Курсовая работа: Междугородные кабельные линии связи
Курсовая работа: Междугородные кабельные линии связи
МОСКОВСКИЙ
ТЕХНИЧЕСКИЙ УНИВЕРСИТЕТ
СВЯЗИ И
ИНФОРМАТИКИ
Кафедра линий
связи
Курсовой
проект
"МЕЖДУГОРОДНЫЕ
КАБЕЛЬНЫЕ ЛИНИИ СВЯЗИ"
Выполнил: Карасев А.Н.
Студ. билет №1МС04027
Группа МС0403
Проверил: Зубилевич А.Л.
Москва 2007
Содержание
1.
Задание
2.
Введение
3.
Характеристика
оконечных пунктов
4.
Выбор трассы
проектируемой кабельной линии связи
5.
Выбор типа кабеля
и системы передачи
6.
Конструктивный
расчет кабеля
7.
Расчет параметов
передачи
8.
Расчет параметров
взаимного влияния
9.
Размещение
усилительных пунктов по трассе
10.
Расчет опасного
магнитного влияния ЛЭП на цепи кабелей связи
11.
Мероприятия по защите
от коррозии, влияний ЛЭП и ЭЖД, а также от ударов молнии
12.
Сметно-финансовый
расчет
Заключение
Список использованной литературы
1. Задание
В соответствии с
исходными данными индивидуального задания, а также по следующим данным:
Материал троса: алюминий
Сечение троса: S = 50 – 100мм²;
Эквивалентная удельная
проводимость земли: σ∙10ˉ³См/м,
σ = 70, в курсовом проекте необходимо:
- Охарактеризовать
оконечные пункты.
- Выбрать трассу
проектируемой кабельной линии связи.
- Выбрать тип кабеля и
систему передач.
- Произвести
конструктивный расчет кабеля
- Рассчитать первичные и
вторичные параметры передачи.
- Рассчитать первичные и
вторичные параметры взаимного влияния, а также сравнить рассчитанные вторичные
параметры с существующими нормами.
- Разместить по трассе
усилительные пункты.
- Произвести расчет
опасного магнитного влияния ЛЭП на цепи кабелей связи.
- Определить
необходимость мероприятий по защите от влияний ЛЭП и ЭЖД, а также от ударов
молнии. Описать необходимые мероприятия. Описать меры защиты кабеля от коррозии
(дренаж и катодные станции).
- Произвести
сметно-финансовый расчет.
- Сделать заключение по
проекту.
2. Введение
На современном этапе
развития общества в условиях научно-технического прогресса непрерывно
возрастает объем информации. Теоретические и экспериментальные (статистические)
исследования подтверждают, что количество требуемой продукции отрасли связи,
выражающееся в объеме передаваемой информации, непрерывно растет. Это
определяется необходимостью расширения взаимосвязи между различными звеньями
народного хозяйства, а также увеличением объема информации в технической,
научной, политической и культурной жизни общества. Повышаются требования к
скорости и качеству передачи разнообразной информации, увеличиваются расстояния
между абонентами. Связь необходима для оперативного управления экономикой, а
также для работы государственных органов, для повышения обороноспособности
страны и удовлетворения культурно-бытовых потребностей населения.
Сеть связи страны
строится в соответствии с планом развития связи России. Электросвязь
осуществляется на основе единой технической политики с максимальной
автоматизацией и компьютеризацией с целью удовлетворения потребности населения
и народного хозяйства в передаче всех видов информации по всей территории
страны. Она объединяет в одно целое средства электрической связи всех ведомств
и министерств, направляя их развитие по единому плану, а также все сети
магистральной, зоновой, сельской и городской связи, обеспечивая их развитие в
едином автоматизированном комплексе с единой нумерацией и коммутацией. Это
позволит в перспективе каждому абоненту одного населенного пункта иметь связь с
любым другим абонентом другого населенного пункта страны.
Соединение междугородной
кабельной линией связи двух таких городов, как Рязань и Тула, является
необходимым, так как это крупные областные центры, имеющие развитую
промышленность и сельское хозяйство. Подробная характеристика городов будет
приведена ниже.
Как уже отмечалось,
обеспечение связью необходимо для нормального функционирования всех отраслей
народного хозяйства, а также для удовлетворения потребностей населения. Кроме
того, данная сеть будет являться одним из звеньев взаимоувязанной сети связи
страны.
3. Характеристика
оконечных пунктов
Рязань— город
в России, административный центр Рязанской области. Население 515,9 тыс.
жителей (2005; в 1975 было 419 тыс., в 1970—350 тыс., в 1959—214 тыс., в 1939 −
95 тыс.). Город расположен на правом берегу Оки (в 2 км от реки), при впадении
в неё реки Трубеж. Крупная пристань на Оке, в 196 км от Москвы. Узел
железнодорожных линий на Москву, Рузаевку, Ряжск. Аэропорт Турлатово.
В Советском
Союзе Рязань превратилась в крупный промышленный центр. В настоящее время город
даёт 60% валовой продукции промышленности области. До Великой Отечественной
войны 1941-45 две трети его валовой промышленной продукции давали пищевая,
лёгкая и деревообрабатывающая отрасли; после войны Рязань превратилась в важный
индустриальный центр с преобладанием отраслей тяжёлой промышленности, главным образом
машиностроения. Крупнейшие предприятия: ОАО "Рязанский Станкостроительный
завод"(металлорежущие станки), ЗАО "ПРО_САМ"(счетно-аналитических
машин), ОАО "Рязанский завод автоагрегатов", ОАО "Тяжпрессмаш",
ОАО "Рязанский радиозавод", ЗАО "Рязанская нефтеперерабатывающая
компания" (первичная обработка нефти), ОАО "Рязанский комбайновый
завод" (сельхозтехника), ОАО "Теплоприбор", ОАО "Рязцветмет",
и другие. Предприятия лёгкой промышленности: швейная, обувная фабрики, ЗАО "Русская
кожа" и другие. Пищевая промышленность. Производство стройматериалов,
деревообработка. В Рязанском районе выращивают зерновые и кормовые культуры,
картофель, овощи, фрукты. Разводят крупный рогатый скот, свиней, птицу.
В Рязани
находится Военный автомобильный институт, Высшее военное командное училище
связи,Высшее военное командное десантное,Академия МВД,Политехнический институт,
7 коммерческих институтов,сельскохозяйственная академия, радиотехнический
университет (РГРТУ), Рязанский государственный университет и медицинский университеты,
11 средних специальных учебных заведений. Высшее Десантное Рязанское училище.
На
сегодняшний день Рязань является не только промышленным, но и крупным научным и
культурным центром, где бережно хранится богатое наследие прошлого. В 1995 году
Рязань отметила
900-летие.
Тула— город в
России, административный центр Тульской области, городской округ, расположен в
193 километрах южнее Москвы на реке Упе, город-герой. Население 465 тыс. чел.
(2005), в агломерации 650 тыс. чел (2005). Исторически сложилось так, что Тула
была южным форпостом Москвы, на протяжении веков, отражавшим набеги иностранных
захватчиков. Ни разу не был взят ими ни Тульский кремль, ни сам город. Издревле
оружейное производство было в Туле основным, налагая свой отпечаток на облик и
характер города и области. Более четырех веков Тула известна как центр
оружейных ремесел и металлообработки. Сегодня Тульская область — это развитый
промышленный регион. Металлургия представлена здесь двумя чугунолитейными
заводами и 24 предприятиями среднего масштаба. Тульский оружейный завод,
Тульский машиностроительный завод, КБП (Конструкторское бюро приборостроения),
ОАО "Тульский патронный завод", АО "Комбайновый завод", НПО
"Сплав", ОАО "Тулачермет", ОАО "Косогорский
металлургический завод". Традиционно развитые машиностроение и
металлообработка в общем объеме промышленного производства составляют 21,9%,
химия и нефтехимия — 20,8%, металлургия — 17,7%, электроэнергетика — 11,9%,
пищевая и перерабатывающая — 13,0%, легкая промышленность — 3,9%.
В регионе действует
развитая система профессионального образования — более восьмидесяти
профессиональных и средних профессиональных учебных заведений и 9 высших
учебных заведений.
Наиболее
известными учебными заведениями города являются:
·
Тульский
государственный университет (ТулГУ)
·
Тульский
государственный педагогический университет им. Л. Н. Толстого (ТГПУ)
·
Тульский
артиллерийский инженерный институт
Имеются также
филиалы ВУЗов из других регионов России:
·
Московский
Университет МВД России (до 2003 года Юридический институт МВД РФ) (ТФ МосУ МВД)
·
Московский
Государственный Университет Культуры и Искусства
·
Российская
Международная Академия Туризма (РМАТ ТФ)
4. Выбор
трассы проектируемой кабельной линии связи.
Между Тулой и Рязанью
возможна прокладка кабельной линии связи по множеству маршрутов. При выборе
трассы кабельной магистрали следует исходить из сведения к минимуму
материальных затрат. Из экономических соображений (снижение строительных и
эксплуатационных расходов) выгоднее прокладка кабельной линии вдоль
автомобильных и грунтовых дорог. На основании изучении карты намечаем три
возможных варианта трассы между городами:
·
1)Тула – Узловая
– Донской – Кимовск – Михайлов – Захарово – Рязань
·
2)Тула – Узловая
– Донской – Кимовск – Михайлов – Александро-Невский – Ряжск – Искра – Рязань
·
3)Тула –
Богородицк - Ефремов – Воскресенское - Данков – Лев Толстой – Чаплыгин –
Александро-Невский — Ряжск — Искра - Рязань
| Трасса |
Протяженность |
Реки |
Водохр-ще |
Горы |
Болота |
ЭЖД |
∑ |
| 1 |
200 |
4 |
- |
- |
- |
2 |
6 |
| 2 |
445 |
11 |
- |
- |
- |
4 |
15 |
| 3 |
410 |
12 |
- |
- |
- |
8 |
20 |
Для определения
оптимальной трассы сравним их. Видно, что оптимальный выбор – это трасса 1,т.к.
у неё наименьшая протяженность и наименьшее число пересекаемых препятствий.
Таким образом, прокладка
кабельной линии связи между городами Тула и Рязань будет осуществляться по
трассе, проложенной вдоль магистральной автомобильной дороги и обозначенной на
карте желтым цветом.
5. Выбор типа кабеля и системы передач
В
индивидуальном задании на курсовой проект заданы: кабель КМАБп–4 и система передачи
К–3600.
Коаксиальные
магистральные кабели типа КМ-4 содержат четыре коаксиальные пары типа 2.6/9.4 и
пять симметричных четверок. Коаксиальная пара типа 2.6/9.4 имеет внутренний
медный проводник диаметром 2.58 мм., внешний проводник в виде медной трубки с
продольным швом, толщиной стенок 0.26 мм., изоляцию из полиэтиленовых шайб,
экран из двух стальных лент, изоляцию из двух слоев бумажных лент.
Кабель
КМАБп-4 – это магистральный коаксиальный кабель в алюминиевой оболочке с
защитным покровом типа Бп (броня из двух стальных лент, с полиэтиленовым
шлангом и наружным покровом из кабельной пряжи).
Область
применения кабеля – грунты всех категорий, кроме грунтов, агрессивных по
отношению к стальной броне.
Система
К-3600 предназначена для получения пучков емкостью до 7200 каналов по кабелю
КМ-4. По кабелю КМ-4 могут работать две коаксиальные системы передачи и одна
распределительная, использующая симметричные пары. Линейный спектр системы
К-3600: 812-17596 кГц.
6.
Конструктивный расчет кабеля
Кабель КМАБп-4
– это магистральный коаксиальный кабель в алюминиевой оболочке с защитным
покровом типа Бп (броня из двух стальных лент, с полиэтиленовым шлангом и
наружным покровом из кабельной пряжи).
Основные
конструктивные размеры кабеля КМАБп-4[2]:
Поясная
изоляция: tпи = 0.7мм.
Диаметр
сердечника по поясной изоляции: 28.6мм.
Толщина
алюминиевой оболочки: tоб =
1.45мм.
Подклеивающий
слой и п/э покрытие: 2.5мм.
Подушка под
броню: tпод = 1.5мм.
Броня из двух
стальных лент по 0.5мм.: tбр =
1мм.
Наружный
покров: tпок = 2мм.
Для
коаксиальной пары:
Диаметр жил
симметричных медных четверок: 0.9мм.
Диаметр
внутреннего медного проводника: 2.58мм.
Внутренний
диаметр внешнего проводника: dв =
9.4мм.
Толщина лент
внешнего проводника: 0.26мм.
Толщина
внешнего проводника: t =
0.3мм.
Толщина ленты
экрана: 0.15мм.
Толщина
экрана: tэ = 0.3мм.
Толщина
изоляции из двух слоев бумаги: tиз =
0.3мм.
Определим
диаметр коаксиальной пары по формуле[2]:
Dкп = dв + 2*t + 2*tэ + 2*tиз,
Dкп = 9.4 + 2*0.3 + 2*0.3 + 2*0.3 =
11.2мм.
Найдем диаметр
кабельного сердечника[2]:
Dкс = 2.41*Dкп
Dкс = 26.992мм.
Рассчитаем
диаметр кабеля по оболочке и защитным покровам[2]:
Dк = Dкс + 2*tпи +
2*tоб + 2*(tпод + tбр + tпок)
Dк = 26.992 + 2* 0.7+ 2* 1.45 + 2*(1.5
+ 1 + 2) = 40.292мм.
Чертеж кабеля
КМАБп-4, выполненный в масштабе по результатам конструктивного расчета кабеля,
представлен на рис.1

Рис. 2.
Кабель КМАБп-4 в разрезе
7. Расчет
параметров передачи
Параметры
передачи характеризуют процесс распространения электромагнитной энергии вдоль
цепи и подразделяются на первичные и вторичные.
Первичные
параметры:
R – активное сопротивление цепи,
Ом/км;
L – индуктивность цепи, Гн/км;
C – емкость цепи, Ф/км;
G – проводимость цепи;

Вторичные
параметры:
γ = α
+ j*β – коэффициент
распространения, 1/км;
α –
коэффициент затухания, дБ/км
β –
коэффициент фазы, рад/км;
Zв – волновое сопротивление, Ом;
v – скорость распространения
электромагнитных волн, км/с.
Расчет
параметров передачи производится на следующих частотах:
f1 = 812 кГц = 0.812*10^6 Гц
f2 = 4 МГц = 6*10^6 Гц
f3 = 8 МГц = 8*10^6 Гц
f4 = 12 МГц = 12*10^6 Гц
f5 = 17596 кГц = 17.6*10^6 Гц
где f2-f4 – заданные частоты для расчета параметров передачи; f1,f5 – граничные частоты линейного спектра системы передачи
К-3600
а) Расчет
первичных параметров передачи
Активное
сопротивление коаксиальной цепи складывается из сопротивлений центрального и
внешнего проводников и вычисляется по формуле[2]:
Здесь Ra – активное сопротивление внутреннего
проводника, Ом/км;
Rb – активное сопротивление внешнего
проводника, Ом/км;
f – частота, Гц;
ra = 1.29 мм – радиус внутреннего
провода;
rb = 4.7 мм – радиус внешнего провода.
Пример численного
расчета активного сопротивления приведем для частоты 

| F, кГц |
R, Ом/км |
| 0.812*10^6 |
37.213 |
| 4*10^6 |
82.593 |
| 8*10^6 |
116.805 |
| 12*10^6 |
143.056 |
| 17.6*10^6 |
173.249 |
Построим
график зависимости активного сопротивления коаксиальной цепи от частоты R(f), а также укажем на нем существующие нормы Rin(fin)[5]:

График
позволяет убедиться, что расчетные значения активного сопротивления
коаксиальной цепи совпадают с нормами.
2.
Индуктивность коаксиальной цепи определяется суммой внутренних индуктивностей
проводников La и Lb и внешней межпроводниковой индуктивности Lмп и вычисляется по формуле[2]:

Здесь f – частота, Гц.
ra = 1.29 мм – радиус внутреннего
провода;
rb = 4.7 мм – радиус внешнего провода.
Пример
численного расчета индуктивности приведем для частоты f1 = 0.812*10^6 Гц

Результаты
расчетов индуктивности на всех исследуемых частотах приведены в таблице 3
Таблица 3
| F, Гц |
L, Гн/км |
| 0.812*10^6 |
2.659*10^-4 |
| 4*10^6 |
2.619*10^-4 |
| 8*10^6 |
2.609*10^-4 |
| 12*10^6 |
2.605*10^-4 |
| 17.6*10^6 |
2.602*10^-4 |
Построим
график зависимости индуктивности коаксиальной цепи от частоты L(f), а также укажем на нем существующие нормы[5]:

Из графика
следует, что расчетная индуктивность коаксиальной цепи немного ниже нормы.
3. Емкость
коаксиальной цепи определяется по формуле[2]:
, Ф/км
Здесь ra = 1.29 мм – радиус внутреннего провода;
rb = 4.7 мм – радиус внешнего провода;
εэ = 1.1 – эквивалентная диэлектрическая проницаемость
комбинированной изоляции[].
Пример
численного расчета емкости приведем для частоты f1 = 0.812*10^6 Гц:
 
Результаты
расчетов емкости на всех исследуемых частотах приведены в таблице 4:
Таблица 4
| F, Гц |
С, Ф/км |
| 0.812*10^6 |
4.727*10^-8 |
| 4*10^6 |
4.727*10^-8 |
| 8*10^6 |
4.727*10^-8 |
| 12*10^6 |
4.727*10^-8 |
| 17.6*10^6 |
4.727*10^-8 |
Построим
график зависимости емкости коаксиальной цепи от частоты C(f), а также укажем на нем существующие нормы Сi = 46.9 нФ/км[5]:

Из графика
видно, что расчетная емкость коаксиальной цепи немного выше нормы.
4.
Проводимость изоляции коаксиальной цепи рассчитывается по формуле[2]:

Здесь ω - круговая
частота, ω = 2*π*f;
C - емкость коаксиальной цепи, Ф/км;
tan(δэ) - эквивалентный тангенс угла диэлектрических потерь. Для
различных частот его значения приведены в таблице 5:
Таблица 5
| F, Гц |
tan(δэ) |
| 0.812*10^6 |
0.5*10^-4 |
| 4*10^6 |
0.5*10^-4 |
| 8*10^6 |
0.65*10^-4 |
| 12*10^6 |
0.7*10^-4 |
| 17.6*10^6 |
0.7*10^-4 |
Пример
численного расчета проводимости изоляции приведем для частоты f1 = 0.812*10^6 Гц:

Результаты
расчетов проводимости изоляции на всех исследуемых частотах приведены в таблице
6:
Таблица 6
| F, Гц |
G, См/км |
| 0.812*10^6 |
1.206*10^-5 |
| 4*10^6 |
5.94*10^-5 |
| 8*10^6 |
1.188*10^-4 |
| 12*10^6 |
1.782*10^-4 |
| 17.6*10^6 |
2.614*10^-4 |
Построим
график зависимости проводимости изоляции коаксиальной цепи от частоты G(f), а также укажем на нем существующие нормы Gi[5]:

По графику
можно судить, что расчетные значения проводимости изоляции коаксиальной цепи
почти совпадают с нормами.
б) Расчет
вторичных параметров передачи
1. Волновое
сопротивление коаксиального кабеля определяется по формуле[2]:

Здесь L – индуктивность коаксиальной цепи,
Гн/км;
C – емкость коаксиальной цепи, Ф/км.
Пример
расчета волнового сопротивления приведем для частоты f1 = 0.812*10^6 Гц:

Результаты
расчетов волнового сопротивления на всех исследуемых частотах приведены в
таблице 7:
Таблица 7
| F, Гц |
Zв,Ом |
| 0.812*10^6 |
74.999 |
| 4*10^6 |
74.431 |
| 8*10^6 |
74.294 |
| 12*10^6 |
74.233 |
| 17.6*10^6 |
74.186 |
Построим
график зависимости волнового сопротивления коаксиальной цепи от частоты Zв(f), а также укажем на нем существующие нормы Zвi(fi)[5]:

Из графика
следует, что расчетные значения волнового сопротивления коаксиальной цепи почти
совпадают с нормами.
2.
Коэффициент затухания в коаксиальной цепи рассчитывается по формуле[2]:

Здесь αм и αд – составляющие затухания за счет потерь энергии в металле и диэлектрике,
дБ/км;
R – сопротивление коаксиальной цепи,
Ом/км;
G – проводимость коаксиальной цепи,
См/км;
L – индуктивность коаксиальной цепи,
Гн/км;
C – емкость коаксиальной цепи, Ф/км.
Пример
численного расчета коэффициента затухания приведем для частоты f1 = 0.812*10^6 Гц:

Результаты
расчетов коэффициента затухания на всех исследуемых частотах приведены в
таблице 8:
Таблица 8
| F, Гц |
α,дБ/км |
| 0.812*10^6 |
2.16 |
| 4*10^6 |
4.84 |
| 8*10^6 |
6.87 |
| 12*10^6 |
8.431 |
| 17.6*10^6 |
10.23 |
Построим
график зависимости коэффициента затухания от частоты αi(fi), а также укажем на нем существующие нормы[5]:

3. Коэффициент фазы
находится по формуле [6].
Приведём пример
численного расчета для частоты f1=0.812*10^6 Гц


ω- круговая частота,
ω=2∙π∙f;
С - емкость коаксиальной
цепи, Ф/км;
L - индуктивность
коаксиальной цепи, Гн/км.
Результаты расчетов
коэффициента фазы на всех исследуемых частотах приведены в таблице:
| f,Гц |
β,рад/км |
| 0.812*10^6 |
18.088 |
| 4*10^6 |
88.43 |
| 8*10^6 |
176.522 |
| 12*10^6 |
264.58 |
| 17.6*10^6 |
387.828 |

График позволяет наглядно
убедиться, что расчетные значения совпадают с нормами.
4. Скорость
распространения энергии в коаксиальной цепи определяется по формуле [6].
И приведём пример
численного расчета для частоты fl =0,812*10^6 Гц
 
С - емкость коаксиальной
цепи, Ф/км;
L - индуктивность
коаксиальной цепи, Гн/км.
Результаты расчетов
скорости распространения энергии на всех исследуемых частотах приведены в
таблице:
| f,Гц |
v,км/с ×10^5 |
| 0,812*10^6 |
2,821 |
| 4*10^6 |
2,842 |
| 8*10^6 |
2,848 |
| 12*10^6 |
2,85 |
| 17.6*10^6 |
2,851 |
Построим график
зависимости скорости распространения энергии в коаксиальной цепи от частоты:

График позволяет наглядно
убедиться, что расчетные значения совпадают с нормами.
8. Расчет параметров
взаимного влияния
Коаксиальная цепь
идеальной конструкции принципиально не имеет внешних поперечных электрического
и магнитного полей, направленных радиально и тангенциально. Взаимные влияния
между коаксиальными цепями обусловлены наличием продольной составляющей
электрического поля Ez на внешней поверхности влияющей коаксиальной пары.
Причем влияние между коаксиальными парами происходит через третью,
промежуточную цепь, образованную их внешними проводниками.
В качестве первичного
параметра влияния рассматривается сопротивление связи Z12,
называемое также взаимным сопротивлением и представляющее собой отношение
продольной составляющей электрического поля Ez на внешней поверхности внешнего
проводника к току I, протекающему в коаксиальной цепи.
Вторичными параметрами
влияния являются величины переходного затухания на ближнем конце А0,
переходного затухания на дальнем конце Аl и защищенности на дальнем конце А3. Эти
величины позволяют оценить по абсолютной величине соотношения между мощностями,
напряжениями и токами во влияющей и подверженной влиянию цепях, что удобно
измерять и нормировать на практике.
Расчет параметров взаимного
влияния производится на следующих частотах:
| № |
f, Гц |
| f1 |
0.812*10^6 |
| f2 |
5*10^6 |
| f3 |
8*10^6 |
| f4 |
11*10^6 |
| f5 |
17.6*10^6 |
f2-f4 - заданные частоты для расчета
параметров влияния;
f1, f5
-граничные частоты линейного спектра системы передачи К-3600.
а) Расчет первичных
параметров влияния
Сопротивление связи определяется по формуле [6].
И приведём пример
численного расчета для частоты fl = 5*10^6 Гц:

rb= 4,7 мм - внутренний радиус внешнего
провода;
rc= 5 мм - внешний радиус внешнего
проводника;
N - параметр, значения
для различных частот.
Результаты расчетов
сопротивления связи на всех исследуемых частотах приведены в таблице:
| f,Гц |
Z12,Ом/км |
| 0,812*10^6 |
0.624 |
| 5*10^6 |
0.624 |
| 8*10^6 |
0.624 |
| 11*10^6 |
0.624 |
| 17.6*10^6 |
0.624 |
Приведенное выше
выражение для сопротивления связи пригодно лишь для расчета замкнутых
однослойных внешних проводников коаксиальной цепи.
Реальная коаксиальная
цепь имеет чаще всего внешний провод в виде медной трубки и стального экрана из
лент, наложенных спирально, поэтому сопротивление связи с учетом экранных
лент рассчитывается по следующей формуле[2].
И приведём пример
численного расчета для частоты fl =5*10^6 Гц:

Lz -
продольная индуктивность, обусловленная спиральными стальными лентами[2]

μ=150 –
относительная магнитная проницаемость стального экрана [6]
hэ=10мм – шаг наложения экранных лент [2]
rc=5 мм - внешний радиус внешнего
проводника
tе=0,3 мм – толщина стального экрана
Li – внутренняя индуктивность стальных
лент

Результаты расчетов
сопротивления связи с учётом экранных лент на всех исследуемых частотах
приведены в таблице:
| f,Гц |
Zэ12,Ом/км |
| 0,812*10^6 |
0,386 |
| 5*10^6 |
0,386 |
| 8*10^6 |
0,386 |
| 11*10^6 |
0,386 |
| 17.6*10^6 |
0,386 |
б)Расчет вторичных
параметров влияния
Для расчета вторичных
параметров влияния в коаксиальных цепях необходимо определить значения полного
сопротивления третей промежуточной цепи Z3, состоящих из собственных сопротивлений двух внешних
проводников рассматриваемых коаксиальных цепей (Zвн) и индуктивного сопротивления промежуточной цепи. Величина
полного сопротивления Z3 зависит от конструкции и состояния
внешнего проводника коаксиальных пар. В реальных коаксиальных парах поверх
внешнего проводника накладывается экран состоящий из металлических лент, и
изоляционный покров (из бумажных или полиэтиленовых лент). В этом случае
собственным сопротивлением внешних проводников Zвн пренебрегаем. Тогда Z3 вычисляется по формуле[2].
И приведём пример
численного расчета для частоты fl =5*10^6 Гц:

ω- круговая частота,
ω=2∙π∙f;
Ls -
индуктивность цепи, составленной из двух внешних проводников,
покрытых экранными лентами
L3Э и изолирующими покровами L3Д ,
Гн/км;
Мэ = 150 -
относительная магнитная проницаемость экранных лент;
гс = 5 мм -
внешний радиус внешнего проводника;
tэ = 0,3 мм -
толщина стального экрана;
а=5,6 - половина
расстояния между центрами коаксиальных пар.
Результаты расчетов
полного сопротивления третьей промежуточной цепи на всех исследуемых частотах
приведены в таблице:
| f,Гц |
Zз,Ом/км |
| 0,812*10^6 |
1.828i*10^4 |
| 5*10^6 |
1.125i*10^5 |
| 8*10^6 |
1.801i*10^5 |
| 11*10^6 |
2.476i*10^5 |
| 17.6*10^6 |
3.961i*10^5 |
На строительной длине
коаксиального кабеля переходное затухание на ближнем конце А0СД
и защищенность на дальнем конце А3СД приблизительно равны
и могут быть рассчитаны по следующим соотношениям[2].
И приведём пример
численного расчета для частоты fl =5*10^6 Гц:

Zв - волновое сопротивление коаксиальной цепи, Ом;
Z3 - полное
сопротивление третьей промежуточной цепи, Ом/км;
Z212 -
сопротивление связи с учетом экранных лент, Ом/км;
S = 0,5 км - строительная
длина кабеля.
Результаты расчетов
переходного затухания на ближнем конце и защищенности на дальнем конце на
строительной длине на всех исследуемых частотах приведены в таблице:
| f,Гц |
А0(з)СД,дБ |
| 0.812*10^6 |
142.974 |
| 5*10^6 |
158.686 |
| 8*10^6 |
162.763 |
| 11*10^6 |
165.522 |
| 17.6*10^6 |
169.596 |
Для усилительного участка
переходное затухание на ближнем и дальнем концах и защищенность на дальнем
конце определяются по следующим формулам [2].
И приведём пример
численного расчета для частоты fl =5*10^6 Гц

Zв - волновое сопротивление
коаксиальной цепи, Ом;
Zs - полное сопротивление
третьей промежуточной цепи, Ом/км;
Z212 -
сопротивление связи с учетом экранных лент, Ом/км;
- коэффициент распространения, 1/км;
l = 3 км - длина усилительного участка
кабеля [8].
Результаты расчетов
переходного затухания на ближнем и дальнем концах и защищенности на дальнем
конце на усилительном участке на всех исследуемых частотах приведены в
таблицах:

Построим на одном графике
зависимости переходного затухания на ближнем(A0yy), дальнем
концах(Alyy) и защищенности на дальнем конце(Aзyy) на усилительном участке от частоты:
в) Сравнение вторичных
параметров с существующими нормами
По существующим нормам
защищенность на длине усилительного участка в используемом спектре частот
должна быть не менее 110 дБ [2]. На графике выше указан требуемый уровень и
видно, что защищенность на дальнем конце на усилительном участке удовлетворяет
нормам.
Величина переходного
затухания на дальнем конце превышает защищенность на величину собственного
затухания линии α∙l:
| f,Гц |
Азуу,дБ |
α∙l,дБ |
Аlуу,дБ |
| 0,812*10^6 |
127,411 |
6.48 |
133.891 |
| 5*10^6 |
143.129 |
14.52 |
157.649 |
| 8*10^6 |
147.2 |
20.61 |
167.81 |
| 11*10^6 |
149.958 |
25.293 |
175.251 |
| 17,6*10^6 |
154,033 |
30.69 |
184,723 |
Следовательно, параметры
взаимного влияния полностью удовлетворяют нормам.

9. Размещение
усилительных пунктов по трассе
Обслуживаемые
усилительные пункты (ОУП), оконечные пункты (ОП), переприемные пункты, как
правило, располагаются в населенных пунктах. Необслуживаемые усилительные
пункты (НУП) устанавливаются на возвышенностях, незатопляемых местах с
возможностью организации к ним подъезда, c минимальным ущербом для плодородных
земель и т.п. В данном курсовом проекте задача размещения необслуживаемых
усилительных пунктов решается ориентировочно, так как НУП практически могут
быть размещены в любом месте в соответствии с ситуацией местности. Определим
расстояние между ними по следующему выражению [2]:

aном = 31,37 дБ - номинальное значение
затухания усилительного участка, для системы передачи К-3600 [8];
0.9 дБ - затухание
оконечных станционных трансформаторов [2],
at мак -
километрическое затухание кабеля на наивысшей передаваемой частоте при максимальной
температуре грунта на глубине прокладки кабеля, дБ/км.
at мак вычисляется
по формуле:

а20мак = 10,23
дБ/км - коэффициент затухания при t = 20°С на наивысшей частоте для применяемой
системы передачи;
t = +8°С - температура
грунта на глубине прокладки кабеля [2];
αα=
1,96*10^-3-температурный коэффициент затухания [8].
Расстояние между двумя
смежными ОУП называется секцией дистанционного питания Максимальная длина
секции ДП определяется количеством питаемых НУП [2]:

nнуп - число НУП в секции ДП.
(Максимальное число НУП в секции ДП равно 60.)
Протяженность трассы -
200 км. Поэтому необходимо между двумя ОП поставить
один ОУП. Расположим его
в г. Кимовск.
Длина отрезка трассы Тула
- Кимовск - 77 км;
отрезка трассы Кимовск -
Рязань - 123 км.
На отрезке Тула - Кимовск
будет расположен

на отрезке Кимовск –
Рязань

10. Расчет опасного
магнитного влияния ЛЭП на цепи кабелей связи
Влияние ЛЭП на линии
связи обусловлено воздействием электромагнитного поля, при этом на кабели связи
с металлическими оболочками и на кабели, проложенные в земле с любыми
оболочками, воздействует только магнитное поле. На линиях электропередачи
различают нормальный и аварийный режим работы. Наибольшие влияния возникают при
аварийном режиме работы, например, при обрыве и заземлении провода одной из фаз
трехфазной линии или при коротком замыкании на землю фазы ЛЭП с заземленной
нейтралью. При коротком замыкании на землю фазы ЛЭП с заземленной нейтралью
возникает ток короткого замыкания, который оказывает на линии связи опасное
магнитное влияние.
Заданием
предусматривается проведение расчета опасного магнитного влияния ЛЭП с
заземленной нейтралью при коротком замыкании одной из фаз ее на землю в точке,
соответствующей концу усилительного участка, на цепи кабелей связи.
Сближение кабеля с ЛЭП
имеет место на всем протяжении усилительного участка. Заданием
предусматривается три участка косого сближения:

Исходные данные для
расчета:
а1 = 100м;
а2 = 200 м;
аЗ = 100 м;
а4 = 300 м;
l1= 15 км;
l2= 5 км;
l3= 15 км;
Iкз = 6000 А
- ток короткого замыкания
в ЛЭП при замыкании одного из проводов на землю;
σ = 70*10^-3 См/км
- эквивалентная удельная
проводимость земли;
Трос изготовлен из
алюминия;
Трос сечения 50-100 мм2.
Определение опасного
магнитного влияния ЛЭП на цепи кабелей связи сводится к расчету продольной ЭДС,
индуктируемой в жилах кабеля на длине участка сближения. Величина ЭДС
определяется по формуле [3]:

ω - круговая частота, ω = 2*π*f
Iкз = 6000А, ток короткого замыкания в
ЛЭП при замыкании одного из проводов на землю;
m1 = 250*10^-6, Гн/км - коэффициент взаимоиндуктивности
между проводами;
m2 = 250*10^-6,
m3 = 200*10^-6,
li - длина i-ro участка сближения, км;
Sтр = 0,65, коэффициент экранирования
заземленного троса на ЛЭП,
Воспользовавшись методом,
предложенным в [3], найдем значения коэффициента экранирования оболочки на
участке сближения для кабеля КМАБп-4:
Sоб1 = 0.055, Sоб2 = 0.055, Sоб3
= 0.042
Рассчитаем:


Допустимая норма
продольной ЭДС на жилах кабеля при коротком замыкании фазы ЛЭП на землю
определяется по формуле [3]:

Uисп - 3000 В - испытательное напряжение
коаксиального кабеля [3],
Uдп = 2000 В - напряжение дистанционного
питания для аппаратуры К-3600 [8].
Едоп = 2000 В.
Очевидно, что величина продольной ЭДС, индуктируемой в жилах на длине участка
сближения, превышает допустимое значение, следовательно, необходимо защищать
кабель от опасного магнитного влияния на участке сближения с ЛЭП.
11. Мероприятия по защите
от коррозии, влияний ЛЭП и ЭЖД, а также от ударов молнии
Коррозия - процесс
разрушения металлических оболочек кабелей (свинцовых, стальных, алюминиевых), а
также защитных и экранирующих покровов (стальной брони, медных и алюминиевых
экранов) вследствие химического, механического и электрического воздействий
окружающей среды. Различают следующие виды коррозии: почвенную
(электрохимическую), межкристаллитную (механическую) и электрокоррозию
(коррозию блуждающими токами).
Коррозия оболочек
приводит к потере герметичности кабелей связи, ухудшению их электрических
свойств и в ряде случаев выводит кабель из строя. Разрушающее действие коррозии
характеризуется следующими данными: 1А блуждающего в земле тока приводит к
потере в течение года 12 кг стали, 36 кг свинца, 100 кг алюминия.
В зависимости от
характера взаимодействия оболочки кабеля и почвы, в которой он находится, а
также от прохождения блуждающего тока вдоль кабеля образуются анодные, катодные
или знакопеременные зоны. Анодной зоной называется участок кабеля, на котором
он имеет положительный электрически потенциал по отношению к окружающей среде.
В этой зоне токи стекают с оболочки, унося частицы металла и разрушая ее.
Катодной зоной называется участок, на котором он имеет отрицательный
электрический потенциал по отношению к окружающей среде. В этой зоне ток
втекает в оболочку, не создавая опасности ее разрушения. Знакопеременной зоной
называется участок, на котором имеет место чередование положительных и
отрицательных потенциалов по отношению к земле.
Скорость коррозии зависит
от тока, протекающего между анодом и катодом, и природы процессов.
Защитные меры от коррозии
оболочек кабелей связи производятся как на установках электрифицированного
транспорта, так и на сооружениях связи. На электрифицированном транспорте
осуществляют следующие меры защиты:
·
уменьшают
сопротивление рельсов путем качественной сварки стыков;
·
улучшают изоляцию
рельсов от земли (полотно из гравия, щебня, песка);
·
переполюсовывают
источники питания так, чтобы заземлялся минусовой электрод.
На сооружениях связи
такими мерами защиты являются:
1.
выбор трассы с менее
агрессивным грунтом (песок, глина, суглинок, нежирный чернозем);
2.
применение кабелей с
герметичными полиэтиленовыми шлангами поверх металлических оболочек
(обязательно для алюминия и стали);
3.
электрический дренаж (от
электрической коррозии); катодные установки (от электрической и почвенной
коррозии);
4.
изолирующие муфты (от
электрической коррозии); протекторные установки (от почвенной коррозии);
5.
антивибраторы
амортизирующие, рессорные подвески (от межкристаллитной коррозии).
Электрический дренаж,
катодные и протекторные установки относятся к активным электрическим методам
защиты, остальные - к пассивным, осмотрим подробно дренаж и катодные станции.
Электрический дренаж -
это отвод блуждающих токов с защищаемого кабеля посредством проводника. Дренаж
подключается к кабелю в середине анодное ' т. е там, где кабель имеет
наибольший положительный потенциал по отношению к земле. Блуждающие токи по
дренажному кабелю отводятся из оболочки защищаемого кабеля к рельсам или минусовой
шине, питающей подстанции. В результате анодная зона на кабеле превращается в
катодную. При необходимости устанавливают несколько дренажей с тем, чтобы на
всем сближении кабелей связи с ЭЖД оболочка имела отрицательный потенциал.
Такие дренажи называются прямыми электрическими дренажами. Прямой электрический
дренаж имеет наибольший положительный потенциал по отношению к только в
устойчивых анодных зонах, например при защите междугородного кабеля от
блуждающих токов дистанционного питания. В зонах, где наблюдается изменение
знака потенциала оболочки относительно земли, применяют дренажи односторонней
проводимости, так называемые поляризованные дренажи В дренажную цепь включается
вентиль, диод или поляризованное реле, обладающее односторонней проводимостью.
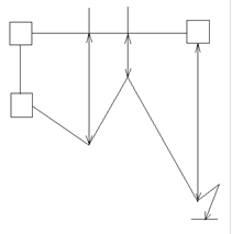
В результате ток течет только от оболочки кабеля к питающей подстанции ЭЖД. Для
кабелей связи применяются поляризованные дренажи (рисунок ниже, где: 1-
контактный провод, 2 – рельс, 3-кабель, 4 – дренаж).

Принцип действия катодной
зашиты состоит в том, что к оболочке кабеля, имеющей положительный потенциал по
отношению к земле (анодная зона), присоединяют отрицательный полюс от
постороннего источника тока, тем самым придавая оболочке отрицательный
потенциал. Таким образом, напряжение источника тока переводит анодную зону на
оболочке кабеля в катодную. Положительный полюс источника тока заземляют. Для
катодной защиты применяются катодные станции, представляющие собой
выпрямительное устройство с селеновыми выпрямителями или германиевыми диодами.
Для предохранения
сооружении связи от внешних электромагнитных влияний проводится комплекс
защитных мер как на влияющих линиях (ЛЭП, ЭЖД, радиостанциях), так и на линиях
связи, подверженных влиянию. Перечень основных мероприятий приведен ниже:

Катодная установка
| Источник внешнего влияния |
Характер влияния |
Мероприятия, проводимые в линиях |
| влияющих |
связи |
| ЛЭП |
Опасные и мешающие поля Е и Н |
1. Автоматика |
1. Относ трассы |
| 2. Сглаживающие фильтры |
2. Каблирование |
| 3. Скрещивание и симметрирование |
| 3. Экранирующие тросы |
4. Экранирование |
| 5. Разрядники и предохранители |
|
|
6.Заземление |
| 7. Нейтрализующие и редукционные
трансформаторы |
| ЭЖД |
Опасные и мешающие поля Н |
1. Сглаживающие фильтры |
1. Относ трассы |
| 2. Каблирование |
| 2. Отсасывающие трансформаторы. |
3. Скрещивание и симметрирование |
| 4. Экранирование |
| 3. Увеличение проводимости изоляции
рельсов |
5. Разрядники и предохранители |
| 6.Заземление |
| Грозы |
Опасное поле Е |
- |
1, Тросы |
| 2. Каблирование |
| 3. Каскады защиты |
| 4. Разрядники и предохранители |
| 5. Заземление |
| Радиостанции |
Мешающие поля Е и Н |
1. Выбор несущей частоты |
1. Относ трассы |
| 2. Каблирование |
| 2. Относ радиостанции |
3. Скрещивание и симметрирование |
| 4. Фильтры и запирающие катушки |
Рассмотрим основные
мероприятия, которые необходимо провести на проектируемой линии связи.
Для защиты обслуживающего
станционного персонала и аппаратуры связи применяются защитные устройства,
состоящие из разрядников и предохранителей. Эти устройства следует
устанавливать на входе в станцию. Схемы защиты для кабельной линии связи
представлены на рисунке (схема защиты кабельной линии (а) и ГТС(в) Р-350 –
разрядник, СН-1 и ТК – 0,25 - предохранители):

На междугородней
кабельной линии достаточно установить лишь один разрядник Р-35, РВ-500 или Р-4.
Конструкция этих разрядников показана на рисунке (разрядники: а –
двухэлектродный Р-350, б – трехэлектродный Р-35, в – двухэлектродный бариевый
РБ-280, г – малогабаритный Р-4):

При прокладке кабеля
необходимо также учитывать влияние гроз. Необходимость грозозащиты подземного
кабеля определяют расчетом по ожидаемому числу повреждений от ударов молнии на
100 км трассы. Ожидаемое число может быть определено в зависимости от числа
грозовых дней в году для каждой местности. При недостаточной грозостойкости
кабеля его дополнительно защищают с помощью медных, биметаллических или
стальных тросов. Тросы прокладывают выше кабеля на глубине, равной половине
глубины его залегания, но не менее 0,4 м. Расстояние между тросами 0,4—1,2 м.
Тросы по всей длине через определенные интервалы должны иметь заземления.
Для защиты кабеля от
влияния высоковольтных линий (ЛЭП и ЭЖД) можно использовать редукционные
трансформаторы, способ подключения которых показан на рисунке:

Кроме редукционных
трансформаторов целесообразно применять отсасывающие трансформаторы. Первичная
обмотка трансформаторной подстанции (ТП) включается последовательно в
контактный провод, вторичная обмотка — либо е отдельный, обратный провод,
подвешиваемый на опорах контактной сети, либо последовательно в рельсы (рисунок
ниже, где (а) – трансформатор с обратным проводом, (б) – без него, 1- обратный
провод, 2- контактный контактный, 3 - рельс):
Проектируемую магистраль
следует обеспечить системой заземления. Заземление — это устройство, состоящее
из заземлителей и проводников, соединяющих заземлители с электрическими
установками.

Заземлителем называют
проводник или группы проводников, выполненных из проводящего материала и
находящихся в непосредственном контакте с грунтом. Заземлители могут иметь
разные формы: трубчатую, стержневую, листовую и т.п. По конструкции заземлители
делятся на вертикальные, горизонтальные, кольцевые, пластинчатые и глубинные.
Для защиты кабеля следует применять линейно-защитное заземление.
12. Сметно-финансовый
расчет
Для
оценки экономической эффективности проектирования варианта строительства
кабельной линии связи использован один из важнейших технико-экономических
показателей – капитальные вложения. Величина капитальных вложении складывается
из затрат на линейные, станционные и гражданские сооружения.
Длину кабеля следует
брать больше длинны трассы на 2%. Также следует учесть что для симметричного
кабеля система связи двух кабельная [2]. Исходя из этого
Находим длину кабеля:

Оптовая цена одного км
кабеля КМАБп-4 составляет [8] с = 300000 руб/км
Тогда стоимость кабеля
составит:
Соб = 204*300000 =
61200000 (руб), Соб = 61.2 млн. руб.
Путем
пропорциональных вычислений определяем стоимость всех технико-экономических
показателей:
| Показатель |
% |
Стоимость, млн. руб. |
| Техническое задание |
9,6 |
126,144 |
| Жилищное строительство |
5,8 |
82,254 |
| Станционные сооружения |
18,9 |
228,03 |
|
Линейные сооружения, в т.ч.
1) изыскание трассы
2) прокладка кабеля
3)стоимость кабеля
3) монтаж и измерения
4) защита
|
43,2 |
612,65 |
| 1,7 |
20,109 |
| 10,3 |
136,072 |
| 24,6 |
61,2 |
| 4,09 |
38,004 |
| 2,5 |
35,455 |
| Необслуживаемые УП |
22,5 |
319,089 |
ИТОГО 1659,007 млн. руб.
Определим величину удельных
затрат, приходящихся на один канало-км [2]:

Заключение
В курсовом проекте был
решен комплекс вопросов проектирования кабельной магистрали между городами Тула
и Рязань.
Были проведены
обоснования наличия кабельной линии связи между данными городами,
охарактеризованы оконечные пункты с точки зрения их промышленного,
сельскохозяйственного и экономического значения. Была выбрана трасса,
обеспечивающая минимальные затраты на строительство и эксплуатацию линейных
сооружений.
В проекте была дана
краткая характеристика используемого кабеля (КМАБп-4) и системы передач
(К-3600), а также произведен конструктивный расчёт кабеля и построен рисунок
поперечного разреза кабеля с соблюдением масштаба. Произведен расчет первичных
и вторичных параметров передачи кабеля, построены частотные зависимости
параметров. Осуществлено сравнение рассчитанных параметров с существующими
нормами, в результате которого сделан вывод о правильности произведенных расчетов.
В курсовом проекте также
были определены параметры взаимного влияния между цепями коаксиального кабеля в
пределах частотного диапазона системы передач К-3600. Анализ полученных данных
и сравнение их с нормами показывают, что произведенный расчет верен.
Затем было осуществлено
размещение усилительных пунктов по трассе. Так как протяженность трассы немного
превышает длину участка ОУП-ОУП, то в промежутке между оконечными пунктами
ставится один ОУП. Также было найдено необходимое количество НУП.
Далее в курсовом проекте
сделан расчет опасного магнитного влияния на цепи кабельной линии связи ЛЭП на
примере трех участков косого сближения линии связи с ЛЭП. Так как влияние
превышало нормы, то был сделан вывод о необходимости защиты кабеля.
Мероприятия по защите
кабельной линии от коррозии, влияния ЛЭП и ЭЖД, а также от ударов молнии также
были описаны в проекте. Для оценки экономической эффективности строительства
проектируемой кабельной линии связи использован сметно-финансовый расчет, в
котором определена общая сумма капитальных вложений, размеры капитальных
вложений по конкретным технико-экономическим показателям, а также величин
удельных затрат, приходящихся на один канало-км связи.
Список использованной литературы
1. Пособие по курсовому
проектированию кабельных линий связи (для специальности 0708)/ И.В.Куликова,
В.М.Пименов.1976.
2. Методические указания для
курсового проектирования по курсу линии связи. (для специальности 0708). Часть
1 / И. В. Куликова, В.М. Пименов. 1987.
3. Методические указания для
факультета МЭС. Проектирование [пугооодных кабельных линий связи. Часть 2 /
И.В. Куликова, В А Колесников, В.М. Пименов.1987.
4. Атлас автодорог России
5. Линии связи. Учебник для высших
учебных заведении / И.И. Гроднев, С.М.Верник, Л.Н. Кочановский .1995.
6. Задачник по курсу линии связи.
Часть 2. Коаксиальные кабели связи / С.Н. Ксенофондов, Э.Л. Портов.1996.
7. Коаксиальные кабели связи / И.И.
Гроднев, П.А. Фролов. 1983.
8. Internet.
|