Реферат: Информационные характеристики систем передачи сообщений
Реферат: Информационные характеристики систем передачи сообщений
БЕЛОРУССКИЙ
ГОСУДАРСТВЕННЫЙ УНИВЕРСИТЕТ ИНФОРМАТИКИ И РАДИОЭЛЕКТРОНИКИ
кафедра
ЭТТ
РЕФЕРАТ на
тему:
«Информационные характеристики систем передачи сообщений»
МИНСК,
2008
Информационные
характеристики дискретных сообщений. Краткие теоретические сведения.
Системы
передачи дискретной информации – системы, в которых реализации сообщений
представляют собой последовательности символов алфавита источника. Если m – объем алфавита
источника дискретных сообщений, то совокупность элементарных сообщений
(символов) - алфавит источника.
Априорная вероятность появления символа при
независимость его от предыдущих – .
В общем
случае априорная вероятность появления будет
условной:
 , где - символы, сформированные
источником до символа . Количество
информации, которое несет символ ,
определяется формулой: .
Масштабный
коэффициент зависит от выбора единицы
измерения количества информации. Если единица количества информации выбирается
двоичной, то и
соответственно (бит)
Основные
информационные свойства дискретных сообщений:
1.Свойство
аддитивность:
,
где q – количество символов в сообщении,
а принимает одно из значений
в пределах от 1 до m.
2. Среднее
количество информации, приходящейся на один символ источника сообщений, при
условном характере априорной вероятности:
3. Среднее
количество информации, приходящейся на один символ источника сообщений, при
зависимости вероятности появления очередного символа только от вероятности
появления предыдущего символа :
4. Среднее
количество информации, приходящейся на один символ, при независимости символов
источника сообщений:
является
определением энтропии источника дискретных сообщений.
5. Максимальная
энтропия источника имеет место при независимости и равновероятности символов
сообщения ( ):
6.
Коэффициент избыточности:
,
где и – относительная скорость
передачи информации, характеризует возможность оптимизации скорости
передаваемой информации.
Устранение избыточности позволяет сократить объем сообщения, а следовательно, повысить
скорость передачи информации.
В канале с
помехой передаваемая информация частично искажается.

Рис. 1
Как
показано на рис. 1, передаваемой сообщение под
влиянием помехи n(t)
на выходе канала связи преобразуется в сообщение .
Если дискретный стационарный канал без памяти, то и
длительности символов на выходе и
входе канала одинаковы. Тогда скорость передачи информации как среднее
количество информации, получаемое в единицу времени, определяется выражением:
,
где – частота посылки
символов, а – среднее количество
взаимной информации в множестве символов относительно
множества символов :
В формуле – условная энтропия
множества символов X при данном множестве Y, определяющая среднее количество потерянной
информации из-за влияния помех; -
условная энтропия множества символов Y при данном множестве X, определяющая шумовую
энтропию; - энтропия множества
символов Y:
,
,
,
Где - вероятность ошибки
воспроизведения символа .
Скорость
передачи информации определяется формулой:
(бит/с)
Пропускная способность дискретного канала связи определяется следующим
выражением:
,
где 
В каналах без
помех .
Информационные
характеристики непрерывных сообщений. Краткие теоретические сведения.
Источник
непрерывных сообщений характеризуется тем, что в каждый момент времени сообщение может принимать
бесконечное множество значений с бесконечно малой вероятностью каждого и них,
и, если бы сообщение могло передаваться абсолютно точно без искажений, оно
несло бы бесконечное количество информации. Однако на практике при передаче
информации всегда имеют место искажения и количество информации, содержащееся в
принятом непрерывном сообщении, определяется разностью значений энтропий
сообщения до и после получения информации. Эта разность является конечной
величиной.
Пусть - реализация непрерывного
сообщения на входе канала связи, –
реализация выходного сообщения; -
одномерная плотность вероятности входных сообщений, - одномерная плотность
вероятности выходных сообщений, -
условная плотность вероятности при
известном (апостериорная
вероятность); - условная
плотность вероятности при известном , - совместная плотность
вероятности. Тогда будут иметь место следующие выражения:
1.
Энтропия
источника непрерывных сообщений:
,
где - интервал квантования
(точность измерения);
2.
Дифференциальная
энтропия источника непрерывных сообщений:
б,
Определяющая
количество информации в битах, приходящейся в среднем на один отсчет.
3.
Максимальная
дифференциальная энтропия источника непрерывных сообщений:
Которая имеет
место при нормальной плотности распределения случайного процесса:
,
-
математическое ожидание случайной величины,
-
дисперсия этой величины,
-
основание натурального логарифма.
4.
Полная
средняя взаимная информация:
,
где - дифференциальная
энтропия сообщения на выходе канала
связи:
-
дифференциальная
условная энтропия, характеризующая действие шумового процесса.
5.
Для
аддитивной смеси при
статистической независимости нормальных процессов и
помехи :
,
,
,
где и - соответственно дисперсии
процессов и .
6.
Пропускная
способность канала связи для нормально распределенных сообщения и помехи:
, (бит/с)
где - полоса пропускания
канала.
7.
Пропускная
способность канала связи при :
, (бит/с)
Где - спектральная плотность
аддитивной помехи.
8.
Пропускная
способность канала связи при спектральной плотности гауссовского
сигнала и спектральной плотности аддитивной гауссовой
помехи определяется:
,
где - полоса пропускания
канала.
9.
Скорость
передачи информации для гауссовских сигнала и аддитивной помехи:
(бит/с),
где - эффективная полоса
частот, занимаемая информационным сигналом, .
Многоканальные системы передачи информации. Обобщенная
структурная схема, классификация, особенности применения.
Многоканальные системы
передачи - которые имеют несколько каналов
передачи информации. Каждый канал приемник - передатчик.

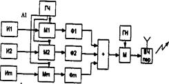
ГКИ - генератор
канальных импульсов, УУ - устройство уплотнения, КФ – канальный модулятор.

ФУ - формирующее
устройство, М – модулятор, ГН – генератор несущей, ДМК – демодулятор канальный.
В зависимости от видов
уплотнения:
1) линейное уплотнение;
2) нелинейное
уплотнение;
3) уплотнение
логического типа.
4) мажоритарное
5) компенсационное
Соответственно линейное
и нелинейное разделение.
При линейном уплотнении
- канальные сигналы должны быть линейно независимы. Каждый из этих сигналов не
может быть получен из сигналов
этой же системы -
ортогональные.
Три вида
ортогональности:
1) частотная
ортогональность (ЧРК);
2) временная
ортогональность (ВРК);
3) структурная
ортогональность - кодовая (СУ),(СРК).
Многоканальная
РТС ПИ с временным уплотнением канальных сигналов.
Для организации
многоканальной передачи по одной линии связи необходимы операция уплотнения
каналов на передающей части системы связи и операция разделения на приемной.
Информация от нескольких источников передается в многоканальной радиолинии по
общему ВЧ-тракту. В результате предварительного преобразования, кодирования
выходных сигналов датчика формируются канальные сигналы. Канальные сигналы
объединяются по определенному правилу, в результате чего образуется суммарный
групповой сигнал (уплотнение).
Два метода объединения:
линейный - простое суммирование канальных сигналов, мажоритарный -
использование различных функций, применяется для передачи цифровой информации.
При линейном уплотнении используются ортогональные сигналы.
На основании т.
Котельникова можно передавать всю информацию, содержащуюся в сигнале с
ограниченным спектром в виде выборок этого сигнала через равные интервалы
времени. Для передачи выборок канал используется не полностью, и поэтому,
используя временное разделение, можно передавать несколько сигналов.
В приемнике отсчеты,
принадлежащие каждому сигналу выделяются с помощью соответствующих устройств.
Частота выборок не меньше 2Фм, Фм– максимальная частота спектра передаваемого
сообщения. Если выборку делать с более высокой частотой появятся защитные
интервалы.

Величины С1, С2, С3, Сн
преобразуются датчиками (Д), вх. сигналы датчиков поступают на первичные
модуляторы (М – АИМ, ШИМ, ФИМ, КИМ).
Эти импульсы возникают в
заданные моменты времени каждого канала. Работой коммутатора управляет ГТИ.
Такт. Импульсы также
подаются на синхронизатор (С), синхроимпульсы должны по какому-либо параметру
отличаться от канальных импульсов.
Коммутаторы в приемной и
передающей частях должны работать синхронно. В синхронизаторе на приемной
стороне синхронизатора. Импульсы отделяются и формируются. Напряжение, используемое для
управления коммутатором. Он подключает канальные импульсы к соответстсвующим
демодуляторам.
Многоканальная РТС ПИ с
частотным уплотнением канальных сигналов.
В системах с ЧРК используются канальные сигналы, частотные спектры
которых располагаются в не перекрывающихся частотных полосах. Формирование
канальных сигналов при помощи АМ, ЧМ, ФМ, чтобы средние частоты спектров
канальных сигналов соответствовали средним частотам отведенных полос каждого
канала. Разделение с помощью частотных фильтров.

ГН – генератор несущей, ЛПР – производится выделение группового
сигнала с помощью демодулятора.

Ф – фильтра,
П – получатель.
Многоканальная
РТС ПИ с уплотнением канальных сигналов по форме (кодовое линейное уплотнение).
I——|

Достоинства:
1) высокая потенциальная помехоустойчивость;
2) высокая информационная защищенность;
3) энергетическая скрытность системы;
4) возможно специальное помехоустойчивое кодирование группового сигнала;
5) универсальность. Недостатки:
1) повышенная сложность системы;
2) многоуровневый сигнал сложнее обрабатывается цифровым образом;
3) требуется время для выхода системы в синхронный режим;
4) количество уплотняемых каналов не превышает сотни.
ЛИТЕРАТУРА
1.
Охрименко А.Е.
Основы извлечения, обработки и передачи информации. (В 6 частях). Минск, БГУИР,
2004.
2.
Девятков Н.Д.,
Голант М.Б., Реброва Т.Б.. Радиоэлектроника и медицина. –Мн. –
Радиоэлектроника, 2002.
3.
Медицинская
техника, М., Медицина 1996-2000 г.
4.
Сиверс А.П.
Проектирование радиоприемных устройств, М., Радио и связь, 2006.
5.
Чердынцев В.В.
Радиотехнические системы. – Мн.: Высшая школа, 2002.
6.
Радиотехника и
электроника. Межведоств. темат. научн. сборник. Вып. 22, Минск, БГУИР, 2004.
|