно корректные результаты лишь при условии
сопоставимости вариантов. Сопоставимость вариантов плана маркетинга
обусловлена:
• единством
целевых установок;
•
идентичностью структуры плана (причем идентичность связана не только с
присутствием всех элементов системы маркетинг-микс, но и тождеством структуры
каждого элемента этой системы);
•
единообразием показателей и характеристик плана и методов их оценки;
• верной
расстановкой приоритетов при получении комплексных оценок.
В
соответствии с указанными принципами строится циклический процесс планирования
маркетинга (рис. 3), в котором каждый цикл состоит из пяти этапов.

Ситуационный
анализ, называемый иногда в международной практике «внутренней ревизией»,
позволяет охарактеризовать рыночные позиции предприятия на исходный момент
планирования и оценить степень влияния, оказываемого внешней средой.
Для
предприятия непроизводственной сферы ситуационный анализ должен охватывать:
• анализ
потребительского контингента, его структуру и динамику;
• анализ поставщиков
и посредников, действующих на рынке услуг, и оценку ключевых факторов
маркетинговой и всей хозяйственной деятельности (доступ к источникам сырья и
энергии, возможность получения кредита, наличие эффективных каналов сбыта и т.
д.);
• анализ конкурентов
и оценку своих конкурентных позиций;
• анализ
влияния макросреды и перспектив развития конкретной отрасли услуг.
Маркетинговый
синтез в строгом смысле может осуществляться в рамках ситуационного анализа,
так как синтез есть неотъемлемая часть любого анализа. Выделение его в
отдельный блок обусловлено особой значимостью в планировании маркетинга — в
рамках маркетингового синтеза осуществляется выдвижение целей и их оценка с
позиций соответствия принятой концепции маркетинга.
Стратегическое
планирование включает разработку ряда альтернативных стратегий и обоснование
оптимальной стратегии на основе выбранного критерия. Наиболее типичными для
рынка услуг стратегиями являются:
• увеличение
деловой активности (более глубокое проникновение на рынок услуг, вывод
услуги-новинки, внедрение на новый рынок);
• снижение
деловой активности (сокращение производства услуг, находящихся на завершающих
стадиях жизненного цикла);
•
диверсификация услуг;
•
специализация услуг (стратегия концентрированного маркетинга);
•
совершенствование организационной структуры;
•
совершенствование производственного процесса (внедрение современной техники и
технологии, интенсификация производства услуг)
В отдельных
отраслях (например, туризме) целесообразно развивать стратегию проникновения
на международный рынок, но для большинства услуг такая стратегия малоэффективна
(по сравнению с другими) или просто невозможна
При
разработке стратегии важно дать оценку объема ресурсов, которые могут быть
привлечены для ее реализации. Эта оценка может проводиться укрупненными
методами, но должна быть достаточно реалистичной. Здесь рассматриваются все
возможные ресурсные источники, причем особое внимание целесообразно уделить
международным, федеральным, региональным или муниципальным программам, имеющим
отношение к развитию данной территории. Целевая программа любого уровня всегда
нуждается в конкретных реализаторах, непосредственно связанных с территорией в
социальном, экономическом и пространственном отношении. Если предприятие услуг
имеет цели, сходные с целями комплексных территориальных программ, и обладает
достаточными материально-техническими, трудовыми ресурсами и определенным
имиджем, оно может рассчитывать на поступление ресурсов, выделяемых на
реализацию этих программ, или получение налоговых льгот.
Важно
подчеркнуть, что общие контуры ресурсного блока плана маркетинга должны быть
очерчены еще при выборе концепции маркетинга (например, аналоговым методом с
учетом местных условий). На стадии выбора стратегии этот блок должен отличаться
большей конкретностью.
Тактическое
планирование в отличие от стратегии отражает конъюнктурные соображения, отличаясь
большей детализацией, тактика предлагает методы решения конкретных проблем в
конкретных условиях К тактическим задачам относятся:
• учет
колебаний спроса на услуги,
•
организация распределения услуг,
•
организация рекламы и стимулирования сбыта услуг в соответствии со стадией
жизненного цикла услуги,
•
определение времени и принципов вывода на рынок услуги-новинки,
• точные
оценки объема ресурсов, которые могут быть использованы предприятием;
•
определение сроков поступления ресурсов из различных источников.
Срок, на
который разрабатывается тактика маркетинга, может быть различным, но он всегда
меньше срока, определенного стратегией. При этом тактика не выходит за границы
срока, установленного стратегией. Таким образом обеспечивается принцип
непрерывности плана не только в отношении последовательности циклов, но и в
рамках единого цикла.
Маркетинговый
контроль включает в себя сбор данных о результатах деятельности предприятия
услуг и оценку их соответствия выдвинутым целям Даже в случае совпадения
полученных результатов и целей маркетинговый контроль завершается решением о
проведении ситуационного анализа, характеризующего достигнутые рыночные
позиции фирмы и предполагающего разработку новых целей.
Для
успешного претворения в жизнь маркетинговых мероприятий к системе планирования
комплекса маркетинга предъявляются дополнительные требования реализационного
характера. Первое из них — необходимость передачи функций реализации плана тем
лицам и структурам, которые занимались его разработкой При этом можно
исключить разрыв этапа разработки и этапа реализации и обеспечить единство и
непрерывность планового процесса
Второе
требование — соответствие уровня компетентности в отношении принятия плановых
решений уровню компетентности в отношении распоряжения ресурсами Это
требование, соответствующее общим принципам внутрифирменного планирования в
рыночных условиях, особенно важно применительно к предприятиям услуг. Здесь
отсутствует возможность создания товарных запасов, поэтому для постоянного
получения прибыли исключительно важно организовать бесперебойное производство
услуг, которое требует и постоянного своевременного обеспечения ресурсами Для
эффективного решения ресурсных проблем в их увязке с плановыми мероприятиями
требуется соответствующий уровень компетентности конкретных работников. Такой
уровень должен быть достаточно высок, а для его обеспечения в организационной
структуре предприятия на втором уровне управленческой иерархии располагается
ведущий специалист по маркетингу, прерогативой которого являются разработка и
реализация ресурсно-сбалансированного плана маркетинга.
Условия
реализации плана маркетинга не бывают постоянными. Учесть возможные
изменения этих условий позволяет многовариантность плана. Обычно
разрабатывают три варианта базовый, повышенный и резервный (иногда их называют
оптимальным, максимальным и минимальным) Повышенный вариант предусматривает серию
мероприятий в системе маркетинг-микс при наиболее благоприятном развитии
событий, резервный — при наименее благоприятных условиях, а также при
возникновении лимитирующих и критических факторов Базовый вариант есть
взвешенный и поэтому более реалистичный комплекс мероприятий, так как не
секрет, что «фланговые» значения практика, как правило, отсекает.
Глава 3
Формирование
и поведение услуги на рынке
3.1.
Особенности услуг в концепции маркетинга
Для
современного мирового хозяйства характерна тенденция к постоянному расширению
товарного обращения, вызванная развитием науки и техники, ростом общественных
и личных потребностей В число товаров, реализуемых на рынке, вовлекаются все
более разнообразные результаты человеческой деятельности, включая не только
продукцию, представленную в материально-вещественной форме, но и плоды
творческой, интеллектуальной, социальной деятельности, коммерческих занятий, а
также обширный ряд услуг, выступающих как объект купли-продажи
Результат
деятельности предприятий, функционирующих в сфере услуг, связан с
удовлетворением социальных потребностей населения или деловых нужд различных
предприятий, организаций и учреждений.
Под услугами
в концепции маркетинга понимается огромное разнообразие видов деятельности,
работ и занятий Давая определение услуге, Ф Котлер отмечает «Услуга—это любое
мероприятие, деятельность или выгода, которые одна из сторон может предложить
другой стороне и которые в основном неосязаемы и не приводят к овладению
чем-либо Производство услуг может быть, а может и не быть связано с товаром в
его материальном виде» [8, с 328] Но в любом случае услуга полезна не как вещь,
а как определенная деятельность
Услугам
присущ ряд отличительных характеристик, которые необходимо учитывать в
процессе маркетинговой деятельности
1.
Неосязаемость услуг.
Многие из
услуг неосязаемы, например услуги образовательной, культурной, развлекательной
сферы. Потребитель такой услуги после ее приобретения располагает знаниями,
впечатлениями, ощущениями Он не имеет вещественных доказательств, а может
опираться лишь на собственные субъективные представления. Это свойство
обусловливает повышенные требования к процессу дифференциации спроса на услуги
и разнообразию качественных характеристик. Чем шире дифференциация спроса и приспособленность
услуг к особенностям потребителей, тем больше возможности для ее соответствия
субъективным представлениям потребителей.
2.
Неотделимость услуг от их производителя.
Если товар в
его материально-вещественной форме существует независимо от своего
производителя, то услуга не располагает возможностью для отчуждения от него.
Столь тесная связь услуг и их источников не позволяет потреблять услуги вне
присутствия производителя. Это накладывает ограничения на развитие сбытовой
деятельности. Сбытовые подразделения в сфере услуг смыкаются, по существу, с
органами рекламы и пропаганды, а их функции зачастую ограничиваются
стимулированием сбыта услуг в различных потребительских сегментах.
3.
Несохраняемостьуслуг.
Услугу
невозможно хранить. Например, если студент пропускает ряд занятий, то он теряет
возможность пользоваться услугой преподавателя, так как она имеет ценность
только во время проведения занятия.
Несохраняемость
услуг создает особую форму их производства — форму «потребительного производства».
При этом потребитель заранее оплачивает стоимость услуги, прежде чем получает
возможность для оценки уровня удовлетворения своей потребности. Это вызывает
необходимость укрепления доверия потребителей к производителю услуг и -широкой
пропаганды услуг
4.
Невозможность складирования и транспортировки услуг.
Это свойство
обусловлено несохраняемостью услуг и их неотделимостью от производителя.
5.
Непостоянство качества услуг.
Качество
услуг колеблется в широких пределах и зависит от качества труда производителей
(особенно в области культуры и искусства), их компетентности,
коммуникабельности, доброжелательности, вежливости и других личных качеств, а
также от времени и места предоставления услуг Например, качество услуг,
оказываемых передвижными предприятиями непроизводственной сферы в районах с
дисперсным типом расселения, обычно ниже, чем качество услуг постоянно
действующих предприятий
В системе
маркетинга применяются различные подходы к классификации услуг. Наибольшее
распространение имеют классификации, основанные на следующих классификационных
критериях
1.
Характер производителя услуги.
По этому
критерию выделяются:
• услуги,
предоставляемые людьми;
• услуги,
предоставляемые машинами и механизмами.
Например,
предприятия образования, ряда бытовых и рекреационных услуг почти не нуждаются
в оборудовании, а для предприятий в области транспорта, здравоохранения, связи
требуются машины и механизмы.
2.
Присутствие клиента во время оказания услуги. Здесь выделяются:
• услуги,
требующие присутствия клиента во время оказания услуги;
• услуги,
предоставление которых не требует присутствия клиента.
Первая
группа более многочисленна. Так как производство услуги обычно совпадает с ее
потреблением, присутствие потребителя в этом процессе, как правило, обязательно.
Разрыв в цепочке «потребитель — производитель» возможен в случае выполнения
услуг по предварительным заказам или при длительном производственном процессе
(например, поиск литературы, заказанной в библиотеке, ремонт бытовых приборов и
т. п.). Но и в этом случае услуга полезна не как вещь, а как определенная
деятельность и неотделима от производителя.
3. Мотивы
потребителя услуг. В
соответствии с этим критерием все услуги можно подразделить на:
• услуги,
предназначенные для удовлетворения личных нужд человека;
• услуги,
предназначенные для удовлетворения коллективных нужд предприятий и организаций;
• услуги,
предназначенные для удовлетворения общественных потребностей.
Широкий ряд
услуг направлен на удовлетворение личных потребностей человека (услуги здравоохранения,
образования, культуры, спорта и т. д.). Даже если потребительский контингент
таких услуг включает предприятия и организации, услуга потребляется отдельными
лицами — членами коллектива этих предприятий.
Услуги,
удовлетворяющие коллективные нужды, являются услугами делового характера,
необходимыми для нормального функционирования предприятия или организации
(транспорт, связь, обслуживание оборудования).
Услуги
общественного характера предоставляются, как правило, неприбыльными
организациями или являются проявлениями внешнего эффекта какой-то деятельности
(услуги в области борьбы с эпидемиями или социальными пороками) В принципе,
процесс их потребления носит индивидуальный характер, хотя и не отличается от
характера потребления другими членами общества, так как спрос на них есть
единый, общественный спрос.
4. Мотивы
производителя услуг.
По этому
критерию различают коммерческие и благотворительные услуги Производство
коммерческих услуг имеет своей целью получение прибыли, а его результат носит
экономический характер» Процесс оказания благотворительных услуг направлен на
получение определенного социального эффекта.
5.
Принадлежность к той или иной отрасли услуг. Отраслевая классификация услуг постоянно развивается
Однако существует ряд отраслей, чье положение в классификации достаточно
устойчиво как в отечественной, так и в зарубежной практике. Так, прочно
утвердились следующие виды услуг.
• услуги
здравоохранения,
• услуги
образования,
•
коммунальные услуги,
• бытовые
услуги и т д
Вместе с тем
появляются новые нетрадиционные отрасли услуг (например, услуги туризма,
коммуникативно-информационные услуги, услуги в области недвижимости) Появление
новых отраслей обусловлено реформированием экономики, изменением экономического
менталитета, расширением знаний о природе процессов, происходящих в
непроизводственной сфере.
6.
Принадлежность к той или иной группе товарного ассортимента.
В различных
отраслях услуг существует собственная классификация по ассортиментному
признаку. В ее основе лежит схожесть целевой направленности и характер
функционирования услуг. Такая классификация может иметь формальное
закрепление, т е. использоваться административными структурами и статистикой (в
этом случае она имеет достаточно «жесткие» рамки), но может иметь и более
свободные формы. В последнем случае классификация более динамична и
подвергается изменениям в зависимости от задач, времени и места ее
использования На практике встречается большое разнообразие внутриотраслевых
классификаций, с помощью которых различные бизнес-субъекты решают свои
маркетинговые задачи
Например,
существует «жесткая», формально закрепленная классификация услуг
культурно-досуговой сферы. К ней относятся услуги в области технического
творчества, художественного творчества, физкультурно-оздоровительной
направленности и ряд других. В то же время в сфере туризма, близкой к
культурно-досуговой сфере в отношении потребностей, которые ею удовлетворяются,
можно встретить большее разнообразие классификаций.
В частности,
услуги туризма часто классифицируют на основе более широкой дифференциации
потребностей клиентов При этом можно выделить услуги познавательного,
спортивного, развлекательного, религиозного, лечебного характера, услуги в
области обеспечения деловых контактов и т. д. Эту же совокупность услуг можно
подразделить на услуги культурно-познавательного характера, рекреационные,
жилищно-бытовые, услуги питания и транспорта
В рамках
каждой из групп товарного ассортимента существует несколько подгрупп, для
которых разрабатывается собственная маркетинговая стратегия.
• увеличение
насыщенности уже существующих ассортиментных групп;
• вариация
каждой из услуг;
•
приближение к исчерпанию ассортиментной дифференциации.
Для
расширения ассортиментного ряда можно использовать и более укрупненную
группировку, т. е. ориентироваться не только на подгруппы и группы товарного
ассортимента. В этом случае целесообразно учесть следующие рекомендации Во-первых,
соблюдать очередность насыщения ассортимента — сначала использовать
возможности дифференциации ассортиментных подгрупп, а затем более крупных групп
Во-вторых, стараться не выходить за рамки отрасли В случае почти постоянного
насыщения рынка услугами данной отрасли и резкой активизации конкурентной
борьбы можно обогатить ассортиментный ряд за счет услуги другой отрасли. Причем
такая услуга необязательно должна иметь принципиальные новшества; она может
иметь новизну в сочетании с услугой базовой отрасли. Например, ассортиментный
ряд услуг туризма можно дополнить услугами общественного питания,
предоставляемыми не только туристам, но и всем потребительским сегментам.
Наиболее
специфичным компонентом рынка услуг являются услуги неприбыльных организаций,
ориентированных на пропаганду современных социальных идей, и не ставящие своей
целью получение прибыли. Результатом деятельности неприбыльных организаций
является услуга, которая не может предоставляться на коммерческой основе и
реализуется на основе принципа «затраты — социальные приоритеты».
Услуги
неприбыльных организаций имеют ряд отличительных признаков, определяющих
характер маркетинговой деятельности в этой сфере [5]:
1.
Ориентация на очень узкие сегменты потребителей, что, безусловно, снижает
конкурентоспособность неприбыльных организаций и обусловливает поиск
дополнительных инвестиционных источников.
2. Крайняя
узость товарного ассортимента и отсутствие возможности для его расширения.
Неприбыльная организация реализует, как правило, одну социальную идею,
используя принципы концентрированного маркетинга.
3. Гибкость
и способность к адаптации. Под воздействие изменений, происходящих в
социальной среде (появление новых социальных проблем, смещение приоритетов и
т. п.), социальная услуга может обновляться достаточно быстро.
4.
Зависимость услуг неприбыльных организаций от мотиваций и форм стимулирования
персонала. Социальные мотивации приобретают при этом особое значение, так как
реализация данных услуг осуществляется обычно с помощью добровольных
помощников, движимых социальными, моральными и этическими стимулами.
5. Сложность
процесса реализации услуг. Услуга неприбыльных организаций лишена, как правило,
стандартов качества, что затрудняет создание чувства удовлетворенности услугой
и требует использования особых методов стимулирования.
В процессе
продвижения на рынок продукта неприбыльной организации используется
преимущественно институциональная реклама, нацеленная на создание имиджа
организации. Широко распространены и методы неличностного стимулирования
спроса с помощью презентаций, встреч с потребителями, пропаганды и т. д. Особая
роль отводится процессу управления общественным мнением с использованием
средств массовой информации.
В связи с
ограниченностью ресурсов неприбыльные организации не имеют возможности для
широкого использования коммерческой рекламы, но обладают большими возможностями
в привлечении к рекламным целям средств различных предприятий, заинтересованных
в создании собственного имиджа с помощью поддержки социальных программ, идей и
движений.
3.2.
Жизненный цикл услуги
Любая
услуга, выведенная на рынок, постепенно теряет свою конкурентоспособность и
вытесняется другой, более совершенной услугой. Этот процесс обусловлен
развитием научно-технического прогресса в области производства и
предоставления услуг, изменением потребностей потребителей, проявлением конкурентных
начал, свойственных рыночной экономике.
Период, в
течение которого услуга обладает жизнеспособностью на рынке и обеспечивает
достижение целей ее производителя, называется жизненным циклом услуги.
Продолжительность жизненного цикла и его отдельных стадий обусловливает уровень
прибыльности предприятия услуг и его стратегические перспективы.
Жизненный
цикл услуги включает в себя несколько стадий, для каждой из которых характерно
определенное сочетание маркетинговых мероприятий, позволяющее производителю
услуг осуществлять стратегические замыслы и формировать тактику поведения на
рынке Основным критерием, использующимся при оценке жизненного цикла услуги,
является объем ее реализации, обеспечивающий возмещение всех затрат, связанных
с производством и реализацией услуги, и получение запланированной прибыли.
В
зависимости от степени дифференциации жизненного цикла и полноты его анализа в
нем выделяют 4, 5 или 6 стадий Наибольшей точностью и полнотой отличается
шестистадийная структура жизненного цикла. В ней выделяются стадии разработки,
внедрения, роста, зрелости, насыщения и спада
На стадии
разработки осуществляются поиск, производство и подготовка к внедрению на рынок
услуги-новинки Разработка новой услуги осуществляется в несколько этапов
• формирование
идей услуги-новинки,
• разработка
замысла и его проверка,
• разработка
стратегии маркетинга по отношению к этой услуге;
• анализ
возможностей производства и реализации услуги,
• разработка
пробных услуг,
• проведение
лабораторных и рыночных испытаний,
•
развертывание массового производства,
• наблюдение
за поведением услуги на рынке
Законы рынка
требуют постоянного обновления услуг. Чтобы обеспечить своевременность вывода
новой услуги на рынок, предприятие формирует так называемый портфель идей Сфера
услуг обладает в этом отношении некоторыми преимуществами Новые идеи
формируются, как правило, под влиянием мнения потребителей о возможных способах
удовлетворения их потребностей Ознакомиться с этим мнением позволяют широкие
контакты с потребителями, характерные для сферы услуг Это позволяет формировать
более объемный портфель идей, сокращает время поиска новых решений,
обеспечивает гибкое реагирование на изменение конкурентной среды. Задача
увеличения числа новых идей, к которым может обратиться предприятие сферы
услуг при обновлении своего ассортимента, обусловлена высоким динамизмом
спроса на услуги. Социальные потребности могут претерпеть существенные
изменения в очень короткие сроки, и для своевременной адаптации к этим
изменениям предприятие должно обладать определенным «запасом идей»
В области
разработки и реализации замысла услуг-новинок предприятия обладают, как
правило, большими возможностями, чем в условиях товарного рынка Производство
новых услуг зачастую не требует крупных инвестиций, мощной
материально-технической базы, сложного ресурсного обеспечения и может быть
осуществлено в короткие сроки Инновационная мобильность в этой сфере существенно
выше, что безусловно повышает эффективность предпринимательской и
маркетинговой деятельности
Услуга,
разработанная в виде пробного образца, не всегда нуждается в лабораторных
испытаниях. Исключение составляют лишь отрасль здравоохранения и те виды
деятельности, что связаны с интенсивным воздействием на природную среду
(транспорт, рекреационная деятельность, туризм) В других случаях можно ограничиться
лишь рыночными испытаниями, приближая срок массовой реализации услуги
На стадии
выведения услуги на рынок необходимо обеспечить осведомленность потребителей
об этой услуге. Для этого используется коммерческая реклама информационного
характера Стимулирование сбыта имеет характер «подталкивания» потребителей к
апробированию и востребованию услуг. На этой стадии возрастает роль личной
продажи услуги (метод персональных продаж) и широких контактов с потребителем В
процессе непосредственного контакта создаются условия для формирования у
потребителей желания опробовать услугу, а неотделимость услуги от источника
позволяет незамедлительно удовлетворить это желание Чтобы сократить период
внедрения услуги и быстрее вступить в период устойчивого роста объема продаж и
прибыли, предприятие непроизводственной сферы усиливает внимание к важнейшему
фактору, обусловливающему успех на рынке услуг, — культуре предпринимательства.
На стадии
роста стратегия маркетинга и всей хозяйственной деятельности по существу
идентична стратегиям товарного рынка Реклама и пропаганда сохраняют свою
значимость, но стимулирование можно сократить, так как увеличение темпов роста
объемов продаж свидетельствует о признании рынком данной услуги.
На стадии
зрелости значимость стимулирования вновь возрастает под воздействием процесса
конкуренции Контактное (моральное) стимулирование вытесняется экономическим На
этой стадии более эффективны предоставление скидок, премирование покупателей,
введение льготных условий оплаты услуг и т. д. Информационная реклама не
требует расширения, так как потребители уже осведомлены об услугах Рекламная
кампания строится преимущественно на отличительных чертах услуги, выделяющих ее
из числа конкурентов. В структуру рекламных мероприятий внедряются элементы агрессивной
рекламы, пропагандирующие свойства и качества услуги.
Маркетинговая
деятельность на стадии зрелости концентрируется на проблемах модификации
услуг. Предлагая разнообразные модификации услуг, производитель получает
дополнительную возможность для приспособления услуг к различным
характеристикам потребительского спроса, реализуя стратегию более углубленного
проникновения на рынок.
В конце
стадии зрелости (на рубеже между «зрелостью» и «насыщением»), когда
наблюдаются первые признаки абсолютного снижения объема продаж и прибыли,
приступают к разработке новой услуги. Финансирование разработок новинок
осуществляется из прибыли от реализации первой услуги, наибольшей на всем пути
ее жизненного цикла.
На стадии
насыщения, когда обостряется процесс конкуренции, ставятся задачи по расширению
методического инструментария, применяемого для укрепления позиций фирмы в
конкурентной среде. Средства информационной рекламы дополняются, а иногда и вытесняются
средствами агрессивной рекламы.
Возрастают
затраты на маркетинг, в структуре маркетинговых затрат увеличивается удельный
вес рекламной составляющей.
Психологический
эффект агрессивной рекламы не бывает постоянным. С течением времени происходит
процесс насыщения рекламной информацией и снижение реакции потребителей на
побудительные стимулы рекламы. Когда «рекламная насыщенность» достигнет
определенного предела, обусловленного психологическими факторами, начинается
резкое снижение объема реализации услуги и прибыли, характерное для стадии
спада.
На стадии
спада возможна одна из двух стратегий; прекращение производства услуги и замена
ее на услугу-новинку или отказ от активных действий в отношении морально
устаревшей услуги. Вторая стратегия (пассивное отношение к «уходящей» услуге)
часто бывает оправданной. Это связано с возможностью возникновения нередких на
рынке услуг новых «всплесков» спроса, вызванных воздействием эффективного
стимулирования или влиянием внешних факторов. Например, на российском рынке
туризма в течение длительного времени существовал устойчивый рост на
идеологические объекты (памятники революции и ее вождям, памятники трудовым
достижениям советского периода и т. п.). В ходе экономического и социального
реформирования эти объекты утратили свое идеологическое содержание, а вместе с
ним и значительную часть потребителей. В жизненном цикле услуг туризма,
направленных на удовлетворение интереса к таким объектам, присутствуют все
элементы, свойственные стадии спада. Однако есть основания предполагать
возможное увеличение потребительского спроса на эти объекты (а такая тенденция
уже прослеживается в потребительской среде международного туризма) как
исторические памятники, хранящие отпечаток многогранной российской истории.
Для
стимулирования услуг, находящихся в стадии спада, целесообразно вновь
обратиться к методу личных (персональных) продаж. С его помощью можно
использовать средства морального воздействия на спрос, а главное — сохранить
имидж фирмы, ее стиль и благоприятное впечатление потребителей. В случае
возобновления спроса на услуги можно воспользоваться положительным образом
фирмы и ускорить процесс вывода обновленной услуги на рынок. Стратегия
маркетинга в этих условиях не предполагает быстрого ухода с рынка, но ориентируется
на активный поиск методов, с помощью которых предприятие услуг может
«удержаться» на рынке в течение длительного времени.
Обобщая
вышеизложенное, можно сделать ряд существенных выводов в отношении
характеристики жизненного цикла услуги и его отдельных стадий:
1. Несмотря
на разнообразие временных этапов, в течение которых услуги сохраняют свою
жизнеспособность, усредненная продолжительность жизненного цикла услуг
превышает аналогичный показатель для товаров, имеющих материальную форму существования.
Это обусловлено большими возможностями в области модификации услуг и поиска
услуги-новинки.
2.
Продолжительность стадий, обеспечивающих основной объем прибыли, приносимой
услугой за весь период ее существования, выше, чем в условиях товарного рынка.
3. Период,
предшествующий получению устойчивой прибыли, относительно невелик ввиду меньшей
трудоемкости процесса производства новой услуги и меньших инвестиционных
затрат.
4. Степень
риска от неопределенности реального реагирования потребителей на появление
услуги-новинки ниже, чем для товаров, имеющих материально-вещественное
выражение. Это вызвано более тесными контактами между производителями и
потребителями услуг и возможностью немедленной проверки реакции потребителей на
пробные услуги.
Особенности
поведения услуги на рынке и возможности для успешного использования
разнообразного маркетингового инструментария позволяют рассматривать сферу
услуг как одно из эффективных направлений предпринимательства, позволяющее
быстро и с относительно небольшими затратами организовать производство и
реализацию специфического товара, способного обладать рыночной
привлекательностью в течение длительного периода.
3.3.
Ассортиментная политика в сфере услуг
На
предприятиях, функционирующих в сфере услуг, ассортиментная политика является
частью единой политики формирования предложения. Она включает в себя
определение набора ассортиментных групп, наиболее предпочтительного с точки
зрения обеспечения экономической эффективности деятельности предприятия в
стратегическом и тактическом периоде.
Ассортиментная
политика рассматривает:
•
соотношение видов групп услуг;
•
соотношение услуг, находящихся в различных стадиях жизненного цикла.
Ассортиментная
политика призвана решать широкий круг задач. Важнейшими из них являются:
• наиболее
полное удовлетворение потребительских предпочтений на основе дифференциации
потребностей и спроса;
•
оптимизация совокупных финансовых результатов;
•
использование интегрированного потенциала предприятия услуг и его определенных
компонентов (технологической базы, производственного опыта, устоявшегося имиджа
и др.);
•
привлечение новых потребительских сегментов;
•
использование принципов современного менеджмента и маркетинга.
Понятие
ассортимента услуг взаимосвязано с понятием номенклатуры. В ряде научных
источников подчеркивается их близость, а иногда и идентичность.
Между тем,
существуют достаточно отчетливые различия данных понятий. Понятие номенклатуры
.охватывает видовое разнообразие услуг. Оно является следствием дифференциации
характеристик спроса и имеет целью максимально возможное приспособление
структуры оказываемых услуг к структуре потребностей и платежеспособности
потребителей.
Ассортимент
услуг как экономическая категория представляется более широким понятием. Он не
ограничивается видовым разнообразием предложения и формируется с учетом
положений концепции жизненного цикла.
В рамках
ассортиментной политики производитель реализует механизм, позволяющий гибко
реагировать на переход конкретных услуг или их однородных групп от одной стадии
жизненного цикла к другой. Например, на стадии внедрения производитель выводит
на рынок ограниченное число услуг, в наибольшей степени соответствующих общим
характеристикам потребительского спроса. На стадии роста он приобретает
возможности для расширения номенклатуры выпускаемых услуг и их параметрического
ряда. На стадиях зрелости и насыщения постепенно исчерпываются возможности
дифференциации и расширения номенклатуры, а на стадии спада число услуг вновь
снижается до 1-2 наиболее популярных видов.
Особое место
в ассортиментной политике занимает проблема поиска рационального соотношения
услуг, находящихся в различных стадиях жизненного цикла и одновременно
присутствующих на рынке. Целью такого поиска является создание достаточно
стабильных общих условий реализации услуг и компенсации расходов на инновационные
разработки, внедрение услуг-новинок, а также поддержание услуг, находящихся в
стадии спада и ожидания возможного увеличения потребительского спроса в
обозримой перспективе.
В отечественной
и зарубежной экономической литературе содержится несколько рекомендаций по
построению рационального ассортимента [3, 13].
Рекомендуется,
в частности, выделять 6 ассортиментных групп, имеющих четкие различия по
принадлежности к той или иной стадии жизненного цикла (рис.4).

Рис. 4. Объем реализованных услуг
Группу А
принято называть основной. В нее входят услуги, находящиеся в стадии
роста и приносящие существенную прибыль. Важно подчеркнуть, что наименование
основной принадлежит не группе Б, где представлены услуги, приносящие
наибольшую прибыль, а группе А, которая обладает большими стратегическими возможностями.
Такой подход
обусловлен действием одного из ключевых принципов маркетинга — целеориентацией
на достижение стратегической устойчивости фирмы-производителя в динамичной
внешней среде.
В группе Б —
поддерживающей, представлены услуги, стабилизирующие совокупные финансовые
результаты и находящиеся в стадиях зрелости или насыщения.
Группу В
характеризуют как стратегическую. В нее включаются услуги в
перспективном периоде.
Такие услуги
находятся, как правило, в заключительной фазе стадии внедрения, когда
потребительский рынок уже обладает определенной информационной насыщенностью,
а образующаяся прибыль является реальным доказательством рыночной
привлекательности услуги.
Тактическая группа — группа Г, призвана
стимулировать реализацию основных групп. Она объединяет сопутствующие услуги
или товары в материально-вещественном виде, которые позволяют удовлетворять
потребности потребителей на более высоком уровне. Эти товары и услуги должны
находиться в стадии роста или зрелости (относительно собственного жизненного
цикла), что способствует установлению ассортиментного баланса.
В данную
модель включена так называемая разрабатываемая группа (группа Д), в
которой представлены услуги, находящиеся в инновационной стадии. Необходимо
отметить, что в эту группу входят не все разрабатываемые услуги, а лишь те из
них, что уже миновали период инновационного поиска и готовятся пройти
лабораторные и рыночные испытания.
В группу Е,
замыкающую данную совокупность, входят услуги, оказавшиеся в стадии спада.
Сюда не включаются услуги, уходящие с рынка, так как они выводятся из
ассортиментного ряда; но остаются те из них, что имеют определенный рыночный
«задел», в частности, услуги, для которых на момент анализа характерно
существенное снижение спроса, и при этом имеются предпосылки для его
увеличения в перспективе.
Рациональное
построение ассортиментного ряда услуг требует определения целесообразного
соотношения структурных групп. К сожалению, пока не разработаны
формализованные модели, способные продуцировать корректные решения данной
задачи. Могут быть даны лишь общие рекомендации, построенные на основе
эмпирических данных В частности, принято считать, что ассортимент услуг
соответствует критерию рациональности, если 75-85% услуг (по объему реализации)
находятся в основной и поддерживающей группах.
Для
характеристики жизненных циклов товаров и услуг используются только показатели
объема реализации или прибыли. В ряде случаев используются такие показатели,
как:
• темпы
роста потребительского спроса;
• объем
занимаемой рыночной доли;
•
соотношение этого объема и рыночной доли главных конкурентов;
• объем
инвестиций в производство услуг и другие.
Ставший
классическим пример присутствия на рынке четырех групп услуг (товаров)
представлен в матрице Бостонской консультационной группы американской
ассоциации маркетинга (БКГ).
Матрица БКГ
в качестве критериев, классифицирующих ассортиментные группы, использует
показатель темпа расширения рынка, а также совокупный показатель, отражающий
рыночную позицию услуги (рис. 5).

Рис. 5. Матрица ассортимента
Бостонской консультационной группы
В матрице
выделены четыре зоны (которым авторы присвоили образные названия), отличающиеся
различными уровнями оценки ключевых характеристик.
Зона I —
«Трудные дети», объединяет услуги, выходящие на рынок и нуждающиеся в
значительном инвестировании, так как существенной прибыли от их реализации не
образуется, хотя объем реализации имеет тенденцию к росту.
По отношению
к жизненному циклу эти услуги находятся в стадии внедрения.
Зона II —
«Звезды», включает услуги, реализуемые в условиях расширяющегося спроса и
занимающие устойчивую рыночную позицию. Условия спроса диктуют необходимость
увеличения масштабов производства, а, значит, и дополнительного
инвестирования. Это инвестирование частично, а иногда и полностью,
осуществляется из прибыли от реализации данной услуги. Такая ситуация
характерна, как правило, для стадии роста.
Зона III —
«Дойные коровы», содержит услуги, активно реализуемые в потребительской среде
и приносящие основную прибыль. Технология их производства отработана. Рыночная
позиция устойчива, необходимость в интенсификации усилий по продвижению отсутствует,
а издержки минимальны Прибыль, образующаяся в результате реализации данных
услуг, обеспечивает финансовую поддержку других ассортиментных групп. Услуги,
входящие в данную группу находятся на стадиях зрелости и насыщения (при
6-стадийной дифференциации жизненного цикла).
Зона IV —
«Изгоняемые собаки», включает услуги, для которых характерно снижение спроса и
показателя рыночной позиции.
Производство
этих услуг снижается или с целью постепенного уходя с рынка и полного
прекращения производства, или с целью ограничения его объема в условиях
ожидания будущего увеличения спроса.
Для услуг
этой группы характерна стадия спада.
Единая
ассортиментная политика как совокупность целеориенти-рованных стратегических и
тактических действий по обеспечению сбалансированного видового разнообразия
услуг и рационального соотношения услуг с позиций цикличности
производственно-рыночных процессов опирается на ряд основополагающих
принципов.
Важнейшими
из них являются:
• принцип
синергизма;
• принцип
стратегической гибкости.
Принцип
синергизма заключается в обеспечении взаимной увязки и взаимного дополнения
услуг или их ассортиментных групп. Такое взаимное дополнение позволяет создать
целостную систему ассортиментных составляющих (ассортиментную систему),
обладающую способностью достигать синергетический эффект, который базируется
на использовании внутренних взаимосвязей системных элементов и их потенциала.
В маркетинге
как интегрированной концепции управления есть несколько направлений, на которые
распространяется принцип синергизма. Например, при образовании системы
«маркетинг-бизнес», являющейся следствием интеграции маркетинга в бизнесе
предприятий, или при формировании комплекса действий в области товарной,
ценовой, сбытовой и коммуникативной политик в рамках системы «маркетинг-микс».
В ассортиментной политике он проявляется в осуществлении взаимной
финансово-инвестиционной поддержки различных групп, а также экономии средств
при увеличении масштабов деятельности предприятия услуг. Источниками
синергизма могут быть:
•
использование одних и тех же производственных мощностей;
•
использование единой научно-исследовательской базы;
• создание
комплексной системы продвижения услуг;
•
формирование и использование единых баз данных, агрегирующих и
систематизирующих необходимую информацию о состоянии и перспективах развития
маркетинговой среды предприятия услуг.
Принцип
синергизма, позитивный по сути, может иметь на практике и негативные
последствия. Основная из них — увеличение риска при резких колебаниях рыночной
конъюнктуры, которые могут сказаться на тесно взаимосвязанных ассортиментных
группах. Компенсировать этот недостаток призвано соблюдение принципа стратегической
гибкости.
Принцип
стратегической гибкости базируется на сочетании услуг или их ассортиментных групп в зависимости
от особенностей технологии, целевых сегментов, конкурентных условий и других
факторов внешней седы. Цель такого сочетания — уравновесить рисковые и
устойчивые группы.
При этом
пытаются достичь такого соотношения, когда внезапные рыночные колебания на
одном из направлений деятельности не имеют тяжелых негативных последствий для
всей ассортиментной совокупности. Такой подход снижает степень риска и
обеспечивает устойчивость предприятия, функционирующего в сфере услуг. Учитывая
подверженность рынка услуг конъюнктурным колебаниям, можно констатировать
исключительную важность соблюдения данного принципа.
Нетрудно
заметить, что принцип синергизма и принцип стратегической гибкости имеют
различные «векторы воздействия» и обладают противоречивым, а в определенном
смысле, и взаимоисключающим характером. Это противоречие может быть
компенсировано с помощью поиска разумного компромисса на основе целевого
единства методологической базы ассортиментной политики в сфере услуг.
Реализация
данной политики осуществляется в процессе формирования обоснованных
стратегических решений. Существует множество ассортиментных стратегий, среди которых
особая роль принадлежит четырем основным:
•
дифференциации;
• узкой
специализации;
•
диверсификации;
•
вертикальной интеграции.
Стратегия
дифференциации
основана на выделении услуг предприятий в качестве существенно отличных от
услуг, предоставляемых главными конкурентами. Она предполагает не только
детализированное изучение спроса и проведение широких маркетинговых исследований,
но и обоснованное позиционирование предприятия и его услуг. Четкое определение
позиций в конкурентной среде, фиксация реальных преимуществ с учетом
сегментной структуры рынка позволяет верно ориентировать и конкретизировать
маркетинговый инструментарий.
•Стратегия
узкой товарной специализации связана с деятельностью предприятия на достаточно узком
сегменте и ограничением его ассортимента.
Эта
стратегия зачастую является вынужденной мерой, вызванной ограниченностью
ресурсного потенциала предприятия. Ее, как правило, используют малые и средние
предприятия, не способные осуществить крупномасштабное производство.
Узкая товарная
специализация может быть эффективной в том случае, если производитель услуг
имеет возможности для своевременного ее изменения вслед за изменением
потребительского спроса. Она определяет повышенные требования к
технологической гибкости и качеству деятельности службы маркетинга, перед
которой ставятся задачи по организации мониторинга спроса, анализу жизненного
цикла услуг и поиску маневренных маркетинговых действий.
В сфере
услуг стратегия узкой товарной специализации получает наибольшее развитие. Оно
обусловлено такими обстоятельствами, как:
• динамичные
изменения спроса и появление специфических потребностей;
• постоянный
контакт между производителем и потребителем, обеспечивающий возможность
получения обширной информации о потребностях и использование дополнительного
маркетингового инструментария,
•
возможность быстрой переориентации предприятия вследствие меньшей, чем на
товарном рынке, потребности в инвестициях;
•
преобладание в этой сфере малых и средних предприятий, более гибких по сути,
• наличие
мелкодисперсной конкурентной среды, в которой не ставятся задачи по обеспечению
качественного, ценового и коммуникативного соответствия крупным представителям
бизнес-среды
Стратегия
диверсификации
представляет собой противоположность узкой специализации Она строится на
основе значительного расширения номенклатуры производимых услуг
Ассортиментные
группы в данном случае не отличаются тесной взаимосвязью, а принцип
стратегической гибкости довлеет над принципом синергизма.
Основным
преимуществом данной стратегии является снижение риска при резких конъюнктурных
колебаниях (например, при неожиданном снижении спроса на отдельные услуг)
Стратегия
дивесификации позволяет рационально использовать управленческий,
производственный, коммерческий, маркетинговый потенциал предприятия, а также
способствует увеличению его общественного признания и соответствующего имиджа
Ее использование свидетельствует о расширении финансовых возможностей
предприятия и укреплении его рыночных позиций
Широкая
дивесификации услуг может иметь и негативные проявления В частности, не
исключена возможность разрыва логической связи ассортиментных групп, что не
только не позволяет рассчитывать на получение синергетического эффекта, но и
затрудняет целостное восприятие потребителем фирмы-производителя
Стратегия
вертикальной интеграции предполагает расширение деятельности по вертикали, т е по
технологической цепочке Она может быть успешна для предприятий, оказывающих
комплексные услуги различных видов
В этом
случае возможна последовательная реализация различных элементов комплексной
услуги и их сочетаний в зависимости от характеристик различных потребительских
сегментов.
Такая
стратегия позволяет снизить издержки за счет использования единой
технологической базы предприятия, производственного опыта, каналов
маркетингового воздействия и т д
Представленные
ассортиментные стратегии должны разрабатываться на основе ключевых положений
стратегического планирования и прогнозирования, теории выбора, теории
эффективности и других достижений экономической мысли конца XX века.
3.4.
Инновационная политика в сфере услуг
Под
инновационной политикой предприятия сферы услуг следует понимать совокупность
управленческих методов, обеспечивающих интеграцию всех видов нововведений и
создание условий, стимулирующих инновации во всех областях
производственно-рыночной деятельности.
В системе
маркетинга выделяется четыре элемента инновационной политики'
• поиск идеи
услуги-новинки,
•
проектирование и организация производства услуги,
• внедрение
услуги на рынок,
• наблюдение
за ходом и последствиями ее реализации
Понятие
«услуга-новинка» приближается по смыслу к понятию нового товара, принятого в
концепции маркетинга Под услугой-новинкой подразумевается
•
качественно совершенно новая услуга,
• услуга,
имеющая значительные усовершенствования по сравнению с уже представленными на
рынке,
• услуга,
имеющая некоторые усовершенствования,
• услуга,
обладающая так называемой рыночной новизной, т. е уже имеющая опыт реализации
на конкретном рынке и внедряемая в новую рыночную сферу
Столь
широкая трактовка не противоречит основному социально-экономическому принципу
идентификации инноваций Под инновацией — новым товаром или услугой —
понимается не просто новый способ удовлетворения потребностей потребителя, но такой
новый способ, который обеспечивает возможность получения дополнительного
экономического или социального эффекта. В случае отсутствия такого эффекта,
даже при условии существенных качественных изменений в характеристиках услуги,
ее можно определить как «вновь созданную».
Процесс
разработки новой услуги предусматривает ряд последовательных этапов.
I этап. Поиск идеи новой услуги.
Он включает
в себя определение потребности в инновации; формирование портфеля требований
потребителей; непосредственный поиск идей новой услуги, соответствующей этим
требованиям; ее разработку, а также определение целесообразных временных параметров
внедрения услуги на рынок.
Источниками
инновации могут быть различные организации инновационного профиля, отдельные
разработчики-инноваторы, материалы наблюдений за лидерами рыночной среды,
организованных в рамках бенчмаркинга, и другие. Однако большинство идей
(применительно к сфере услуг — более 80 %) инициируется потенциальными
потребителями. Это обстоятельство обусловливает необходимость интеграции
инновационной и исследовательской функции, когда в рамках маркетингового
исследования предпринимаются попытки поиска инноваций. Такой подход
исключительно важен с точки зрения соблюдения одного из основных условий
успешной инновации — недопустимости абстрактного решения научной проблемы без
учета потребностей потребителей и их платежеспособности.
Выбор
инновационной идеи должен осуществляться в условиях множественности вариантов и
использования принципиально верной критериальной базы. При этом, чем большее
число рассматриваемых вариантов включает множество, тем более обоснован результат
выбора.
В качестве
оценочного критерия следует использовать показатель социально-экономической
эффективности, механизм формирования которого может видоизменяться под
воздействием факторов маркетинговой среды (условий конкуренции, состояния и
перспектив развития спроса, характера стратегии предпринимательства и
маркетинга).
* По
аналогии с теорией научно-технического прогресса, где приняты четкие
разграничения между понятиями новой и вновь созданной техники, выстроенные на
основе критерия эффективности.
Итогом
первого этапа является разработка программы развития новой услуги, в которой
представляются цель, ресурсы и конкретные мероприятия по проектированию,
организации производства и продвижения услуги.
II этап. Проектирование и организация
производства новой услуги, проведение лабораторных и рыночных испытаний.
В
соответствии с результатами оценки и выбора инновационной идеи производится
детальное проектирование процесса производства и предоставления услуги.
Проектирование учитывает ресурсные ограничения, заложенные в программе
развития новой услуги, и формирует конкретные решения, взаимоувязывающие спрос
и ресурсный потенциал производителя.
Далее
осуществляется организация производства пробных услуг и проведения лабораторных
и рыночных испытаний.
Лабораторные
испытания необходимы лишь для некоторой части услуг (например,
«производственных», услуг). В рыночных испытаниях нуждаются все услуги-новинки.
Однако в
современных условиях, в связи с развитием научно-технического прогресса и
интенсификацией процесса конкуренции фирмы-производители часто отказываются от
проведения рыночных испытаний. Такие действия позволяют достичь определенного
преимущества во времени (в частности, при реализации стратегии «снятия
сливок»). Важно подчеркнуть, что отказ от рыночных испытаний увеличивает
степень риска инновационных разработок, который, при условии соблюдения всех
правил целесообразного рыночного поведения, является наибольшим.
III этап. Организация массового производства
услуги.
Этой
организации предшествует предварительная подготовка рынка. Она заключается в
информировании потребителей о намерениях производителя по внедрению новой
услуги и ее основных характеристиках. Непосредственный контакт производителей
услуг и их потребителей обеспечивает возможность оповещения целевого сегмента с
наименьшими затратами.
В процессе
массового производства новой услуги задачи маркето-лога сводятся к следующему:
• наблюдение
за точным исполнением мероприятий инновационной программы и соблюдением
сроков;
• оценка
соответствия параметров услуги и реальных характеристик спроса;
• внесение
(при необходимости) корректировок в параметры услуги;
• разработка
рекламной кампании;
•
формирование тактических мероприятий по стимулированию реализации услуги;
• анализ
рекламаций со стороны потребителей и др.
Наблюдение
за рыночным поведением услуги и использование соответствующего маркетингового
инструментария могут осуществляться и в рамках самостоятельного этапа,
четвертого в данной совокупности.
Инновационная
политика базируется на принципе перманентности инноваций.
Под
перманентностью понимается сочетание трех свойств:
•
преемственности, т. е. такого развития, когда «новое, сменяя старое, сохраняет
в себе некоторые его элементы»;
•
непрерывности, подразумевающей отсутствие достаточно длительных, временных
интервалов, в течение которых инновационные разработки не проводятся, что
может привести к нарушениям научно-технологического цикла;
•
последовательности, означающей наличие совокупности этапов, подчиненных единой
цели и следующих один за другим.
Формирование
инновационной политики должно осуществляться в соответствии с теорией
жизненного цикла услуг, рассмотренных в предыдущих разделах.
Началом
жизненного цикла любой услуги служит инновационная стадия (или стадия
разработки), по завершению которой предпринимательские структуры приступают к
внедрению услуги на рынок, используя для этого адекватные меры маркетингового
воздействия и, в частности, проводя активную информационно-рекламную кампанию
относительно услуги-новинки.
По мере
достижения необходимой информационной насыщенности (и при условии полного
соответствия характеристик товара потребительскому спросу) сначала постепенно,
а затем с возрастающими темпами начинают увеличиваться показатели-индикаторы
экономических изменений Период, в течение которого фиксируется увеличение
темпов роста объема реализации и прибыли, именуется, как известно, стадией
роста, наступление которой и является, по существу, признанием услуги на рынке.
Этот период имеет и негативные (с точки зрения конкретного
предпринимательского звена) проявления. Он, в частности, знаменует появление
конкурентных процессов, которые имеют пока скрытую (потенциальную) форму, но
способны активизироваться при определенных обстоятельствах. На этой стадии
следует считать целесообразным качественное усовершенствование услуги, которое
может рассматриваться как «выставление дополнительных барьеров» для конкурентов,
имея ввиду, что перед конкурентами ставится задача производства услуги, превосходящей
в качественном отношении обращающиеся на рынке услуги-аналоги или обладающей
ценовым преимуществом. Повышение качества производимой услуги на стадии роста
можно рассматривать как один из этапов единой инновационной политики, обусловленной
изменением рыночной конъюнктуры.
Процесс конкуренции имеет необратимый характер; именно он
является тем стимулирующим механизмом, который активизирует инновационные
разработки всех участников рынка услуг. Вследствие совместного действия
конкуренции и научно-технического прогресса изменяются характеристики рыночной
среды, а применительно к конкретной услуге — условия ее реализации. Признаком
этих изменений является снижение темпов роста объема реализации и прибыли при
сохранении их абсолютного увеличения Такое состояние характерно для стадии
зрелости, в которой наблюдается относительная стабильность рыночных позиций на
фоне активизирующихся конкурентных процессов. Наиболее действенным инструментом
маркетингового воздействия на этой стадии принято считать модификацию
производимой услуги с целью достижения ее максимального соответствия структуре
потребительского спроса. Под модификацией услуги понимается совокупность ее
разновидностей, представляющих единую группу с однородными признаками, но с
некоторыми отличиями, соответствующими определенным рыночным сегментам.
Очевидно, что модификация является следствием качественного процесса,
связанного с совершенствованием всей ассортиментной группы. С определенной
долей условности можно характеризовать этот процесс как инновационный, т. к.
смысл инноваций не столько в достижении определенной степени новизны, сколько
в достижении дополнительного эффекта.
Исчерпание
возможностей в области модификации услуги приводит к наступлению следующей
стадии жизненного цикла — стадии насыщения, на которой происходит постепенное
абсолютное снижение объема продаж и прибыли. При этом особенно важно четко зафиксировать
момент перехода из одной стадии в другую, выделив
«точку
перелома» (рис. 6).

— — существующий товар ———— — новый
товар
I _
инновационная стадия II — стадия внедрения II — стадия роста IV — стадия
зрелости V — стадия насыщения VI — стадия спада
Рис. 6. Соотношение жизненных циклов
существующей и новой услуги
Именно в
этот момент (на практике это — непродолжительный отрезок времени) рекомендуется
начать следующий этап перманентного инновационного процесс и приступить к
разработке новой услуги. Следует иметь в виду, что логика жизненного цикла
предполагает прекращение производства любой услуги вследствие сужения и
трансформации потребительского спроса. Основой длительного функционирования в
рыночной среде является замена морально устаревшей услуги новой. Только в этом
случае функционирующие предпринимательские структуры в сложных условиях рынка
услуг приобретают способность к решению комплексных стратегических задач.
Представленная
на рис.6 графическая иллюстрация этого процесса позволяет достаточно четко
очертить отдельные инновационные периоды. Первый связан с приращением
инновационного потенциала по уже обращающейся на рынке услуге, второй — по
услуге, призванной ее заменить (тонкая линия). На рубеже инновационных периодов
и должны осуществляться основные инвестиции в развитие
производственно-хозяйственной деятельности. Это обусловлено двумя
обстоятельствами:
•
естественной потребностью в инновациях вследствие снижения основных
экономических показателей и необходимостью обновления товарного предложения;
•
достаточным объемом прибыли (максимальным по сравнению с другими этапами
жизненного цикла), соответствующим реальным задачам в области инвестирования.
Важно
подчеркнуть, что смещение начала инновационного периода чревато многими
негативными последствиями. Если приступить к инвестированию в новые разработки
позже, за пределами этапа, соответствующего «точке перелома» (например, на
рубеже стадий насыщения и спада), существует опасность попасть в условия недостаточной
финансовой обеспеченности инноваций, что может сказаться как на качестве
разработок, так и на суммарных экономических показателях.
Возвращаясь
к услуге, лежащей в основе исследования, необходимо отметить, что на стадии
насыщения, хотя и существуют возможности для поддержания ие рыночных позиций,
они, как правило, не несут инновационной составляющей. Маркетинговые приемы,
рекомендуемые на этой стадии, сводятся, в основном, к применению мер
социально-психологического воздействия на носителей спроса — агрессивной
рекламной кампании, коммерческой пропаганде, а также использованию методов
стимулирования сбыта. Инновационно содержательная компонента на стадии
насыщения не имеет условий для своей реализации. Кроме того, к этому периоду
инновационная политика в отношении данной услуги уже прошла ряд собственных
стадий (разработку, улучшение качества, модификации) и инновационный задел в
значительной мере исчерпан.
На стадии
спада, завершающей жизненный цикл и наступающей вследствие психологического пресыщения
рекламной пропагандой и почти полного использования других средств
маркетингового воздействия, возможности для инноваций предельно сужены. По
существу, уместна лишь теоретическая постановка вопроса о возможности
продолжения инновационных действий. Этот период совпадает с периодом активной
разработки, а в некоторых случаях — с внедрением на рынок новой услуги.
Обобщая
вышеизложенное, необходимо отметить, что инновационная политика является
неотъемлемой частью эффективной производственно-рыночной деятельности. Именно
она обеспечивает стратегическую устойчивость предприятий в условиях структурно
насыщенного и быстро развивающегося рынка услуг.
Глава 4
Ценовая
политика в маркетинге услуг
4.1.
Ценовые системы рынка услуг
Политика цен
представляет собой один из основных элементов современного маркетинга.
Интегрированная в систему комплексного маркетинга, она выступает эффективным
регулятором спроса, предложения и позиций предприятия в конкурентной среде.
Цена услуги,
как и любого товара, испытывает влияние трех факторов: издержек, спроса и
конкуренции. Соответственно в практике маркетинга используются три концепции
ценообразования: ориентированная на издержки, на спрос и на конкурентов.
Ценовая
политика предприятия преследует несколько целей [ 19, с. 80]:
• повышение
рентабельности;
• увеличение
рыночной доли;
• адаптация
к рынку, к конкуренции;
•
максимизация прибыли.
При
стремлении увеличить рентабельность предприятия возникает тенденция к повышению
цены. Однако в условиях зависимости цен от спроса и уровня конкуренции это не
всегда удается. В сфере услуг процесс роста цен встречает дополнительные
трудности социального и социально-психологического плана. Так как спектр
услуг, предоставляемых клиентам, постоянен в течение многих лет и даже десятилетий,
складывается стереотип отношения к ценам, преодолеть который достаточно
трудно. Кроме того, непроизводственная сфера является объектом повышенного
государственного вмешательства, способного усилиться при резком росте цен на
социальные услуги. В этих условиях целесообразно искать резервы повышения
рентабельности в полной загрузке производственных мощностей, завоевании
большего объема потенциальных клиентов, увеличении объема производства.
Стремясь
увеличить рыночную долю, проводят политику низких цен. Ее нужно сочетать с
политикой расширения, совершенствования и стимулирования сбыта, которые могут
стать более эффективными средствами увеличения рыночной доли. При этом важно
помнить, что чрезмерно низкая цена на услуги может не повысить, а понизить
спрос, так как по отношению к этим услугам может сформироваться устойчивый
образ типично дешевого и низкокачественного предложения.
Ценовая
политика приспособления к конкуренции получила на рынке услуг широкое
распространение. Рассчитанные на широкиеслои потребителей и массовый характер
сбыта услуги всегда потребляются в условиях достаточно низкой
платежеспособности В этих условиях трудно убедить потребителя востребовать
услуги с более высокой ценой, чем цена конкурентов. Исключение составляют
услуги, предназначенные для редкого или разового потребления и отличающиеся
более высоким качеством
Но
приспособление цен к услугам конкурентов имеет существенный недостаток — оно
сокращает возможности дифференциации продукции на основе качественных
характеристик. Кроме того, такая политика таит в себе опасность потери
стремления к совершенствованию услуги и внедрению новых технических и
технологических решений
Максимизация
прибыли рассматривается многими предпринимателями как основная цель
формирования цен. Такая цель весьма привлекательна и соответствует в принципе
единым целям маркетинга Однако ее реализация возможна лишь в краткосрочном
периоде (при предоставлении единичных услуг или при выполнении уникального
заказа) При развитии предложения производитель столкнется с неизбежным
обострением конкуренции и будет вынужден снизить цену до приемлемого уровня.
Только особый имидж и статус предприятия позволяют долговременно использовать
повышенную цену Например, предприятие образования, имеющее высший рейтинг, обладает
возможностью максимизировать прибыль за счет увеличение цены, а обычный
спортивный комплекс, выводящий на рынок новую услугу по высокой цене, в
состоянии удержать эту цену непродолжительное время, так как конкуренты могут
быстро организовать производство такой же услуги и установят на нее более
низкую цену.
В маркетинге
используется несколько видов ценовых систем (рис 7)[19,с.82]

Ценовая
политика в маркетинге услуг
Ценовая
система, адаптирующаяся к рынку, базируется на использовании переменных цен,
подверженных влиянию динамики рыночных условий.
Система
единых вертикальных фиксированных цен может быть использована при
предоставлении «фирменных» услуг. Здесь цена определяется не столько спросом и
конкуренцией, сколько подразумевающимся высоким качеством, присущим всем
услугам фирмы (например, услуги салонов мод).
Система скалькулированных
цен получила широкое развитие в производственной сфере. В непроизводственной
сфере она применима для услуг, оказываемых с использованием машин, механизмов,
комплектующих материалов, узлов, деталей (например, при ремонте автомобилей и
другой техники). Такая система цен создает впечатление о продаже как полностью
соответствующей калькуляции, не зависящей от ситуации на рынке. В этом случае
даже высокие 'цены указываются с точностью до сотых долей единицы.
Система
единых цен широко распространена во многих отраслях-услуг, в услугах связи, в
коммунально-бытовых услугах. Иногда фиксированные единые цены устанавливаются
государством, образуя систему государственных цен. Государственные цены могут
устанавливаться на услуги здравоохранения, культуры, образования, спорта или
иные услуги, связанные с установкой стратегических социальных приоритетов
(например, фиксированная квартирная плата). При использовании единых цен иногда
допускаются небольшие отклонения в ту или иную сторону, однако настоящая
ценовая конкуренция невозможна.
Так
называемая система нарушенных цен основана на незначительном уменьшении
номинальных цен, визуально кажущихся слишком высокими (например, 99 999 руб.
вместо 100 000 руб.). Такой подход целесообразен при распространении единичных
дорогостоящих услуг. При регулярной покупке услуг психологический эффект
нарушенных цен не сохраняется.
При
разработке ценовой политики важно обеспечить соответствие цены и качества
услуги Разрыв цены и качества чреват многими последствиями В частности,
снижаются возможности предприятия в сфере неценовой конкуренции, формируются
крайне неблагоприятные предоставления о предприятии, изменяется воздействие,
оказываемое рекламной кампанией, теряется сбыт, наконец, возникает опасность
включения механизмов жесткого государственного регулирования.
Потребитель
всегда оценивает не абсолютное, а относительное качество, т. е. то, что
проявляется в процессе сравнения конкурирующих услуг. В первую очередь, он
обращает внимание на наличие или отсутствие определенных компонентов качества.
Это особенно заметно применительно к сложным, комплексным услугам: услугам
страхования, оцениваемым на наличие тех или иных условий, интеллектуальным
услугам, оцениваемым с точки зрения использования специалистов высокой
квалификации и определенного интеллектуального уровня. Цена на услуги разного
компонентного состава может быть только различной.
Более сложно
соотнести цену и качество услуг, не отличающихся набором компонентов. В этом
случае необходимо исследовать восприятие потребителем качества услуги,
например с помощью постоянно действующего опроса потребителей непосредственно
на предприятии услуг или специального социологического обследования Косвенные
оценки качества услуг можно получить на основе динамики объема спроса, но при
этом необходимы непрерывные длительные наблюдения (мониторинг спроса).
Проблема
оценки качества связана не только с самой услугой, но и обстоятельствами ее
приобретения. Так, качество услуг общественного питания зависит не только от
качества блюд, но и от интерьера предприятия, культуры обслуживания и т. п. В
этом случае требуется комплексная оценка всех компонентов процесса
приобретения услуги.
Обобщая
вышеизложенное, следует подчеркнуть, что объектом политики цен является не только
величина денежного вознаграждения, но и системная конструкция «цена —
качество», где основополагающим звеном является качество продукта. Такая
взаимосвязь может рассматриваться как еще одно доказательство неразрывности и
единства элементов комплексного маркетинга.
4.2.
Формирование цены на услугу
В
практическом маркетинге необходимо решать задачи по установлению конкретной
цены на услуги При этом важно использовать соответствующий методический
инструментарий, позволяющий эффективно функционировать всем элементам
рыночного механизма.
Процесс
установления цены на услугу включает ряд последовательных этапов-
• постановку
задач ценообразования;
•
определение спроса на услуги;
• оценку
издержек,
• анализ цен
и услуг конкурентов;
• выбор
метода ценообразования;
•
установление окончательной цены на услугу (приспособление цен).
Постановка
задач ценообразования,
Задачи
ценообразования входят в состав целевых установок фирмы, в которых цели
маркетинга совпадают с целями фирмы Цели маркетинга и цели фирмы включают в
себя совокупность целей, ставящихся в рамках каждого из элементов комплекса
маркетинга. Последние в свою очередь определяют совокупность задач, конкретизирующих
целевые установки (рис 8)
Данная
структура выстроена в соответствии с законами нормальной иерархии, когда
элементы более низкого уровня «подчинены» элементам более высокого уровня,
расширяя и конкретизируя совокупность их свойств и качеств
Задачи
практического установления цены, входящие в состав целевого блока,
реализуемого в рамках ценовой политики, подчиняются воздействию со стороны
единых целей предприятия сферы услуг и развивают их до конкретного, пригодного
для практики выражения.

Маркетингу
присуща множественность целей, и каждой из них соответствуют различные задачи,
в том числе и в области ценообразования. К наиболее часто встречающимся целям
относятся:
•
обеспечение «выживаемости» фирмы;
•
максимизация текущей прибыли;
• завоевание
лидерства по показателям качества услуг.
Обеспечение
«выживаемости» фирмы становится основной целью предприятия сферы услуг в тех
случаях, когда на рынке услуг развернута острая конкурентная борьба или
интересы потребителей подвержены резким колебаниям (например, в развлекательной
сфере, в шоу-бизнесе). В этих условиях предприятие вынуждено устанавливать
заведомо низкие цены на свои услуги, стремясь удержаться на данном рынке. При
этом неизбежно снижение прибыли, и до тех пор, пока удается покрывать издержки,
предприятие может продолжать свою деятельность в выбранном направлении. Такая
стратегия часто бывает оправданной, так как низкая цена и возможное увеличение
колеблющегося спроса могут обеспечить приток новых потребителей и увеличить
объем реализации услуг.
Задачи
максимизации текущей прибыли связаны, как правило, с планируемым расширением
производства и повышением качества услуг. Например, привлечение
высококвалифицированных специалистов или внедрение новых технических средств и
современных технологий в сфере образования требуют приобретения дополнительных
средств, источником которых может быть максимизированная текущая прибыль. В
этих условиях предприятие сферы услуг производит оценку спроса и издержек
применительно к разным уровням цен и выбирает за основу ту цену, что
обеспечивает максимальный приток текущей прибыли. В этом случае текущие
финансовые показатели становятся более важными, чем долговременные.
Завоевание
лидерства по показателям доли рынка основывается на широко распространенной
точке зрения, согласно которой наиболее высокая доля рынка обеспечивает
наиболее низкие издержки и достаточно высокую долговременную прибыль. Добиваясь
лидерства в этой сфере, предприятие реализует стратегию низких цен, стремясь
добиться предпочтения своих услуг возможно большим, числом потребителей. Один
из вариантов этой цели — добиться приращения конкретной доли рынка. Если фирма
ориентируется на установление высокой цены, она вынуждена решать задачу
повышения качества услуг, так как законы рынка требуют соответствия качества и
цены. В этом случае фирма ставит своей целью завоевание лидерства по
показателям качества и покрывает издержки на достижение высокого качества за
счет увеличения цены. Примером такой политики может служить организация
элитных школ, курсов обучения, кружков, ориентированных на услуги
специализированного обучения, приобретение специальных навыков в той или иной
сфере деятельности. Этому виду услуг можно придать новые свойства за счет
привлечения высококвалифицированных специалистов, опытных профессионалов, разработки
программ обучения, соответствующих международным стандартам, использования
новейших методик и оборудования.
Определение
спроса на услуги.
Рыночный
механизм функционирует таким способом, что цена на услуги всегда оказывается на
уровне, соответствующем реальному спросу. Поэтому предприятию
непроизводственной сферы всегда важно знать, насколько чувствителен спрос на
услуги, т. е. насколько он эластичен. Если спрос можно назвать эластичным,
целесообразно ставить вопрос о снижении цены, которая позволит стабилизировать
спрос. Если спрос менее эластичен, предприятие располагает возможностями для
повышения цены.
Уровень
эластичности спроса будет достаточным для установления высокой цены при
следующих условиях:
1.
Существует дефицит услуг и отсутствует конкуренция.
2.
Ограничена возможность замены услуг другими, удовлетворяющими ту же
потребность.
3.
Потребители не сразу замечают повышение цены услуг.
4.
Потребители не склонны к изменению своих привычек, вкусов и предпочтений.
5.
Потребители считают оправданным повышение цены вследствие повышения качества,
роста инфляции и т. д.
Оценка
издержек.
Спрос, как
правило, определяет максимальную цену, по которой может быть реализована
услуга. Минимальная цена определяется издержками по производству и сбыту и
нормой прибыли предприятия сферы услуг за приложенные усилия и риск.
Издержки
предприятия непроизводственной сферы, как и любого другого предприятия,
слагаются из постоянных и переменных издержек. Постоянные издержки — это
расходы, которые остаются неизменными и не зависят от объема предложения услуг
(коммунальные платежи, жалование специалистам, заработная плата обслуживающего
персонала и т. д.).
Переменные
издержки связаны с приобретением и сбытом услуг (тоанспортныр расходы, аренда
специализированных помещений, например ча"оз и концертных площадок и т.
п.). Сумма переменных издержек меняется в зависимости от числа предложенных
услуг.
Анализ
цен и услуг конкурентов.
Хотя
максимальная цена определяется спросом, а минимальная — издержками, на установление
среднего диапазона цен влияют цены конкурентов. Цена услуг конкурентов в ряде
случаев может выступать в качестве основополагающего фактора формирования цены.
При этом важно учитывать не только цену, но и качество услуг конкурентов.
Если
качество услуг аналогично услугам конкурентов, предприятие вынуждено
устанавливать цену, близкую к цене конкурентов, так как в противном случае оно
столкнется с проблемой снижения сбыта. Если предприятие непроизводственной
сферы предоставляет услуги более низкого качества, оно не может устанавливать
такую же, а тем паче большую, цену, чем конкуренты. Большая, нежели у конкурентов,
цена может быть использована лишь в случае более высокого качества услуг. По
существу, предприятие пользуется ценой для позиционирования своей услуги по
отношению к конкурентам.
Наиболее
точный учет цен конкурентов необходим в случае реализации дорогостоящих и
уникальных услуг, а также тех из них, которые достаточно редко потребляются
одним потребителем.
Например,
даже незначительное увеличение цены на объект недвижимости, идентичный по
качественным параметрам продукту конкурента, может полностью ликвидировать
спрос на этот объект. В этих условиях предприятие будет вынуждено через
некоторое время снизить цену до нормального уровня, но уже не сможет компенсировать
потери времени.
Выбор
метода ценообразования.
Установление
цены на услугу представляет собой процесс поиска промежуточной цены между
слишком высокой и слишком низкой. Такая промежуточная цена должна обеспечить
возможность получения определенного дохода, но не ограничивать условий формирования
спроса.
Наибольшее
распространение на практике получил метод усреднения цены услуг. В рамках
этого метода устанавливается средний уровень между ценами конкурентов и ценами
услуг-заменителей, которые являются отправной точкой для определения цены услуг
практически любого предприятия сферы услуг.
Но
существуют и другие методы:
а) Расчет
цены по методу «средние издержки + прибыль». Это наиболее простой из всех применяемых методов, суть
которого заключается в начислении наценок на себестоимость услуги. Наценки
колеблются в широких пределах, но не превышают 50 % себестоимости (для
уникальных, единичных услуг).
б) Расчет
цены с обеспечением целевой прибыли. В сфере услуг уровень прибыли на вложенный капитал обычно
составляет 15-20%. В случае производства наиболее капиталоемких услуг
(например, создание недвижимости) он может иметь более высокие значения.
в) Расчет
цены на основе уровня текущих цен. Этот метод ориентируется в основном на цены конкурентов. В
непроизводственной сфере он получил достаточно широкое распространение, так
как уровень эластичности спроса на рынке услуг с трудом поддается измерению, а
цены конкурентов всегда можно точно измерить. Наглядным примером использования
этого методы является так называемый вторичный рынок жилой недвижимости, в
рамках которого оказываются услуги в области перераспределения существующего
жилья. Спрос на эти услуги подвержен влиянию чрезвычайно многочисленной группы
факторов, и измерить степень его изменения под воздействием одного из них — в
данном случае цены — крайне сложно. Кроме того, уровень конкуренции на вторичном
рынке жилья обычно высок, и для его снижения предприятия-конкуренты
предпочитают придерживаться определенного уровня цены, дабы сохранить
нормальное рыночное равновесие.
г) Расчет
цены на основе заказов.
Множество
предприятий сферы услуг работает по предварительным заказам. В этом случае
используется конкурентное ценообразование, с помощью которого предприятие
стремиться получить престижные заказы, укрепляющие его имидж и формирующие
благоприятные рыночные перспективы. При этом предприятие устанавливает цену в
зависимости от ценовых предложений конкурентов и на более низком уровне. Такой
метод относительно независим от соотношения между ценой и издержками и между
ценой и спросом.
Установление
окончательной цены (приспособление цен).
Каждый из
методов ценообразования имеет целью сократить переделы, в которых будет
установлена окончательная цена. Непосредственно перед назначением цены
необходимо учесть влияние ряда дополнительных факторов.
1.
Психология восприятия цены.
Этот фактор
для предприятия непроизводственной сферы может приобрести решающее значение.
Обеспечивая производство социальных услуг и удовлетворяя определенную социальную
потребность, предприятие выступает в качестве одного из элементов, формирующих
уровень жизни населения. В этих условиях оно рискует подвергнуться
государственному или общественному вмешательству, ограничивающему его
деятельность. Повышение цены на услуги до уровня, превышающего возможность
приобретения услуги большинством потребителей, может вызвать ряд санкций со
стороны органов управления, располагающих запретительно-разрешительными
рычагами, или просто создать неблагоприятный общественный фон. Предприятие
вынуждено ограничивать цену своих услуг (даже если условия рыночной конъюнктуры
позволяют повысить цену), чтобы обеспечивать устойчивость своих позиций. Наиболее
существенное влияние психологии восприятия цен наблюдается в отраслях, включающих
и коммерческий, и государственный сектор(здравоохранение,образование).
2. Стадия
жизненного цикла услуги.
На стадии
внедрения услуги-новинки и на стадии роста можно установить достаточно высокую
цену («снять сливки»). Но в дальнейшем при снижении темпов роста объема
реализации (стадия зрелости) и абсолютного снижения этого объема (стадия насыщения)
необходимо незамедлительно снизить цену, чтобы привлечь новые группы
потребителей. При этом можно упростить модель услуги и снизить издержки.
Использование
стратегии «снятия сливок» оправдано в следующих условиях:
• уровень
текущего спроса достаточно высок;
• издержки
мелкосерийного производства не настолько высоки, чтобы свести на
«нет» финансовые выгоды предприятия;
• высокая
цена ассоциируется у потребителя с высоким каче ством;
• высокая
цена не будет привлекать конкурентов.
3.
Необходимость прочного внедрения на рынок.
Подчиняясь
этой необходимости, предприятие использует сравнительно низкую цену с целью
привлечения большего числа потребителей и овладения большей долей рынка.
Установление низкой цены целесообразно в следующих случаях:
• если
предприятие внедряет на рынок не очень популярную услугу, например в случае,
если оно уже располагает необходимой материально-технической базой, а внедряемая
услуга не является основной;
• если рынок
отличается повышенной чувствительностью к ценам, но стоит задача по его
расширению;
• если с
ростом объема производства услуг издержки существенно сокращаются;
• если
низкая цена непривлекательна для существующих и потенциальных конкурентов.
4.
Возможность установления цен на обязательные принадлежности.
Значительная
часть предприятий сферы услуг использует так называемые обязательные
принадлежности. К ним относятся, например, учебная литература, предлагаемая
обучающимся на различных курсах или в специализированных учебных заведениях;
тренажеры и
спортивные снаряды в физкультурно-спортивных комплексах; музыкальные
инструменты в музыкальных школах и училищах и т. п. С помощью варьирования цен
на обязательные принадлежности можно добиться скрытого повышения цены на
услуги. Можно установить высокую цену на обязательные принадлежности, совмещая
ее с низкой ценой на основные услуги. И наоборот, низкую цену на принадлежности
или даже их предоставление на бесплатной основе можно сочетать с общей стратегией
высоких цен.
5.
Возможность принятия на себя расходов по доставке.
Такую
возможность целесообразно использовать на рынке с высоким уровнем конкуренции
Предприятие, заинтересованное в укреплении деловых контактов с конкретным
заказчиком, предпочитает нести дополнительные транспортные расходы, но
создавать благоприятные перспективы в расширении взаимоотношении с постоянными
клиентами. Такой метод широко используется предприятиями, занимающимися
ремонтом бытовых приборов, аудио- и видеотехники и т. д.
6.
Возможность использования скидок.
В сфере
услуг обычно используются следующие виды скидок:
• скидка за
платеж наличными;
• скидка за
качество приобретаемых услуг;
•
предпраздничные скидки;
• зачеты.
Примером,
типичным для мировой практики, является условие оплаты услуги в течение 30 дней
после ее получения; но если платеж осуществляется через 10 дней, покупатель
пользуется 2 % скидкой (так называемое условие « 2/} о, нетто 30»)
Скидка за
количество предоставляется покупателям серийных услуг, например коллективам
предприятий для удовлетворения личных нужд работников (приобретение путевок в
санатории и дома отдыха, организация медицинского обследования членов
коллектива и т. п.). Возможность предоставления таких скидок обеспечивается
экономией издержек по их оказанию.
Предпраздничные
скидки связаны с предварительным заказом услуг. Они позволяют поддерживать
более стабильный уровень производства услуг
Зачеты
представляют собой особую форму скидок, когда клиент, потребляющий услуги, не
расплачивается деньгами, а производит товарообменный зачет Такая форма расчета
распространена, например, в сфере шоу-бизнеса, где оплата исполнителей и
творческих коллективов часто компенсируется предоставлением автомобилей, путевок,
аппаратуры и т п. Аналогичная форма расчета широко практикуется ремонтными и
оформительскими организациями. Их услуги пользуются, как правило, повышенным
спросом и часто применяются в виде платежного средства
Глава 5
Коммуникативная политика в
маркетинге услуг
5.1.
Коммуникации на рынке услуг
Термин
«коммуникация» обязан своим происхождением латинскому слову всоттишса1ю» —
делаю общим, связываю, общаюсь. В общественных науках под коммуникацией
понимается процесс общения, передачи информации от человека к человеку.
С позиций
маркетинга коммуникация рассматривается как сложное, многоаспектное понятие,
охватывающее систему взаимосвязей и взаимоотношений, обусловливающее
возможности обмена информацией между различными субъектами рынка их взаимного
влияния по поводу купли-продажи.
Чтобы
реализовать специфическую функцию маркетинга — формирование спроса и
стимулирование сбыта продукции, необходимо осуществлять деятельность по
установлению и развитию коммуникативных связей между предприятием и потребителями
его продукции. Коммуникативная политика входит в состав элементов комплексного
маркетинга и является тем инструментом, который позволяет активизировать
процесс воспроизводства спроса и повысить эффективность сбытовой деятельности.
Учитывая
специфику предприятий услуг, их социальную направленность и способность к
формированию условий жизнедеятельности человека, можно выделить два аспекта
коммуникативной деятельности в этой сфере.
Первый
аспект связан с социально-психологическими особенностями коммуникаций. Он
рассматривает средства коммуникации как способ побуждения потребителей к
определенному поведению, соответствующему задачам распределения услуг.
Социально-психологическая
интерпретация коммуникаций выражена известной моделью американского политолога
Лассвела (рис.9).

Коммуникатор представляет собой источник
информации, являющийся основой обращения, направленного в сторону принимающего
звена (приемника). Из множества качеств, необходимых коммуникатору, выделяются
убедительность, ясность намерений, личные качества. Убедительность зависит от
понимания сути информации и предмета обращения, социального и профессионального
статуса и уверенности коммуникатора. Коммуникатор преследует определенную цель
— изменение мнений и взглядов тех, с кем он вступает в контакт, и извлечение
из этого определенных выгод. При этом, если его намерения очевидны, достичь
поставленной цели гораздо труднее. Успех в данном случае зависит от личных
качеств коммуникатора, дружелюбия, умения воспринимать чужие проблемы,
динамизма общения и т. п. Коммуникатор формирует стиль общения и помогает
избежать пассивного отношения потребителя к качеству услуги.
Обращение есть устное, графическое,
художественное или письменное выражение основной идеи коммуникации. При разработке
обращения наиболее важен выбор аргументов, обеспечивающих положительное
восприятие услуги. Таким аргументом является, прежде всего, подчеркивание
преимуществ услуги; но в этом случае возникает опасность создания у потребителя
впечатления о недостоверности и тенденциозности информации. Поэтому важен
взвешенный подход, когда выделяются и положительные, и отрицательные
характеристики объекта, позволяющие укрепить доверие к услуге, ее производителю
и передаваемой информации.
Носитель
обращения — это
средство коммуникации, с помощью которого осуществляется процесс передачи
информации потребителю. Средства коммуникации включают личный контакт с потребителем,
визуальные и звуковые средства, письменные обращения. Наиболее эффективным
средством коммуникации является непосредственный, личный контакт с
потребителем. В сфере услуг он получил наибольшее распространение в силу
особых свойств услуг и специфики их потребления. Письменная коммуникация
считается, в принципе, наименее убедительным средством коммуникации, но на
рынке услуг ее роль заметно повышается. Территориальная очерчен-ность рынка
услуг расширяет возможности для распространения письменных обращений к потребителям,
сосредоточенным на ограниченном пространстве. Звуковые и визуальные средства
коммуникации, более эффективные на товарном рынке, воспринимаются потребителями
услуг лишь в случае полного учета местных условий. При ранжировании средств
коммуникаций по степени убеждающего воздействия на потребителя они занимают
нижний уровень, уступая место письменным обращениям.
Приемник (или элемент, принимающий
информацию) представляет собой «конечный пункт» прямого коммуникативного
сообщения. Он же является источником обратной связи, в рамках которой
организуется поток ответной информации к коммуникатору.
Этот элемент
коммуникативной модели охватывает конкретных потребителей услуг с их
социально-психологическими особенностями. Особенности потребителя определяются
чертами характера, социальным статусом, интеллектуальным развитием личности.
Так, уверенность в себе и приверженность традициям образа жизни затрудняют
желаемое восприятие информации, а высокий интеллектуальный уровень и
интеллигентность способствуют более полному восприятию сообщения, но оказывают
негативное влияние на оценку его содержания.
Второй
аспект коммуникативной деятельности предприятия услуг связан с социальными
процессами. Рынок услуг, имеющий целью удовлетворение социальных потребностей, представляет
собой один из элементов социального пространства. Он не просто подвержен влиянию
социального окружения, характерному для любого рынка, но интегрирован в
социальную среду со всем многообразием ее свойств и проявлений. Информационный
контакт с потребителем осуществляется здесь в единстве с общественными
процессами и условиями.
С этой точки
зрения становятся значительными следующие факторы:
•
соответствие содержания коммуникативного сообщения сложившимся общественным
представлениям;
• влияние лиц,
пользующихся авторитетом в социальной среде, — социальных лидеров (так
называемая персональная коммуникация);
• процесс
распространения информации среди широких масс потребителей (диффузия идей);
•
соответствие содержания информации и достигаемых с ее помощью последствий
задаче повышения уровня жизнеобеспечения населения.
Коммуникативная
деятельность предприятия услуг организуется таким образом, чтобы обеспечить
возможно более полный учет приведенных факторов и приспособление коммуникации
к социальным параметрам среды, а в случае невозможности их полной согласованности
— избежать кардинальных антагонистических противоречий.
Чтобы
избежать противоречий между желаемым восприятием коммуникативного обращения и
социальными условиями, можно использовать метод персональной коммуникации. В
его основе лежит модель двухступенчатой коммуникации [6, с. 175], когда информация
передается потребителю не напрямую, минуя промежуточные звенья, а через
определенный круг лиц, называемых «авторитетными лицами». Эти лица выполняют
роль посредника между средствами массовой информации и целевой группой. При
этом их функция не ограничивается переносом информации, а сочетается с функцией
усиления влияния информационного сообщения.
Использование
«авторитетных лиц» в сфере коммуникаций весьма эффективно на рынке услуг. Здесь
удается сократить дистанцию между авторитетом и всей целевой группой, так как
есть возможность использовать известность конкретного лица, тесно связанного с
целевой группой, и являющегося, по существу, ее представителем. Правильный
выбор авторитета становится ключевой проблемой двухступенчатой коммуникации.
Он основывается не только на личных достоинствах человека, но на его
социальном статусе, компетентности в конкретной области услуг, уровне образования
и т. д. Особенно важно обеспечить соответствие качеств «авторитетного лица» и
специфики конкретной области услуг, так как лидерство обычно не имеет общего
характера.
Коммуникативная
политика в маркетинге должна строиться с учетом различий в информации,
передаваемой лидерам и поступающей к конечным потребителям. Лидер должен
обладать более конкретной и полной информацией, а его последователи могут
получать информационное сообщение в сжатой, агрегированной форме.
Двухступенчатая
модель коммуникации наиболее эффективна в продвижении на рынок дорогих и редко
приобретаемых услуг, а также при затруднениях в оценке качества услуг
(например, на рынке интеллектуальных услуг, услуг туризма и специализированного
образования). Потребители таких услуг, вынужденные вносить высокую плату за
услугу до момента ее приобретения, ориентируются нестолько на прямые
коммуникационные сигналы, сколько на мнение компетентных специалистов и
признанных авторитетов.
Двухступенчатая
коммуникация имеет некоторые недостатки. Во-первых, она не учитывает
непосредственное взаимовлияние отдельных элементов модели. Во-вторых, в ней не
рассматривается фаза, следующая за приобретением продукта, которая важна для
возникновения устойчивой приверженности к продукту или фирме. Поэтому двухступенчатую
коммуникацию целесообразно применять лишь в случае невозможности или низкой
эффективности прямой коммуникативной модели, свободной от этих недостатков.
5.2.
Реклама услуг
Наиболее
эффективным способом коммуникативного воздействия на потребителя рынка услуг
является реклама. Ее задачей является информирование потребителей о качестве
услуг и способах удовлетворения их потребностей, обеспечение возможности
сравнения услуг-заменителей, стимулирование потребительского спроса с целью его
воспроизводства.
При
классификации рекламы используются различные подходы и критерии [6, с. 177].
Удобно пользоваться классификацией, основанной на использовании различных
средств информации.
Такая
классификация включает:
•
классическую рекламу в средствах массовой информации;
• прямую
рекламу;
• рекламу в
местах продажи;
•
индивидуальную рекламу;
•
персональные продажи;
• косвенную
рекламу.
Классическая
реклама основана на опосредованном общении с потребителем услуг с помощью
средств массовой информации (радио, телевидения, газет, журналов). Она
использует прямое обращение к целевой группе, минуя посреднические звенья. На
рынке услуг, локализованном на конкретной территории, целесообразно
использование местных средств массовой информации, более знакомых с местной спецификой
и известных потребителям. В частности, могут быть использованы: кабельное
телевидение и радио, районные газеты и журналы, специализированные
территориальные издания.
Реклама в
местах продажи заключается в представлении рекламной информации непосредственно
на предприятии услуг. Здесь можно представить информацию о качестве
оказываемой услуги, мнении потребителей, уже пользовавшихся услугами,
обеспечить возможность апробирования обязательных принадлежностей (спортивные
снаряды в физкультурно-оздоровительном комплексе, инструменты в музыкальной
школе и т. п.).
Особенно
важно ознакомить потребителей с технологией предоставления услуг, например
методикой преподавания на предприятии образования, документальными
свидетельствами высокой квалификации персонала и достигнутых успехов.
Наиболее
распространенным средством прямой рекламы является рекламное письмо.
Дифференцируя письменные обращения, можно добиться соответствия между рекламой
и целевой группой потребителей услуги. Кроме того, с помощью рекламного письма
можно достичь обратной связи с потребителем, приложив специальный бланк для
ответов на поставленные вопросы. Однако, рассчитывая на передачу ответных
сообщений, важно помнить, что их количество обычно не превышает 40 % от числа
прямых письменных обращений.
К прямой
рекламе относятся сообщения, передаваемые с помощью новых средствах
информации: с помощью телефакса, компьютерной сети, видеотекста Такие средства
можно использовать, например, при рекламировании ремонтных и сервисных услуг
для производственных предприятий и других организаций, техническое оснащение
которых позволяет обеспечить прием информации.
Индивидуальная
реклама строится, как правило, на двухступенчатой модели коммуникации, когда
рекламное воздействие передается не напрямую, а через посредника, являющегося
признанным авторитетом на конкретном рынке. Наибольшее влияние испытывает при
этом непосредственное окружение лидера (коллеги, друзья, знакомые, контактные
аудитории и т. д.), так как личная беседа с коммуникатором позволяет
использовать более убедительные доводы и средства эмоционального воздействия.
Персональные
продажи дополняют рекламной функцией процесс распределения услуг. Этот вид
рекламы основан на непосредственном общении с потребителями услуг и
предоставляет широкие возможности для установления устойчивых коммуникаций.
Наряду с
главной задачей — заключение сделок о продаже с помощью метода персональных
продаж — удается решить широкий круг вопросов, связанных с поддержкой и
формированием спроса, исследованиями рынка, движением информационных потоков.
В их числе:
• получение
информации о потребностях потребителей;
• поддержка
контактов с определенными клиентами;
• передачи
информации о предприятии и его услугах потребителям целевого рынка;
•
презентация услуг-новинок;
• получение
информации о маркетинговых мероприятиях, проводимых конкурентами.
Затраты,
связанные с использованием метода персональных продаж, как правило, высоки.
Поэтому он целесообразен в тех случаях, когда предприятие располагает значительным
капиталом, а его услуги имеют специализированный характер и высокую цену.
Персональные
продажи целесообразны и в случае предоставления уникальных услуг, когда
требуется более широкое информирование потребителей о качестве и особенностях
услуги. Например, предоставление услуг элитного салона причесок, дома мод,
космето-логической клиники требует индивидуальной работы с каждым клиентом с
целью представления своего продукта и обоснования высокой цены услуги.
Успех
персональной продажи зависит, в первую очередь, от личностных факторов
сотрудников, вступающих в непосредственный контакт с клиентом (возраст, внешний
вид, уверенность в себе, коммуникабельность, культура поведения,
инициативность, способность доминировать в двустороннем обмене информацией, агрегировать
получаемую информацию и т п) Для определения способностей конкретных лиц к
широкому контакту с контрагентом существуют специальные
социально-психологические приемы — тесты, опросы, анкетирование, позволяющие
определять особенности личности и рекомендуемые области профессиональной
деятельности. Однако достоверные характеристики могут быть получены лишь при
условии проверочных испытаний различной продолжительности.
Для того
чтобы выстроить правильный стиль поведения сотрудника, контактирующего с
клиентом, важно учесть следующие факторы.
1 Процесс
продажи услуги интерпретируется как последовательность стимулов и реакций.
Если использовать действенный стимул, например наглядно представить выгоды,
связанные с приобретением услуги, то процесс продажи не встречает ограничений.
2. Строгая
ориентация на желания и требования потребителя — залог успеха коммуникативной и
всей маркетинговой деятельности. Поэтому необходимо выделять те характеристики
услуги, которые в наибольшей степени соответствуют запросам потребителей.
3. Процесс
продажи состоит из нескольких фаз, которые покупатель должен пройти в течение
беседы: внимание к услуге, интерес, желание приобрести, решение о покупке.
Важно постепенно ориентировать покупателя, не минуя ни одной из фаз
4.
Реализатор услуги будет убедительным в том случае, если сумеет поддержать
потенциального покупателя во время принятия решения. В соответствии с теорией
решений цель реализа-тора должна заключаться в создании позитивного отношения к
услуге и снижении восприятия риска, вызванного предварительной оплатой услуги
до того, как потребитель сможет оценить степень удовлетворения своей
потребности.
На процесс
принятия решения о приобретении услуги оказывают влияние две стороны,
участвующие в обмене. Поэтому модель, формирующая успех персональной продажи,
должна учесть как характеристики и интересы потребителя, так и особенности
сотрудников, контактирующих с ним. Их взаимоотношения приобретают взаимовыгодный
характер в том случае, если их личностные особенности близки друг к другу. В
частности, приобретение услуги тем вероятнее, чем сильнее совпадают мнения
обеих сторон по поводу качества услуги и роли индивидуального обслуживания
клиентов, чем полнее реальное поведение продавцов соответствует ожиданиям
клиента и т. д. Поэтому для предприятий, использующих метод персональных
продаж, необходимо анализировать психологические особенности потребителей и
информировать своих представителей об этих особенностях.
В случае
оказания коллективных услуг обеспечить успех коммуникативной деятельности
гораздо сложнее. Так как решение о приобретении услуги принимается не
отдельным лицом, а целым коллективом, необходимо учитывать роль, которую
играет каждый член коллектива в этом процессе. Помимо учета индивидуальных
особенностей лица, ведущего торговые переговоры и заключающего договор о
приобретении услуги, важно анализировать систему ролей и статусов,
распределенных внутри коллективного потребителя. Известно, что принятие
коллективного решения часто зависит от лиц, регулирующих поток информации и
имеющих скрытое воздействие на процесс принятия решения. Сложной практической
проблемой является их идентификация, выяснение их представлений о предполагаемой
сделке и поиск способов влияния на эти представления. Наиболее общая
рекомендация в данном случае — избегать противопоставления запросов
коллективного потребителя и единственного представителя предприятия услуг.
Косвенная
реклама выполняет свою функцию в скрытой форме, не используя прямых каналов
распространения рекламных средств и не указывая рекламодателя Рынок услуг
предоставляет широкие возможности для реализации косвенной рекламы. Мотивы
поведения потребителя, стремящегося приобщиться к определенному, престижному
образу жизни, легко поддаются формирующему влиянию информации, передаваемой
косвенным путем. Например, демонстрация элитных условий жизни побуждает
потребителей к приобретению дорогостоящих бытовых услуг, ассоциирующихся с
высоким уровнем жизни, или к получению высшего специального образования, позволяющего
найти высокооплачиваемую работу и повысить материальный достаток.
Рекламное
воздействие может осуществляться двумя способами — с помощью рекламы продукта и
рекламы фирмы. Причем в рамках одного предприятия обычно используются оба
способа. В сфере услуг приоритет отдается рекламе фирмы В ее основе лежат не
конкретные характеристики продукта, которые не всегда поддаются четким и
ясным потребителю качественным оценкам, а составляющие имиджа предприятия.
Например, можно выделить международные связи потребителя, свидетельствующие о
его признании на мировом рынке (в маркетинге туризма), заботу о сохранении
здоровья потребителей и экологической безопасности (в маркетинге
коммунально-бытовых и рекреационных услуг), поддержке гуманистических начинаний
(в банковском и страховом маркетинге) и т. д. Такие сообщения помогают
укрепить доверие потребителей ко всей ассортиментной группе продукта
предприятия.
Может быть
использована и реклама услуг предприятия. Среди форм рекламирования услуги
наибольшее распространение получает реклама, использующая свидетельства
обычных потребителей или знаменитостей. Так, при рекламировании услуг
развлекательной сферы можно привлечь внимание потребителей к определенному
поведенческому стилю, характерному для известных и широко популярных лиц. В
этом случае имидж знаменитости формирует имидж услуги, которой она пользуется.
Такая реклама целесообразна для дорогостоящих, уникальных и редко
приобретаемых услуг. Исключительность лица, демонстрирующего услугу, может помешать
восприятию повседневной услуги, так как идеал часто кажется недостижимым.
Для
повседневных услуг или в условиях низкой платежеспособности населения
рекомендуется использовать свидетельства обычных потребителей. На российском
рынке имеются характерные проявления такой рекламы, например для услуг
коммерческих банков и инвестиционных фондов. Однако важно обеспечить
соответствие рекламной информации и реальных свойств и перспектив предприятия.
Несогласованность информации, несвоевременное исполнение обещаний и изменение
условий предоставления услуги может полностью разрушить имидж предприятия,
даже если его деятельность не связана с прямым обманом потребителей.
Меньшее
распространение на рынке услуг имеет информирующая и эмоциональная реклама.
Первая базируется на выделении свойств продукта и его отдельных характеристик,
вторая — на создании симпатии к производимой услуге.
Информирующая
реклама наиболее эффективна в том случае, если она способна выделить особенные,
присущие данному товару характеристики. При этом в ней совмещаются
стимулирующие и чисто информативные функции. В сфере услуг это не всегда
возможно. Дело в том, что даже разные по качеству услуги могут формально
оцениваться одинаковыми показателями. Например, качество образования, полученного
в однопрофильных учебных заведениях, может зависеть только от личных качеств
преподавателей, которые трудно выразить конкретными оценками. В этом случае
поведение потребителей мотивируется не столько характеристиками услуги,
сколько имиджем предприятия, его рейтингом и общественным признанием.
Информирующая
реклама в сфере услуг подчинена, как правило, лишь прямым информативным целям.
Она сообщает потребителям основные данные о предоставляемой услуге, передавая
стимулирующие функции рекламе самого предприятия.
Эмоциональная
реклама основана на представлении продукта в привлекательном окружении — с
детьми, животными, природой. Если есть возможность для ее применения (например,
при рекламе услуг медицинских или детских учреждений, спортивно-оздоровительных
и зрелищных услуг), можно организовать специальную рекламную кампанию,
использующую лишь эмоциональные стимулы, последовательно развивая основную идею
рекламы.
В отраслях
сферы услуг, подверженных непосредственному государственному регулированию
(культура, образование, здравоохранение), может использоваться отраслевая
реклама. Она имеет целью ориентировать потребителя в сторону социально-значимых
услуг. Так, рекламирование достижений в области культуры и искусства создает
базу для развития культурных интересов человека и формирует его духовные
потребности.
В
неприбыльных отраслях сферы услуг широко используется антиреклама. Антиреклама
побуждает ее потребителя к действиям, противоположным демонстрируемым в
рекламном сообщении, к иным взглядам, мироощущениям, представлениям. Например,
с помощью антирекламы организуется пропаганда здорового образа жизни, борьба с
социальными пороками и антиобщественными проявлениями.
Отраслевая
реклама обладает рядом преимуществ. Она имеет возможность аккумулировать финансовые
средства различных источников, пользоваться государственной поддержкой,
привлекать средства международных фондов и рассчитывать на их содействие по
различным вопросам. Она рассчитана на широкие слои потребителей (общество в
целом) и может быть достаточно однородной. Наконец, она может использовать
лучшие творческие силы — художников, дизайнеров, режиссеров, артистов,
разделяющих гуманистические взгляды и получающих возможность обрести общественное
признание путем пропаганды общечеловеческих ценностей.
5.3.
Планирование, реализация и контроль рекламы услуг
Процесс
рекламной коммуникации включает ряд последовательных этапов. Можно выделить
четыре таких этапа (фазы), отличающихся поведением субъектов коммуникативного
процесса (рис.10.).
В начале
процесса — фазе кодирования, предшествующей непосредственному распространению
рекламного обращения, осуществляется выбор концепции рекламы. Цели рекламы
определяются рекламодателем, а само обращение может формироваться с помощью
специализированных рекламных агентств.
Во второй
фазе производится выбор средства информации и способа ее непосредственной
передачи потребителю. При этом необходимо обеспечить соответствие средства
передачи информации особенностям целевой группы.

В третьей
фазе осуществляется непосредственный контакт потребителей с рекламным
обращением, восприятие информации и создание отношения к ней со стороны
целевой группы.
В
завершающей четвертой фазе должны создаваться и изменяться предпочтения
потребителей и стиль их поведения.
В каждой из
фаз может происходить потеря информации. Уже при передаче цели рекламы с
помощью определенного обращения невозможно избежать некоторой условности,
сужающей содержание цели. При распространении рекламы также утрачивается часть
информационного содержания вследствие неуправляемости процесса использования
информационными средствами Наконец, при непосредственной передаче обращения
нельзя гарантировать внимание и восприятие всей целевой группы. Часть
потребителей не воспримет информацию сразу же после первого рекламного
обращения. Поэтому рекламная кампания вынуждена опираться на многократное
повторение информации через определенные промежутки времени
Рекламная
кампания будет эффективной, если соблюдены следующие условия:
• поставлена
ясная и практически достижимая цель;
• содержание
рекламного обращения соответствует специфике целевого рынка;
• выбор
средств обращения обеспечивает тесный контакт с потребителем и соответствует
его образу жизни и поведению,
• частота
предоставления рекламного материала позволяет ознакомиться с ним всем
представителям целевой группы.
Чтобы
добиться соблюдения этих условий и обеспечить согласованность, планомерность и
пропорциональность рекламной деятельности любого предприятия, в рекламный
процесс включают три последовательные стадии: планирование рекламы, ее
реализацию и контроль конечных и промежуточных результатов
Планирование
рекламы заключается в постановке целей и разработке рекламной программы.
Рекламная программа (план рекламы) представляет собой процесс разработки
предполагаемых действий со стороны фирмы в течение строго фиксируемого периода
Для межсезонных услуг этот срок достигает одного года Для услуг, потребляемых
в течение определенного сезона, — 4-5 месяцев, причем срок начала кампании
предшествует началу сезона.
Как и любой
план, разрабатываемый с позиций маркетинга, план рекламы предприятия услуг
базируется на анализе внешней и внутренней среды предприятия и прогнозе их
динамики. При этом изучаются возможности самого предприятия, потребительские
рынки, конкуренты и рыночная инфраструктура, элементы макроокружаю-щей среды.
Результаты прогнозов позволяют очертить целевую направленность рекламы.
Цели рекламы
должны согласовываться (совпадать) с общими целями фирмы для обеспечения единой
логики хозяйственного поведения в рамках выбранной маркетинговой концепции.
Цели рекламы могут иметь количественный и качественный характер. Количественные
цели выражаются в увеличении объема прибыли (дохода) или, что типично для
маркетинга, в увеличении занимаемой доли рынка, более глубоком проникновении на
рынок. Качественные цели проявляются в достижении социальных,
социально-психологических, экологических результатов. К ним относятся,
например, формирование предпочтений интереса к продукту, улучшение условий
жизнедеятельности населения, достижения в области экологии, отражающей
взаимоотношения человека с окружающей средой. В общем виде можно считать
целесообразным использование количественных целей, легко поддающихся измерению
и более удобных с точки зрения последующего контроля за их выполнением. Однако
в непроизводственной сфере отдается предпочтение качественным целям
Качественные цели не только обусловливают конкретные рекламные действия, но
являются наиболее важным фактором формирования имиджа предприятия, столь
необходимого предприятию услуг. Стремясь достичь качественных целей,
предприятие имеет возможность получить дополнительные выгоды в виде создания
благоприятного общественного мнения о фирме, причем эти выгоды столь весомы,
что могут компенсировать возможные неудачи рекламной кампании (перерасход
бюджета, недостаточно полную согласованность с целевой группой и т д ) Важно
помнить, что главной целью рекламной кампании является именно качественная цель
— оказать такое влияние на потребителя, которое при покупке обеспечит выбор
рекламируемого объекта.
Цели
рекламной кампании обусловлены характером рекламируемой услуги Дешевые, но редко
встречающиеся услуги вызывают импульсивное решение о покупке, и в этом случае
реклама может преследовать цель расширения персональных продаж. Массовые услуги
сбываются обычно уже в условиях сформировавшихся навыков потребителя. Опыт
потребления выдвигает перед предприятием другую цель — постепенное изменение
мнений потребителей и навыков потребительского поведения. Уникальные и
дорогостоящие услуги определяют целевую ориентацию на двухступенчатые
коммуникации.
Цели
рекламной кампании связаны с жизненным циклом услуги. Если предприятие
осуществляет вывод на рынок услуги-новинки, оно ставит своей основной целью
широкое информирование потребителей об услуге. Если услуга переходит из стадии
зрелости в стадию насыщения, предприятие ориентируется на агрессивную рекламную
пропаганду в насыщенной конкурентной среде.
Программа
рекламы включает конкретные решения по следующим вопросам:
• Что
рекламируется (объект рекламы)?
• На кого
направлена реклама (целевая группа)?
• Где
проводится рекламная кампания (целевая область)?
• Какие
средства информации необходимо использовать (носители рекламы)?
• В какой
форме должна представляться реклама (средство рекламы)?
• Какая
информация должна быть передана потребителю (рекламное обращение)?
• В какое
время предоставляется реклама?
• Какой
объем средств может быть использован для проведения рекламный кампании
(рекламный бюджет
После
постановки целей и задач рекламы осуществляется выбор носителей и средств
рекламы. Носители рекламы должны отвечать двум условиям
• они должны
быть пригодны для размещения рекламной информации об услуге или предприятии
услуг;
• контакт с
ними должен представлять интерес для целевой группы
Наиболее
распространенными носителями рекламы являются газеты, радио, телевидение,
отраслевые и межотраслевые журналы. В сфере услуг, объединяющей, как правило,
малые и средние предприятия, можно использовать и другие носители рекламы. В
частности, целесообразно помещать рекламные объявления в справочниках адресов и
телефонов, сводных территориальных справочниках, собирающих разнообразную
информацию местного характера (например, телефонный справочник «Весь
Петербург»). Такие издания специально предназначены для территориального рынка,
в рамках которого функционирует рынок услуг.
Популярными
носителями рекламы являются все виды печатной (письменной) продукции,
непосредственно обращенной к целевой группе. Такая форма особенно удобна при
работе с узкой целевой группой, размещенной на небольшой локальной территории
(например, для предприятий бытовых услуг, обслуживающих отдельные
микрорайоны).
В качестве
носителя рекламы услуг может быть задействована и наружная реклама: плакаты,
рекламные щиты; но эта форма используется для редко потребляемых услуг и
предназначена для контакта с большой аудиторией.
К средствам
наружной рекламы относится и внешнее оформление предприятия услуг. Роль
витрины — традиционного носителя рекламы — заметно снижается, так как
нематериальный характер большинства услуг не дает возможности для их
экспозиции, однако сохраняется возможность для привлекательного оформления
входа, фасада, интерьера.
В сфере
услуг в качестве носителя рекламы можно использовать ярмарки и выставки. Но
здесь сказывается сложность экспозиции услуг и ограниченные возможности в их
опробовании. Поэтому большое распространение получили презентации и встречи с
потребителями — представителями целевых групп. При проведении таких мероприятий
можно осуществлять достаточно длительный контакт с потребителями, в ходе
которого можно использовать различные средства рекламы: кино- и видеоматериалы,
рассказы лиц, уже опробовавших услугу, высказывание экспертов и т. д.
Основным
показателем, обусловливающим выбор носителя рекламы, является численность
контактной аудитории, охваченной этим носителем (количество читателей газет и
журналов, число лиц, получивших печатное обращение). Важно соотнести этот
показатель с затратами на использование того или иного носителя. Но даже при
низкой величине относительного показателя, полученной за счет большого объема
затрат, не всегда целесообразно отказываться от использования носителя.
Необходимо обеспечить комплексный подход к проблеме и рассматривать
эффективность всей рекламной кампании.
На практике
предприятие услуг использует, как правило, несколько носителей рекламы. При
этом охват контактной аудитории будет иметь комбинированный характер, так как
часть рекламных воздействий «пересекается».
Важным
фактором в планировании рекламы является частота контакта. Здесь необходимо
учесть, что любая реклама воспринимается бегло и незаинтересованно, поэтому
одного контакта недостаточно. Повторения не только увеличивают известность
услуги, но и улучшают ее эмоциональное восприятие. Основное правило в распространении
рекламы — равномерное распределение числа контактов в целевой группе.
С увеличением
числа контактов действенность рекламы снижается, так как на уже известную
рекламу обращается меньше внимания. Более того, с достижением определенного
количества контактов реклама производит действие, обратное желаемому. В этой
связи частота рекламных сообщений должна постепенно снижаться, а на каком-то
этапе иметь длительные перерывы и видоизменяться.
Таким
образом, проблему планирования использования носителей рекламы можно свести к
следующему: необходимо найти такую комбинацию рекламы, которая содействовала бы
необходимым контактам с возможно большей целевой группой в определенной временной
последовательности при заданном бюджете. Как и любой план, план использования
носителей рекламы разрабатывается в условиях альтернативности и выбора наиболее
рационального варианта. Выбор можно осуществлять с помощью метода оптимизации
и применения обоснованных критериев.
Завершив
выбор целей, носителей и средств рекламы, приступают к разработке рекламного
обращения.
К рекламному
обращению предъявляются следующие требования:
• оно должно
соответствовать целям фирмы и маркетинга;
• оно должно
аргументировать полезность услуги для потребителя;
• оно должно
раскрывать специфические черты услуги или предприятия.
С помощью
средств рекламы содержание рекламного обращения приобретает конкретную форму,
образуя некую целостность, единство формы и содержания.
При
разработке содержания рекламного обращения учитываются следующие факторы [6,
с. 199-200].
1. Фактор
влияния.
Учет этого
фактора обусловливает попытку достичь цели рекламы через авторитарные призывы.
Особенность такой рекламы — обращение к потребителям, не склонным принимать
самостоятельные решения. Такой тип рекламы может быть применен на любом рынке.
2. Фактор
идентификации.
Он учитывает
свойство потребителей ориентироваться на примеры поведения. Такая реклама
часто основывается на привлечении социальных авторитетов или знаменитостей.
Однако в сфере услуг в качестве примера может использоваться обычный тип
поведения, особенно если производитель предлагает услуги повседневного и
бытового характера.
3. Фактор
презентации.
Он
используется для привлечения внимания потребителей и отличается дорогостоящим
оформлением. Этот фактор следует учитывать при производстве уникальных и редко
используемых услуг, а также услуг, реализуемых по высокой цене (например,
туристических круизов, услуг ресторанов и отелей высшего класса).
4. Фактор
конкретизации.
При
рекламировании услуг этот фактор особенно значим. Чтобы реклама могла
заинтересовать широкие слои потребителей, она должна включать конкретные, а не
символические элементы. Рекламирование повседневного, часто используемого
продукта с помощью символов и условностей не достигнет своей цели, так как
основная идея может быть не понята большим числом потребителей. Символизм допустим
при рекламировании элитарных услуг (например, вернисажей и специализированных
выставок для творческой интеллигенции).
5. Фактор
информативности.
Он
предусматривает не эмоциональный, а информативный рекламный эффект. Если
эмоциональная реклама поддерживает известность и положительный имидж
предприятия, то информативная реклама имеет целью передачу вполне конкретной
информации о предприятии и его услугах.
6.
Фактор престижа.
Он
проявляется в установлении социального престижа услуги. Так, потребление редких
и дорогостоящих услуг помогает потребителю приобщиться к образу жизни среднего
класса и повысить свой социальный статус. Такая мотивация должна обеспечиваться
дополнительными преимуществами услуги и усиливать заинтересованность в покупке.
Средства
рекламы, в принципе, могут обращаться к одному из пяти человеческих чувств. Но
основные «проводники» рекламного обращения — зрение и слух. Чтобы эти
«проводники» были задействованы, надо обеспечить правильную подачу текстовой и
визуальной информации.
В рамках
непроизводственной сферы преимущество отдается текстовой информации, которая
чаще выступает самостоятельно, но может и дополнять визуальные средства
рекламы.
Для
характеристики текстовой информации используется понятие «читаемость текста».
«Читаемость текста» отражает его способность легко восприниматься и
запоминаться потребителем. Для обеспечения необходимой «читаемости» рекламного
текста учитывают разнообразные факторы и характеристики:
•
информативное содержание;
• длину
предложений;
• тип
шрифта;
• цвет и
контрастность шрифта;
•
расположение текста и т. д.
Восприятию
рекламного текста способствуют графические, пик-тограммные элементы и
иллюстрации. Они легко запоминаются потребителем и могут вмещать в себя
большой объем информации. Такие элементы должны быть представлены в форме,
способной сосредоточить внимание на ключевой информации.
В рекламе
услуг исключительно важна убедительная аргументация. Приводимые аргументы
должны вызывать согласие у широких слоев населения. Например, призывы к
сохранению традиций образа жизни способствуют быстрому продвижению на рынок
практически всех бытовых услуг; нацеленность на общечеловеческие ценности —
услуг неприбыльных организаций; ориентация на экологические проблемы —
коммунальных услуг.
План
рекламной кампании должен отражать последовательность и сроки осуществления
рекламных мероприятий, а также рассматривать вопросы их обеспеченности
ресурсами. При разработке стратегии и целей рекламы производится укрупненная
оценка затрат и ресурсов, которые могут быть привлечены для реализации этих
целей. При планировании использования носителей и средств рекламы ресурсный
блок должен уточняться, достигая полной согласованности затрат и ресурсов. На
стадии определения длительности рекламных мероприятий, их последовательности и
сроков необходима детальная разработка ресурсного блока, где указываются
максимально точные оценки объема возможных ресурсов, их источники и сроки
поступления. Такой подход позволит обеспечить реализуемость планируемой рекламной
кампании в условиях ограниченности ресурсов.
Другим
условием реализуемости плана рекламной кампании является его альтернативность.
Множественность разрабатываемых вариантов и использование верных критериев
обеспечивает обоснованность выбранных решений и возможность их практической
реализации. Дополнив выбранный, наиболее рациональный, вариант еще двумя
планами — повышенным и резервным (подробнее — в главе 3), можно обеспечить
больший учет возможных изменений рыночной конъюнктуры.
В качестве
критерия выбора базового плана рекламной кампании целесообразно использовать
показатель эффективности рекламы. В соответствии с положением теории
эффективности он может измеряться как отношение эффекта, достигаемого в
результате осуществления рекламных мероприятий, и необходимых затрат.
Эффект
рекламы включает в себя экономические и социально-психологические компоненты.
Показателями экономического эффекта могут быть изменения объема прибыли,
дохода, доли рынка, объема продаж, произошедшие вследствие осуществления рекламных
мероприятий. Но реклама интегрирована в единый комплекс маркетинга и
изолировать ее конкретный вклад в конечный результат маркетинговой
деятельности достаточно сложно. Только в ходе специального тестирования рынка
можно проследить степень влияния рекламы на динамику сбыта. На стадии
планирования для измерения экономического эффекта можно воспользоваться
аналоговым, экспертным или экспериментальным методами. При использовании
экспериментального метода можно выйти на узкий сегмент рынка (тест-рынок) с
пробной рекламой без использования других элементов комплексного маркетинга,
отследив динамику объема продаж и получив удельные оценки (например, в расчете
на 1 тыс. жителей). Необходимым условием для проведения экспериментального
метода является сопоставимость тестируемого и контрольного сегментов с точки
зрения структуры целевой группы, а также отсутствие влияния рекламы на
контрольный сегмент рынка. Кроме того, важно обеспечить репрезентативность
периода тестирования и его достаточную продолжительность.
Социально-психологический
эффект рекламы обусловлен изменением качественных характеристик: созданием
требуемого общественного мнения, установлением благоприятного отношения к услуге
со стороны целевой группы. Их количественные оценки тоже требуют специального
социологического обследования. Если социально-психологический эффект
измеряется на стадии планирования, можно организовать тестирование типичных
представителей целевой группы на предмет их отношения к демонстрируемой
рекламе.
Социально-психологический
эффект (как и экономический) и рассчитанный с его помощью показатель
эффективности рекламного воздействия используются при контроле результатов
рекламы — определении степени достижения поставленных целей и оценке конкретных
носителей рекламы с точки зрения их соответствия выбранной целевой группы.
Необходимо
отметить, что ни в одной другой отрасли инвестиций нет таких трудностей с
оценкой и контролем, как в области рекламы. Сложные инструменты оценки
эффективности рекламных мероприятий дополняются не менее сложными инструментами
по двум другим составляющим. Доказательства возможностей носителей рекламы
добываются всеми звеньями рекламного процесса и, в первую очередь, самими
средствами информации. При этом предприятие услуг, испытывающее, как правило,
жесткие финансовые ограничения, не способно развернуть собственные исследования
по оценке возможностей рекламных носителей и вынуждено опираться только на
данные средств информации. Не имея практической возможности оценить эти данные,
оно несет всю полноту риска от их недостоверности.
При
определении степени достижения целей рекламы возникают те же трудности, что и
при оценке эффекта. Полученный результат слагается из многих компонентов,
дезинтегрирование которых требует сложного экономико-математического аппарата.
Альтернативой может являться социологическое обследование, экспериментальный
метод. Использование этих методов связано, как правило, со значительными
финансовыми затратами. В этой связи на предприятии услуг можно воспользоваться
экспертным методом, включая в число экспертов представителей руководства
данного предприятия. В этом случае точность полученных результатов обусловлена
следующими факторами:
• наличием
достаточного числа экспертов;
•
независимостью их суждений;
•
отсутствием зависимости оценки результатов их основной деятельности от
результатов контроля (непредвзятость мнений).
Если в
процессе контроля не удается соблюсти эти условия (например, ввиду небольшой
численности руководящих кадров на малом предприятии), необходимо привлечь
сторонних экспертов.
Глава 6
Конкуренция
и конкурентоспособность услуг
6.1.
Конкуренция на рынке услуг
Современный
маркетинг является одним из важнейших способов активизации конкурентных начал
рыночной экономики.
Под конкуренцией,
как известно, понимается соперничество между субъектами рынка, занимающимися
одним и тем же видом деятельности и заинтересованными в достижении одних и тех
же целей. Конкуренция есть неотъемлемая часть рыночных отношений,
способствующая обогащению товарного предложения, его приспособлению к
меняющимся потребностям потребителей и постоянному внедрению на рынок новых,
более совершенных товаров.
По аналогии
с товарным рынком конкуренция в сфере услуг включает функциональную, видовую и
маркетинговую конкуренцию.
Функциональная
конкуренция является следствием того, что любую потребность, в принципе, можно
удовлетворить различными способами. Например, потребность в получении
образования может быть удовлетворена высшим учебным заведением, техникумом и колледжем,
профессионально-техническим училищем и школой. Эти организации выступают на
рынке услуг в качестве функциональных конкурентов и соперничают между собой в
области привлечения большего числа потребителей.
Видовая
конкуренция характеризует наличие услуг одного назначения и близких друг к
другу по многим параметрам, но отличающихся каким-то существенным свойством
или свойствами. Видовыми конкурентам, являются, например, университеты,
институты и отдельные факультеты, готовящие специалистов одного профиля.
Признаками, позволяющими рассматривать эти организации как конкурентов, могут
быть различия в программах и методиках обучения, в обеспеченности
высококвалифицированными преподавателями, учебным оборудованием, услугами
библиотек и т. п.
Маркетинговая
конкуренция, называемая иногда межфирменной или предметной, возникает в случае
малосущественных отличий между услугами, предоставляемыми различными
предприятиями сферы услуг, или при полной идентичности услуг. Обращаясь к
сфере образования, можно заметить проявление маркетинговой конкуренции между
аналогичными вузами, расположенными в разных городах, или специализированными
курсами, использующими идентичные программы, методы обучения, оборудование и
привлекающими специалистов одной квалификации.
Организация
производства большинства услуг, как уже отмечалось, не требует столь
значительных инвестиций, как на товарном рынке, и может быть осуществлена в
более короткие сроки. Поэтому уровень конкуренции на рынке услуг обычно высок,
а число конкурирующих предприятий значительно превышает аналогичный показатель
по товарному рынку. Конкурентная среда имеет мелкодисперс-ный характер и
включает множество небольших предприятий, способных быстро адаптироваться к
изменению спроса исвоевремен-но обновлять свой ассортиментный ряд. Эти
обстоятельства важно учитывать при выборе методов конкуренции.
Принято
различать ценовые и неценовые методы конкуренции.
Ценовая
конкуренция формируется на основе цены. Снижая цену на свою услугу, предприятие
сферы услуг приобретает возможность укрепить свои позиции по сравнению с
конкурентами. Повышая цену, оно снижает свои возможности в этом направлении.
Ценовая
конкуренция в сфере услуг имеет свои особенности. Результат ее действия более
сложен, чем на товарном рынке, и складывается из двух компонентов:
• прямого
результата, аналогичного условиям товарного рынка, т. е. естественного
улучшения конкурентных позиций вследствие снижения цены;
•
дополнительного результата, обусловленного, с одной стороны, укреплением
социального престижа предприятия, а с другой — определенными гарантиями в
отношении предотвращения государственных ограничений его деятельности.
Сложный,
агрегированный результат, достигаемый в сфере ценовой конкуренции, позволяет
рассматривать ее как высокоэффективный регулятор конкурентных отношений,
складывающихся на рынке услуг.
Основным
компонентом неценовой конкуренции является конкуренция на основе качества
предоставляемых услуг. Повышая качественные характеристики своего продукта,
предприятие услуг получает значительные преимущества перед конкурентами,
которые могут служить основанием для назначения более высокой цены. Если же
предприятие удерживает цену своих услуг на уровне конкурентов. то более высокое
качество позволяет ему занять лидирующее положение на рынке, увеличить число
потребителей своих услуг и размер занимаемой рыночной доли.
Как и в
условиях товарного рынка, предприятие услуг всегда располагает возможностями
для повышения качества своих услуг. Более того, повышение качества может не
требовать значительных инвестиционных затрат. Услуга полезна не как вещь, а как
определенная деятельность, т. е. ее качество может быть связано лишь с
совершенствованием самой деятельности. Таким образом, даже использование,
например, более квалифицированного персонала может рассматриваться как
существенное повышение качества предоставляемых услуг. Так, привлечение
высококвалифицированных работников (например, получивших специальное
образование и имеющих навык практической работы в сфере туризма или специально
подготовленных тренеров, а не бывших спортсменов-любителей для оказания
физкультурно-спортивных услуг) потребует дополнительных затрат, но их
величина, как правило, значительно ниже, чем объем затрат, требуемых для
повышения качества продукта в производственной сфере.
Укрепить
свои позиции в конкурентной среде можно не только с помощью цены и качества
товара, но и с помощью имиджа предприятия. В условиях развитого рынка, когда
на нем присутствует ряд конкурентов, выпускающих товары, близкие или практически
аналогичные по качеству и цене, характер конкуренции тяготеет к использованию
преимуществ, предоставляемых имиджем предприятия, т. е. тех
социально-психологических характеристик, которые формируют благоприятное
общественное восприятие фирмы.
Понятие
имиджа услуги и ее продуцента приобретает на рынке услуг особое значение.
Устойчивый имидж выступает как стимул к первоначальному выбору услуги, основной
мотив к предпочтению услуги перед конкурентами. Имидж, таким образом,
рассматривается как важнейший фактор укрепления конкурентных позиций предприятия,
обеспечивающий его преимущества и способность к активной конкурентной борьбе.
Имидж
определяется как совокупность всех представлений, знаний, опыта, желаний,
чувств, связанных с определенным предметом. Его отличие от понятия
«представление», которое также состоит из информационной, эмоциональной и
мотивационной составляющих, заключается в целостной характеристике объекта.
Имидж объединяет в себе все представления, наиболее существенные применительно
к рассматриваемому объекту.
Особенностью
имиджа является его сравнительный характер. Он не несет абсолютной информации,
однозначно воспринимаемой потребителем, но требует сравнения с другим
объектом. В то же время имидж достаточно устойчив. Если представление,
связанное обычно с основными ценностями, может подвергаться значительным изменениям
в течение короткого промежутка времени, то их совокупность менее динамична.
Имидж
предприятия услуг включает несколько компонентов:
• качество,
ассортимент, цена, гарантии, социальная престижность услуг предприятия;
• удобство
места расположения предприятия;
• социальный
статус его клиентуры;
•
привлекательность рекламы и разнообразие методов стимулирования сбыта;
• способы
организации процесса предоставления услуг и оформление предприятия
(современный интерьер, количество и личные качества персонала, работающего
непосредственно с клиентом);
• участие
предприятия в решении социально-значимых проблем.
Имидж,
являющийся одним из важнейших факторов целесообразного экономического
поведения на любом рынке, имеет в сфере услуг особую значимость. Она
обусловлена, в первую очередь, самой спецификой непроизводственной сферы —
нацеленностью на решение насущных социальных проблем, близостью к потребителю,
широкими непосредственными контактами производителя и потребителя. Рынок услуг
конкретного предприятия представляет собой определенное социальное
пространство, в котором потребители и их группы широко осведомлены о качестве
продукта предприятия, так как пользуются ими достаточно часто и получают
дополнительную информацию в ходе прямых контактов с производителем. Проблемы,
решаемые предприятием сферы услуг, имеют повседневный, часто бытовой характер,
и информация о предлагаемых способах их решения распространяется в социальной
среде чрезвычайно быстро. Сам характер производства услуг, более простой по
сути, дает возможность широкого обмена информацией между потребителями, так
как потребители в состоянии оценить все стороны процесса производства услуг.
Склонность
рынка услуг к насыщению информацией создает очевидные преимущества в отношении
формирования имиджа предприятия: факторы, благоприятствующие повышению имиджа,
оцениваются рынком в короткие сроки. Но она же может затормозить этот процесс
или даже направить его в противоположную сторону. Если потребитель замечает
какие-то недостатки в услугах предприятия или способах их оказания, он
распространяет в потребительской среде и негативную информацию, не уступающую в
скорости проникновения информации, благоприятной для данного предприятия.
Компенсировать возможное влияние негативных факторов можно за счет
целенаправленной деятельности по решению наиболее острых общественных проблем —
обеспечения экологической безопасности услуг, поддержки малообеспеченных слоев
населения, участия в гуманистических мероприятиях и т. п. Такая деятельность со
стороны предприятия всегда находит общественное признание и может существенно
изменить его социально-психологическое восприятие. Таким образом, процесс
формирования имиджа предприятия услуг приобретает достаточно сложных характер и
требует осознанного целесообразного поведения (программы).
Программа
повышения имиджа предприятия услуг должна включать:
• постоянный
контроль за качеством производимых услуг;
• постоянный
контроль за способами распределения услуг;
•
формирование культуры предпринимательства.
Эффективная
деятельность по всем представленным направлениям, дополненная ценовыми
методами и повышением качества продукта, дает возможность успешно
конкурировать даже в сложных условиях рынка услуг и адекватно реагировать на
изменение рыночной конъюнктуры.
6.2.
Конкурентные стратегии на рынке услуг
На рынке
услуг всегда существуют возможности для быстрого проникновения туда новых
предприятий и вывода нового продукта. Этот рынок отличается высокой степенью
конкуренции между небольшими предприятиями и динамизмом конкурентной среды.
В этих
условиях предприятие непроизводственной сферы ставит своей целью не только
удовлетворение спроса на услуги, но и реализацию собственной конкурентной
стратегии. При разработке конкурентной стратегии можно использовать известные
модели Портера, имеющие целью найти способ целесообразного поведения в конкурентной
среде.
В основу
разработки этих моделей положено исследование процессов, происходящих в
различных отраслях промышленности; но они полностью применимы на рынке услуг,
где конкуренция имеет более острый и ярко выраженный характер. Более того,
именно в сфере услуг с ее динамичным продуктом модели Портера могут найти
наибольшее практическое применение.
На основе
факторов, наиболее значимых для оценки конкурентной позиции предприятия,
Портер построил так называемую матрицу конкуренции (рис. 11).
Связь между
долей рынка и рентабельностью по Портеру отражена на рис. 12.
сильная позиция
ПОСТАВЩИКОВ


Исследования
Портера показали:
а) как
крупные предприятия, нацеленные на овладение большой долей рынка, так и
небольшие специализированные предприятия имеют возможность достичь требуемого
уровня рентабельности;
б) наиболее
опасна средняя позиция;
в)
предприятиям, не имеющим возможности достижения лидерства на рынке, рекомендуется
сконцентрировать деятельность на определенном сегменте и искать способы
увеличения своих преимуществ применительно к этому сегменту.
Тогда оценка
своих исходных позиций в конкурентной среде становится определяющим звеном в
генерировании стратегии деятельности по отношению к конкурентам.
В
соответствии со стартовыми позициями предприятия может быть использована одна
из следующих конкурентных стратегий:
1.
Лидерство в области затрат.
В рамках
этой стратегии ставится задача максимально возможного сокращения издержек
предприятия, обеспечивающих возможность установления низкой цены на услугу.
При этом качество услуги, хотя оно и рассматривается как вторичный элемент, не
должно опускаться ниже удовлетворительного уровня.
Такая
стратегия применима при следующих предпосылках:
- большой объем доли рынка, занимаемой
предприятием;
- возможность использования ключевых
факторов успеха (доступ к дешевому сырью, энергии, комплектующим изделиям,
возможность получения выгодного кредита и т. п.);
- возможность снижения затрат на
рекламу и стимулирование сбыта услуг;
- строгий контроль расходов.
Стратегия
лидерства обеспечивает предприятию услуг следующие преимущества:
- предприятия с наименьшими затратами
могут получать прибыль даже в том случае, когда конкуренты терпят убытки при
обострении конкурентной борьбы;
- предприятия имеют возможность для еще
большего увеличения рыночной доли и активизации спроса потенциальных потребителей;
- низкие затраты создают препятствия
для проникновения на рынок новых конкурентов.
Внедрение
такой стратегии сопровождается определенным риском. Он обусловлен снижением
внимания к вопросам качества и изменения спроса. Стремясь решить в первую
очередь задачу снижения издержек, предприятие непроизводственной сферы может
не заметить изменений динамики рыночной среды. Риск обусловлен и возможностью
проявления непредсказуемых затрат — например, повышение цен на сырье и энергию,
которые могут затормозить внедрение такой стратегии или сделать ее
невозможной.
Среди
отраслей сферы услуг, в которых целесообразно использование стратегии
лидерства в затратах, выделяются так называемые «производственные» услуги —
транспорт по обслуживанию населения, связь и т. п. В таких отраслях, как
правило, существуют широкие возможности для снижения издержек производства —
экономичное расходование топлива и энергии, использование машин с меньшим
энергопотреблением, рациональная организация производства и ряд других.
2.
Стратегия дифференциации.
Основная
идея такой стратегии — создать услугу, отличную от услуг конкурентов,
направленную на удовлетворение специфических нужд потребителей.
Конкуренция
и конкурентоспособность услуг
Необходимыми
условиями для реализации этой стратегии являются:
• широкие
маркетинговые исследования, проводимые предприятием;
• особая
известность предприятия;
•
возможность использования высококачественного сырья и материалов;
•
возможность создать современные условия в процессе приобретения услуги
(высококвалифицированный персонал, удачный дизайн помещения и т. д.);
• наличие у
потребителей представлений о взаимосвязи высокой цены и высокого качества
услуги.
Среди
основных преимуществ стратегии дифференциации можно выделить связь потребителей
с имиджем предприятия, когда чувствительность к изменениям цены заметно снижается,
что создает возможность конкурировать с ценовыми лидерами. Кроме того, имидж и
высокая прибыль облегчают отношения с поставщиками, а особые качества услуг
обусловливают сложность проникновения на рынок услуг заменителей. Такая
стратегия целесообразна, например, для крупных учебных заведений, обладающих
высоким рейтингом на рынке услуг образования. Высокая квалификация
преподавателей и устойчивый имидж создают базу для внедрения специализированных
программ, курсов и форм обучения, предоставляемых по достаточно высокой цене.
Риск
стратегии дифференциации обусловлен возможностью установления слишком высокой
цены, недоступной потребителю, и резкого изменения системы ценностей, при
котором имидж предприятия может потерять свое значение.
3.
Стратегия концентрации.
Эта
стратегия предусматривает сосредоточение усилий на одном или нескольких
сегментах рынка и достижение там лидерства по затратам или с помощью имиджа
(либо посредством того и другого вместе).
Стратегия
концентрации базируется на широком сегментировании рынка услуг и последующем
выборе достаточно узкого целевого сегмента. Для ее реализации необходимы
следующие условия:
•
предприятие должно обладать более эффективными методами овладения целевым
рынком, чем конкуренты;
•
преимущества стратегии лидерства по затратам и (или) стратегии дифференциации
могут быть использованы в рамках выбранного сегмента.
Стратегия
концентрации может найти применение в тех отраслях услуг, где есть возможность
широкой дифференциации потребностей потребителей. Типичным примером является
стратегия отраслей сферы здравоохранения, где возможна сегментация потребителей
по возрасту, общему состоянию здоровья, отдельным заболеваниям и направлениям
медицины.
Например,
ориентируя свою деятельность на оказание стоматологической помощи на
определенном территориальном рынке, можно реализовать свои ценовые и неценовые
преимущества перед конкурентами.
Риск,
сопровождающий использование стратегии концентрации, связан с возможными
существенными различиями в ценах между продуктами специализированных
предприятий, работающих на данном рынке. В этом случае преимущества, которые
имеют услуги, предназначенные для специфического сегмента, не оправдывают
разницы в цене. Кроме того, всегда имеется опасность уменьшения различий между
запросами целевого рынка и всего сегмента.
Используя
стратегию концентрации, важно обеспечить достаточно глубокое проникновение на
выбранный сегмент рынка. В противном случае конкуренты могут детализировать
процесс сегментации, выделить внутри сегмента еще более узкие области
(подсегменты) и увеличить уровень специализации.
6.3.
Методы оценки конкурентоспособности услуг
В условиях
рыночной конкуренции всегда важно знать, насколько предлагаемая услуга
соответствует сложившемуся уровню и характеру общественных потребностей. Такое
соответствие выявляется в ходе сравнения услуг-конкурентов.
Возможность
реализации услуг выражается их конкурентоспособностью. Конкурентоспособность
услуг — всегда относительная величина. Она имеет значение только в рамках
процедуры сравнения конкурирующих услуг.
В условиях
товарного рынка важнейшим фактором конкурентоспособности товара является цена
его потребления. Цена потребления товара включает в себя цену покупки и
затраты на эксплуатацию товара за весь период его службы. В сфере услуг
показатель цены потребления товара утрачивает определяющее значение. Лишь в
некоторых отраслях услуг, которые связаны с товарами в их материально-вещественном
виде (например, ремонт автомобилей, бытовых машин и механизмов, техники,
предназначенной для деловых нужд), цена потребления является важным показателем
конкурентоспособности.
При оценке
конкурентоспособности услуги используется обширная информация о свойствах и
качествах этой услуги. Формы выражения этой информации могут быть различными.
Существуют
количественные и качественные формы выражения информации об услугах. Наиболее
общим понятием для всех видов количественной информации является понятие
«показатель». Показателем называется любое информационное высказывание, в котором
имеется хотя бы одно числовое выражение, количественно отражающее какое-либо
явление или свойство. В понятии «показатель» объединен ряд других способов
выражения информации: характеристика, индикатор, индекс, коэффициент, балл,
доля.
Характеристика (количественная) есть численное
значение показателей исследуемого объекта. Как одна из разновидностей показателя,
она обладает свойством, особенно важным с точки зрения маркетинга, —
характеристика всегда отражает динамическое состояние.
С помощью
характеристик поэтому можно не только отразить ретроспективу свойств объекта,
но и предвидеть их изменения в будущем.
Индикатор — показатель, с помощью которого
можно сложить мнение обо всем объекте на основании информации о свойствах так
называемых индикативных групп — выборочных представителей целого объекта. Так,
соответствие услуги потребностям всех потребителей целевого рынка можно
определить с помощью изучения степени удовлетворенности услугой его типичных
представителей.
Коэффициент — числовой множитель при буквенном
выражении, известный множитель при той или иной системе неизвестного или
постоянный множитель при переменной величине. Коэффициент — это безразмерная
величина, получаемая иногда с помощью относительного выражения. В этом случае
коэффициент представляет собой одну из разновидностей индекса.
Индекс — относительный показатель, который
характеризует соотношение величин, выражающих какое-либо свойство объекта. Если
базовая величина соотношения (базисное число) приравнивается к 1, индекс может
называться коэффициентом.
Существуют
два вида индексации: динамическая и пространственная. Если индекс
характеризует развитие процесса во времени, он называется динамическим.
Динамическим индексом может характеризоваться, например, изменение уровня
удовлетворения спроса на услугу после проведения рекламной кампании.
Если индекс
используется для характеристики процесса в пространстве, он носит название
пространственного. Базой для сравнения в этом случае может служить средний
показатель по территории. Индексы остальных объектов показывают отклонения от
среднего показателя. Пространственный индекс можно применить, например, при
характеристике распределения спроса в территориальных границах выбранного
сегмента рынка.
Возможно
совмещение пространственного и динамического индексов. При этом в качестве
базы используется динамический индекс.
Доля представляет собой одну из наиболее
наглядных форм информационного высказывания, однако может применяться для обозначения
лишь одного свойства объекта, тогда как индекс может иметь сводную,
интегрированную форму.
Балл — условная единица количественной
оценки свойств объекта. Баллы используются в тех случаях, когда нет возможности
для непосредственных количественных оценок или эти оценки несопоставимы по
способам и методам исчисления.
Наряду с
количественными показателями в маркетинге используются качественные
показатели. Для получения более наглядной информации и возможности контроля
иногда необходимо придать качественным характеристикам количественную форму
выражения. Для этой цели обычно используются балльные оценки, полученные
экспертным методом.
Экспертный
метод получил широкое развитие в практике маркетинговых обоснований. Чтобы
придать ему характер обоснованности, достоверности и пригодности для решения
сложных рыночных задач, необходимо соблюдение следующих условий:
•
достаточное число экспертов (зависит от сложности задачи);
•
компетентность экспертов в отношении изучаемой проблемы;
•
однозначность и ясность поставленных вопросов;
•
независимость суждений.
Для оценки
конкурентоспособности услуг используют различные показатели:
•
экономические (например, выражающие цену потребления);
•
организационные, характеризующие условия предоставления услуги;
•
классификационные, выражающие принадлежность к определенному виду (классу)
услуг;
•
нормативные, показывающие соответствие услуги нормам, стандартам и правилам, за
границы которых она не должна выходить;
•
конструктивные, демонстрирующие технические решения (преимущественно для
ремонтных услуг);
•
эргономические, отражающие соответствие услуги свойствам человеческого
организма и психики;
•
социальные, с помощью которых отражается соответствие услуги особенностям
личности, социальной группы и общества в целом;
•
эстетические, характеризующие способность услуги вызывать положительные эмоции
при зрительном восприятии условий ее предоставления.
Конкурентоспособность
услуги определяется только теми свойствами, которые представляют существенный
интерес для потребителя. Все показатели услуги, выходящие за эти рамки, не
должны рассматриваться при оценке конкурентоспособности как не повышающие
ценности услуги в конкретных условиях.
Для оценки
конкурентоспособности услуги можно пользоваться различными методами. Наиболее
просто использовать следующий метод: разработать список главных оценочных
показателей, выставить балльные оценки показателей по определенной шкале, а
затем суммировать эти оценки. Наибольшая сумма баллов будет соответствовать
наиболее конкурентоспособной услуге.
Более
корректно — ранжировать показатели и их балльные оценки по степени значимости
Для этого можно воспользоваться, например, следующим выражением.

где /С„—
обобщенная (совокупная) балльная оценка, /С — балльная оценка 1-го показателя,
а — коэффициент значимости 1-го показателя
Коэффициент
значимости показателя определяется экспертами одновременно с выставлением
баллов
Наиболее
точная оценка конкурентоспособности услуг может быть получена с помощью методов
инженерного прогнозирования, аналогичных используемым при определении качества
жизни (гл 2)
Такая оценка
осуществляется в несколько этапов.
I этап Формулировка требований потребителя
к услуге и определение перечня показателей, подлежащих оценке
II этап Ранжирование показателей
Выстраивается
ранжированная оценка показателей по степени значимости показателей с позиций
потребителей На первом месте размещается наиболее значимый показатель
Достоверный результат может быть получен в случае использования в качестве
экспертов потребителей целевого рынка
III этап. Оценка выбранных показателей
Оценка
осуществляется отдельно по каждой из конкурирующих услуг или по группе услуг,
оказываемых каждым из основных конкурентов •
Если
возможны прямые количественные оценки, показатели представляются в натуральных
единицах измерения или других количественных показателях (долях, индексах,
удельных весах) Качественные показатели выражаются условными количественными
оценками — баллами
IV этап. Выбор «эталона» для сравнения
Базой для
сравнения — «эталоном» может служить набор показателей по любой из
сравниваемых услуг и предприятий. Например, в качестве «эталона» могут служить
показатели конкурентоспособности услуг предприятия, выполняющего оценку.
V этап. Сравнение показателей.
Здесь
осуществляется последовательное сравнение каждого из показателей конкурентов с
аналогичным «эталонным» показателем Итоговые характеристики таких сравнении —
индексы отдельных показателей конкурентоспособности, показывающие, на сколько
каждый из показателей отличается от такого же показателя конкурентов. Индексы
могут быть больше или меньше 1 и являются безразмерной величиной.

где У —
индекс 1-го показателя конкурентоспособности, К — величина 1-го
показатели (в любых единицах измерения), К3— «эталонная»
величина 1-го показателя (в тех же единицах измерения, что и К).
VI этап. Определение обобщающего показателя
конкурентоспособности
Безразмерная
величина индекса позволяет исчислить обобщающий (интегральный) индекс
конкурентоспособности по каждой конкурирующей услуге или по
предприятию-конкуренту При этом используется следующая формула

где Уц —
индекс конкурентоспособности (обобщающий), У — индекс 1-го показателя
конкурентоспособности, (р — весовой коэффициент, учитывающий значимость
1-го показателя конкурентоспособности с позиций потребителей
Наибольший
индекс конкуренции будет соответствовать наиболее конкурентоспособному объекту
Индекс
конкуренции не может использоваться в качестве абсолютного значения, но
полностью пригоден при поиске сравнительных характеристик.
Данный метод
обладает следующими преимуществами. Во-первых, он позволяет с большей
точностью учесть значимость отдельных показателей и степень их влияния на
интегральный показатель конкурентоспособности. Во-вторых, он снижает уровень
использования условных количественных оценок, так как многие показатели
измеряются прямым методом. Наконец, он дает возможность использовать
информацию, полученную непосредственно от потребителей, что является залогом
успеха всей маркетинговой деятельности.
|