Курсовая работа: Разработка диэлектрической стержневой ФАР
Курсовая работа: Разработка диэлектрической стержневой ФАР
Пояснительная записка к курсовому проекту
Выполнил: Vanish588
Московский Авиационный Институт
Москва 2010 г.
Исходные
данные для расчёта
Тип
решётки: Диэлектрическая стержневая ФАР бортовой РЛС.
Рабочая
длина волны: λ=5 см.
Ширина
ДН в обеих плоскостях .
УБЛ
в обеих плоскостях: УБЛ = - 13 дБ.

Сектор
сканирования в обоих плоскостях: ±60
Введение
Для
получения остронаправленного излучения широко применяются антенные решетки (АР),
состоящие из совокупности отдельных, как правило, идентичных излучателей. В
качестве элементов АР могут использоваться направленные и слабонаправленные
излучатели (симметричные вибраторы, щели, открытые концы волноводов, рупора, диэлектрические
стержни, спирали). Использование АР позволяет существенно повысить
эффективность современных бортовых и наземных радиосистем за счет осуществления
быстрого безинерционного обзора пространства путем сканирования луча АР
электрическими методами (электрическое сканирование); увеличения коэффициента
усиления (КУ) антенны; формирования диаграммы направленности (ДН) с требуемыми
шириной и уровнем боковых лепестков путем создания соответствующего амплитудно
- фазового распределения по раскрыву решетки; увеличения излучаемой мощности и
снижения потерь в фидерном тракте за счет размещения в каналах излучателей
решетки независимых генераторов или усилителей высокочастотной энергии;
осуществления многофункциональной работы радиосистемы, т.е. совмещение в ней
нескольких функций, например: поиска, обнаружения и сопровождения цели;
увеличения помехозащищенности путем пространственной обработки сигналов
(адаптивные АР) и т.д. При этом антенная решетка может служить первичным звеном
обработки (в общем случае пространственно - временной) сигнала и в силу этого в
значительной мере определяет основные характеристики всей системы. Для
получения предельных характеристик радиосистем могут предъявляться повышенные
требования к характеристикам направленности АР: величине КНД, уровню боковых
лепестков, форме ДН и т.п. Решетки, обеспечивающие необходимые параметры этих
характеристик называют оптимальными. Антенные решетки принято классифицировать
в зависимости от расположения излучателей в пространстве, характеру их
размещения в решетке, шага решетки, способа их возбуждения и сканирования, типа
применяемого излучателя и т.д. В данном курсовом проекте будет проведен расчет
параметров плоской антенной решетки с электрическим типом сканирования.
3.
Определение геометрических параметров антенной решетки
Одним из наиболее распространенных типов ФАР являются линейные и
плоские решетки. Большинство плоских ФАР состоит из идентичных излучателей, расположенных
в узлах плоской координатной сетки с двойной периодичностью. Наиболее
употребительными являются прямоугольная и треугольная (или гексагональная)
сетки. Выбираем прямоугольную сетку рис. 3.1. При элементарном рассмотрении
предполагается, что ДН излучателя в решетке не отличается от ДН изолированного
излучателя. Далее определим параметры прямоугольной сетки по заданному значению
ширины главного лепестка диаграммы направленности, уровню боковых лепестков и
сектору сканирования для каждой плоскости в отдельности.
В
плоскости Х:
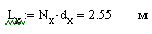
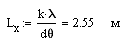
Длина
антенной решетки:
,
где
k – коэффициент определяемый по уровню боковых лепестков (УБЛ), согласно (Л 4, стр.
24, табл. 2.1) для УБЛ < - 13 дБ, k = 51
λ
- длина волны
.- ширина
основного лепестка ДН в плоскости Х
Расстояние
между излучателями решетки:

Количество
излучателей в решетке:

Примем
число элементов в решетке в плоскости Х равным 96, тогда пересчитаем длину
решетки в этой плоскости:

В
плоскости Y:
Длина
антенной решетки:

где
k – коэффициент определяемый по уровню боковых лепестков (УБЛ), согласно (Л 4, стр.
24, табл. 2.1) для УБЛ < - 13 дБ, k = 51
λ
- длина волны
.- ширина
основного лепестка ДН в плоскости Y
Расстояние
между излучателями решетки:

Количество
излучателей в решетке:

Примем
число элементов в решетке в плоскости Y равным 96, тогда пересчитаем длину
решетки в этой плоскости:

Таким
образом, в результате определения геометрических размеров решетки получаем
плоскую решетку, с размерами 2, 55 и 2, 55 метра (96 излучателей по оси Х и по оси Y ) и расстоянием между излучателями равным 2, 7 см в обеих плоскостях.
4.
Расчет диаграммы направленности диэлектрической стержневой антенны
Проектируемая
антенная решетка строится на базе диэлектрических стержневых антенн и для
дальнейшего расчета диаграммы направленности всей решетки нам необходимо
определить диаграмму направленности одиночного стержневого диэлектрического
излучателя. В ходе определения его конкретных параметров стоит заметить, что
ширина диаграммы направленности одиночного излучателя будет влиять на амплитуду
главного лепестка решетки при сканировании. Исходя из этого, ширина диаграммы
направленности основного лепестка одиночного излучателя по уровню 0, 707 от
максимума, создаваемой им напряженности поля должна быть как можно ближе к 90°.
Тогда при максимальном угле сканирования в 50°, амплитуда главного лепестка
решетки уменьшится не более чем в 0, 707 раз. Выберем конусообразную
конструкцию диэлектрического излучателя, упрощенный вид которого показан на
рисунке 4.1

В
качестве материала диэлектрика выбираем полистирол, для которого
диэлектрическая проницаемость ε=2, 5. Экспериментальным путем выбираем
длину излучателя Lс= 4, 2см.
Определим
диаметр основания конуса стержня dCmax и его вершины dCmin по формулам (Л3, стр.397):

В
последующих расчетах будем использовать среднее значение диаметра
диэлектрического стержня:

Определим
коэффициент замедления волны ζ в диэлектрике стержневого излучателя по
рис. 4.2:

Исходя
из графика зависимости, для значения при ε=2.5 находим отношение
следовательно, коэффициент замедления волны ζ=1.
Для
математического описания диаграммы направленности стержневой антенны, излучатель
представляется в виде системы элементарных излучателей (колец).
Диаграмма
направленности элементарного излучателя определяется по формуле:
,
где:
J0 – функция Бесселя нулевого порядка
– волновое
число
Диаграмма
направленности всего стержневого излучателя определяется как произведение
диаграммы направленности элементарного излучателя на множитель излучателя , определяемого
по формулам:

Тогда
диаграмма направленности диэлектрического стержневого излучателя будет иметь
вид:


5.
Расчет диаграммы направленности антенной решетки
Диаграмма
направленности антенной решетки определяется как произведение диаграммы
направленности одиночного излучателя решетки на множитель решетки. Множитель
решетки зависит от числа излучателей в решетке и расстояния между ними.
Соответственно, в рассматриваемом случае, множитель решетки в плоскости Х и Y
не будет отличаться. Также на множитель решетки влияет амплитудное
распределение сигнала от генератора, подаваемого на каждый элемент решетки.
Характер амплитудного распределения определяется согласно (Л4, стр. 24, табл.
2.1) по заданному уровню боковых лепестков (УБЛ). УБЛ в обеих плоскостях должен
быть УБЛ - 13дБ, и такому уровню боковых лепестков соответствует закон
равномерного амплитудного распределения:

Таким
образом, обозначив все факторы, влияющие на множитель решетки в обеих
плоскостях, можем записать его формулу.
Множитель
решетки в плоскости X:

Множитель
решетки в плоскости Y:

Как
было сказано ранее, диаграмма направленности всей антенной решетки определяется
произведением ее множителя на ДН одиночного излучателя решетки .
Диаграмма
направленности антенной решетки в плоскости Х:

Вид
диаграммы направленности антенной решетки в плоскости Х при нулевом угле
сканирования (рис.5.2).

Вид
диаграммы направленности антенной решетки в плоскости Х при угле сканирования
равном ± 60° (рис.5.3)

Аналогично
определим вид диаграммы направленности антенной решетки в плоскости Y:
Диаграмма
направленности антенной решетки в плоскости Y:

Вид
диаграммы направленности антенной решетки в плоскости Y при нулевом угле
сканирования (рис.5.4):

Вид
диаграммы направленности антенной решетки в плоскости Y при угле сканирования
равном ± 60° (рис. 5.5)

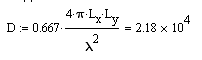
Коэффициент
направленного действия линейной решётки при ориентации луча в направлении
нормали к её плоскости может быть рассчитан по формуле (Л1, стр. 39, формула
2.11) , при условии, что коэффициент использования площади раскрыва, определяемый
амплитудным распределением, равен ν=0, 667 (Л1, стр. 35, табл. 2.1.)

Определение
параметров антенной решетки на данном этапе можно считать законченным.
Следующим
этапом следует выбрать схему питания антенной решетки и определить ее
конструкцию.
6.
Выбор и расчет схемы питания антенной решетки
Согласно
ТЗ при длине волны рабочего диапазона λ=5см коаксиальная линия для питания
антенны не используется из-за быстрого роста потерь в линии и технологических
трудностей ее изготовления. В этом случае используют волноводное питание
антенны путем прямого перехода от прямоугольного волновода к круглому или с
помощью двойного волноводно-коаксиального перехода.
Делители
мощности выполняются по схемам последовательного и параллельного деления
мощности. При последовательном делении мощности (рис. 6.1) нагрузка может быть
включена в боковые ответвления фидерного тракта.
Недостатком
данной схемы является различная электрическая длина пути от входа антенны до
излучателей, что может привести к фазовым искажениям на краях частотного
диапазона. Для устранения фазовых искажений в боковые ответвления необходимо
включать компенсационные отрезки фидера.

При
параллельной схеме (рис. 6.2) деления мощности, возможно деление как
равномерное, так и неравномерное. К схемам параллельного деления относятся
n-этажные схемы деления, в каждом узле которой происходит деление мощности.
Достоинством
такой схемы является: общие потери определяются вносимыми потерями 1 - ого
фазовращателя; отсутствует накопление фазовой ошибки.
Недостатком
параллельной схемы является сложность согласования при делении мощности на
большое количество излучателей.

В
нашем случае применим схему с последовательным делением мощности (рис. 6.1).
Возбуждение
излучателей в решетке осуществляется с помощью щелей, прорезанных в широкой или
узкой стенке волновода. Возбуждение щели в волноводе происходит, если она своей
широкой стороной пересекает поверхностные токи, текущие по внутренним стенкам.
Возбуждение излучателей в каждой линейке будем осуществлять с помощью щелей, прорезанных
в узкой стенке питающего волновода, а возбуждение питающих волноводов – с
помощью щелей, прорезанных в широкой стенке волновода.
По
данным ТЗ (λ=5см) выбираем волновод WR - 159 с диапазоном частот для
основного вида колебаний 4, 9ГГц – 7, 05ГГц, внутренними размерами (40, 38x20, 19)мм
и внешними размерами (43, 63x23, 44)мм, толщиной стенок (1, 6 ±0, 1)мм. (Л6, стр.
104, табл. 3.6)
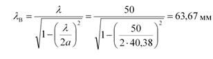
Для
синфазного возбуждения щелей требуется располагать их на расстоянии , а длина волны
в питающем волноводе составит:

Проверим
возможность распространения высших типов волн – волны Н30
Так
как такой волновод применяется в пяти сантиметровом диапазоне волн, то проверим
возможность распространения в нем волны типа Н30.
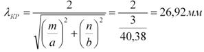
Для
волны Н30:

В
нашем случае λ > λкр, а значит, волна типа Н30 в волноводе не
распространяется.
Воспользовавшись
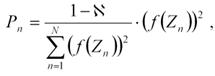
энергетическим методом расчета, рассчитаем возбуждение решетки в плоскости X :
Рассчитаем
относительную мощность щелей по формуле (Л4, стр.119) :

где
f(Zn) - амплитудное распределение;
- отношение
мощности, поглощаемой в нагрузке РL, к мощности на входе антенны Р0
для
резонансной антенны,
для
нерезонансной антенны.
Примем

; где А(n) - амплитудное
распределение (рис. 5.1.)

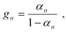
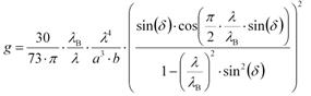
Рассчитаем
нормированные проводимости по формуле (Л4, стр.120, формула 5.17):

где
αn - коэффициенты связи щели с волноводом:


Угол
поворота щели δ определим, воспользовавшись выражением (Л4 , стр.110, табл.
5.1):




7.
Выбор фазовращателя
В
качестве схемы фазовращателя будем использовать электрически управляемый
дискретно-коммутационный фазовращатель. Электрически управляемые фазовращатели
могут быть построены с применением разнообразных управляемых элементов. В
качестве управляемого элемента удобно использовать p-i-n диод, т.к. он обладает
свойством резкого изменения своего полного сопротивления под действием
управляющего напряжения. Принцип действия дискретно-коммутационного
фазовращателя основан на подключении или отключении дополнительных участков
полосковой линии, которые удлиняют путь прохождения волны по микрополосковой
линии, обеспечивая, таким образом, необходимый фазовый сдвиг.
Длина
дополнительного участка линии определяет дискретное значение фазового сдвига, а
количество таких дополнительно включаемых линий определяет максимальный сдвиг
фазы. Одна из возможных реализаций конструкции вышеописанного фазовращателя
приведена на (рис. 7.1). В нашем случае будем применять
дискретно-коммутационный ферритовый фазовращатель на прямоугольной петле
гистерезиса с дискретом фазы равным 22, 5°.

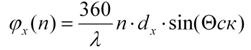
При
отклонении луча от нормали с плоской решеткой на угол Ɵск
необходим
фазовый сдвиг φ между двумя произвольными излучателями, отстоящими друг от
друга на d в плоскости сканирования, который определяется по формуле (Л5, стр.441):

Но
при этом необходимо учитывать и набег фаз, возникающий при использовании
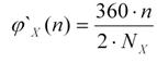
последовательной схемы питания. Оценим возникающий набег фазы по формуле:


Чтобы
компенсировать фазовый набег, возникающий в схеме питания, определим фазовое
распределение в решетке как разность φx(n)-φ`x(n), тогда фазовое
распределение будет иметь вид:

Так
как выбранный тип фазовращателя способен обеспечить только дискретный шаг фазы
равный 22, 5°, то фазовое распределение будет иметь вид :

8.
Особенности конструкции
Учитывая
особенность конструкции схемы возбуждения диэлектрического стержня с помощью
волновода, следует учесть, что расстояние между щелями, прорезанными в стенке
волновода равно , при =64мм, то d=32мм в Y плоскости
антенной решётки, а рассчитанное расстояние между стержнями в плоскости Y
dy=27мм. Учитывая эти особенности, рассчитаем новую диаграмму направленности
антенной решётки в плоскости Y.
Диаграмма
направленности антенной решетки в плоскости Y:


При
этом вид ДН АР в плоскости X останется неизменным, т.к. расстояние между
стержнями АР соответствует расчёту и равно dx=27 мм.

Список литературы
1.
Антенны и устройства СВЧ. Проектирование фазированных антенных решеток. Под
ред. Д.И.Воскресенского. – 2 - е изд., доп. и перераб. – М.: Радио и связь, 1994 г.
2.
Оптимальные антенные решетки. Автор: Степаненко В.И., Учебное пособие – М.: АМИ,
2001 г.
3.
Антенно-фидерные устройства. Авторы: Драбкин А.Л., Зузенко В.Л., Кислов А.Г. –
2 - ое изд., доп. и перераб. – М.: «Советское радио», 1974г.
4.
Антенны и устройства СВЧ. Проектирование фазированных антенных решеток. Под
ред. Д.И.Воскресенского. – М.: Радио и связь, 1981г.
5.
Антенны и устройства СВЧ. Под ред. Д.И.Воскресенского. – М.: Изд-во МАИ, 1999 г
6.
Справочник по элементам волноводной техники. Авторы: Фельдштейн А.Л., Явич Л.Р.,
Смирнов В.П. – 2-ое изд., доп. и перераб. – М.: Советское радио, 1967 г
Для
подготовки данной работы были использованы материалы с сайта http://referat.ru
|